846.57K
Category:
physics
Similar presentations:
Уравнения теории упругости. Закон Гука для изотропного тела. Упругие постоянные. Объемная деформация. (Лекция 4)
Основное уравнение молекулярно-кинетической теории
Теплопроводность. Основные положения теории теплопроводности. (Тема 4. Лекции 14,15)
Основное уравнение молекулярно-кинетической теории газов
Основные законы идеального газа. Лекция 4
Лекция 4. Основные показатели кристаллизации
Оптика. Условие главных максимумов (лекция 4)
Основное уравнение молекулярно-кинетической теории газов
Техническая термодинамика. Циклы карно. Неравенство клаузиуса. Основное уравнение термодинамики. (Лекция 4)
Основное уравнение молекулярно - кинетической теории. Температура
Теория упругости. Основные уравнения. Лекция 4
1.
§4 Теория упругости. Основные
уравнения.
2.
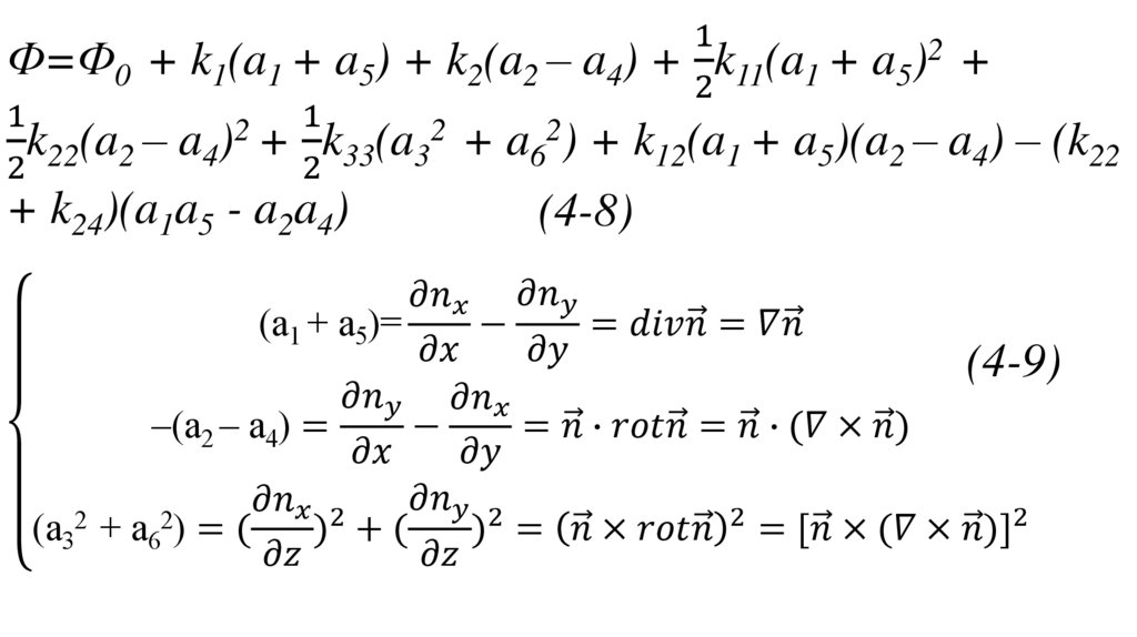
От вектора n перейдем к полю директоров n(Ԧr)
3.
Z
English
Русский
Rules