Дискретизация сигналов. Теорема отсчётов
Сигналы с ограниченной полосой
Теорема отсчётов
Теорема отсчётов
Теорема отсчетов Котельникова
Теорема отсчётов Котельникова
Базис Котельникова
Восстановление аналогового сигнала по отсчётам
Что мешает точному осуществлению условий теоремы отсчётов на практике?
Следствие нефинитности спектральной плотности сигнала
Подмена частот как проявление стробоскопического эффекта
Подмена частот как проявление стробоскопического эффекта
Различие дискретизации и интерполяции
1.97M
Category: mathematicsmathematics

Дискретизация сигналов. Теорема отсчётов

1. Дискретизация сигналов. Теорема отсчётов

Кафедра «КРЭМС»
Дискретизация
сигналов.
Теорема отсчётов
Зырянов
Юрий Трифонович
доктор технических наук
профессор

2. Сигналы с ограниченной полосой

X ( f ) 0 при f
x L2 ( , )
x(t ) 0 при t
Если спектральная плотность финитна
Fв , Fв
x(t)
t
2

3. Теорема отсчётов

Х. Найквист - 1928
Э. Уиттекер - 1915
В.А. Котельников - 1933
К. Шеннон - 1948
3

4.

Котельников В.А.
”О пропускной способности
«эфира» и проволоки в
электросвязи”.
В сб. Всесоюзный
энергетический комитет.
Материалы к I Всесоюзному
съезду по вопросам
технической реконструкции
дела связи и развития
слаботочной
промышленности. По
радиосекции. – М.:
Управление связи РККА, 1933.
- С. 1-19.
1908 — 2005
4

5. Теорема отсчётов

X(f )
Э. Уиттекер - 1915
Х. Найквист - 1928
В.А. Котельников - 1933
К. Шеннон - 1948


f
Представим комплексным рядом Фурье
X ( f ) Ck e
k
j
2
kf
2 Fв
,

1
Ck
X ( f )e
2 Fв F
в
j
2
kf
2 Fв
df , k ,
5

6. Теорема отсчетов Котельникова

Выразим сигнал

x(t ) X ( f )e
j 2 ft
df

1
sin 2 Fв t k
2 Fв
Ck 2 Fв
1
k
2 Fв t k
2 Fв
6

7.

Коэффициенты ряда Фурье
2

j
kf
1
2 Fв
Ck
X ( f )e
df
2 Fв F
в
1
x k
2 Fв
2 Fв
7

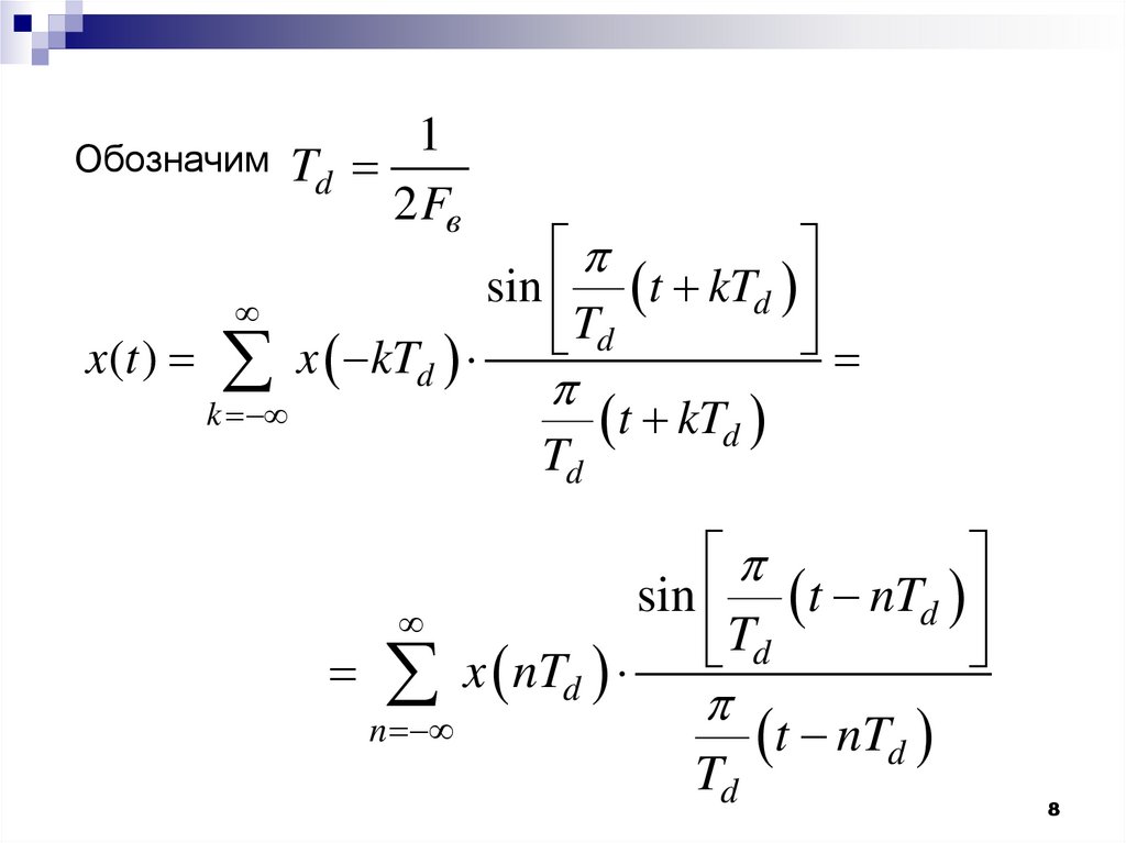
8.

1
d
2 Fв
Обозначим T
sin t kTd
Td
x(t ) x kTd
k
t kTd
Td
sin
t
nT
d
Td
x nTd
n
t nTd
Td
8

9. Теорема отсчётов Котельникова

sin
t
nT
d
Td
x(t ) x nTd
n
t nTd
Td
Итак
базисные функции
1
Td
2 Fв
n (t ), n ,
0 (t ) sin t
Td
t
Td
n (t ) 0 (t nTd )
9

10.

sin
t
nT
d
Td
x(t ) x nTd
n
t nTd
Td
10

11. Базис Котельникова

Сравним
X ( f ) Ck e
2
j
kf
2 Fв
k
1
sin 2 Fв t k
2 Fв
x(t ) Ck 2 Fв
1
k
2 Fв t k
2 Fв
11

12.

согласно обобщённой формуле Рэлея
1
1
sin 2 Fв t k
sin 2 Fв t m
2 Fв
2 Fв
,
1
1
2 Fв t m
2 Fв t k
2 Fв
2 Fв
1 j 2 kf 1 j 2 mf
2 Fв
2 Fв
e
,
e
2 Fв
2 Fв
12

13.

1 j 2 kf 1 j 2 mf
2 Fв
2 Fв
e
,
e
2 Fв
2 Fв

1
e
2
4 Fв F
2
j
( k m ) f
2 Fв
в

1
( k , m )
e
2
4 Fв F
в
1
df
km
2 Fв
2
j
( k m ) f
2 Fв
1
df
km
2 Fв
Базис ортогональный ненормированный
13

14. Восстановление аналогового сигнала по отсчётам

0 (t ) sin t t
Td Td
(t )
ЛИС-цепь
(t nTd )
x(nTd ) (t nTd )
sin t nTd
Td
n (t )
t nTd
Td
sin t nTd
Td
x(nTd )
t nTd
Td
14

15.

Осталось просуммировать по n
v(t ) x(nTd ) (t nTd )
n
ЛИС-цепь
sin
t
nT
d
Td
x(t ) x nTd
n
t nTd
Td
15

16.

Спектральная трактовка
Воздействие (иАИМ-сигнал)
v(t ) x(nTd ) (t nTd )
n
x(t ) (t nTd ) x (t ) (t )
n
где (t )
(t nTd )
n
0
ЛИС-цепь
16

17.

Согласно теореме умножения
V ( f ) X ( f ) ( f )
v(t ) x(t ) (t )
(t ) Sn e
n
2
j nt
Td
Td /2
ряд Фурье с коэффициентами
1
Sn
(t )e
Td T /2
2
j nt
Td
d
1
dt
Td
Поэтому спектральная плотность
1
n
( f )
f
Td n
Td
17

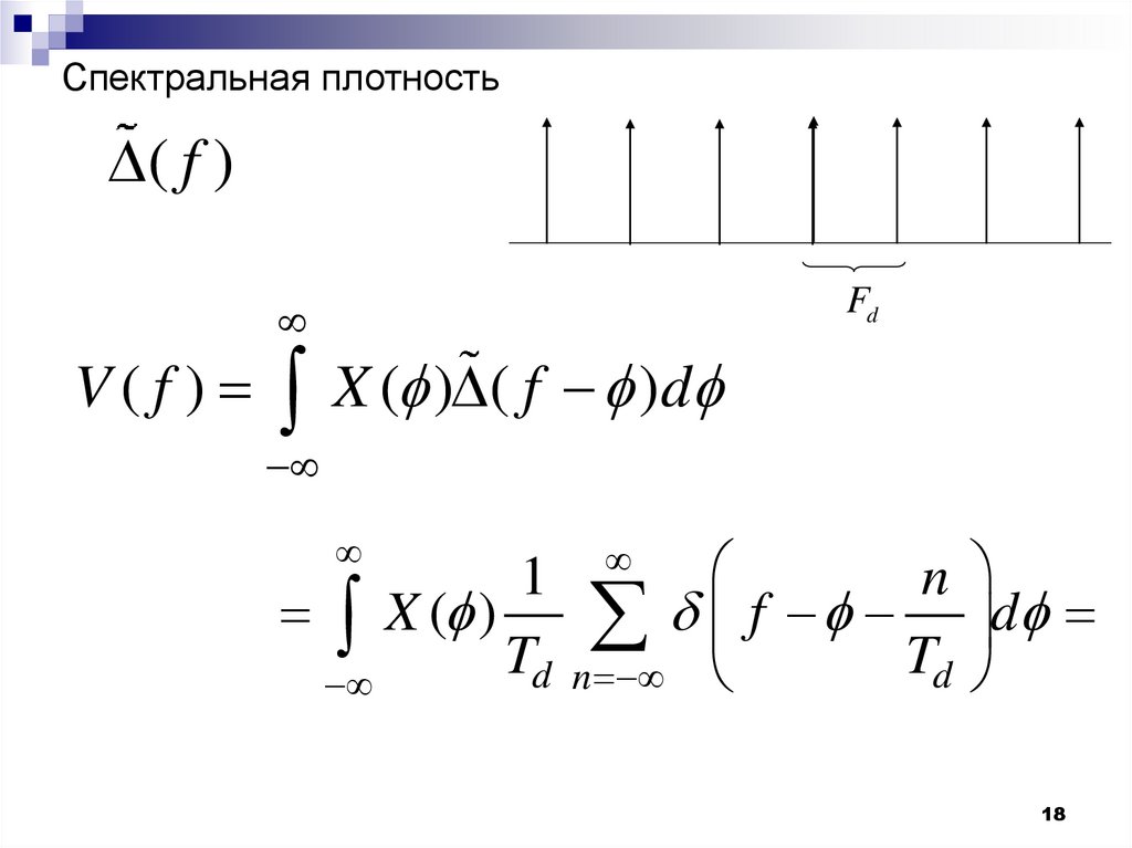
18.

Спектральная плотность
( f )
Fd
V ( f ) X ( ) ( f )d
1
n
X ( )
f d
T
T
d
d
n
18

19.

1
n
X ( ) f d
Td n
Td
1
n
X(f )
Td n
Td
1
X ( f nFd )
Td n
0
Fd
19

20.

V ( f ), H ( f )
Td
f
2 Fd
Fd


Fd
2 Fd
интерполирующий фильтр
Fв f Fв ,
Td ,
K( f )
0 в противном случае.
h(t ) sin t
Td
t
Td
20

21. Что мешает точному осуществлению условий теоремы отсчётов на практике?

1. Все сигналы имеют конечную длину
нефинитную спектральную плотность
2. Интерполирующий фильтр с прямоугольной
КЧХ физически неосуществим (некаузален)
3. Периодическая последовательность дельтафункций неосуществима
0 (t )
0
hˆ(t )
t
21

22. Следствие нефинитности спектральной плотности сигнала


0


Эффект наложения называется подменой частот
(aliasing [ eiliəsi ])
Способы борьбы:
- увеличение частоты дискретизации
- противоподменная фильтрация нижних частот до
дискретизации, тогда искажения, возникающие при
интерполяции, уменьшаются вдвое (при
идеальных фильтрах)
22

23. Подмена частот как проявление стробоскопического эффекта

23

24. Подмена частот как проявление стробоскопического эффекта

24

25. Различие дискретизации и интерполяции

v(t ) x(t ) (t )
описывает процесс интерполяции
(восстановления аналогового
сигнала по его отсчетам)
Взятие (одиночного) отсчёта аналогового сигнала
(стробирование) описывается выражением типа
свёртки
x(t0 ) x(t ) (t t0 )dt x(t ) (t0 t )dt
x(t0 ) x(t )d (t0 t )dt
импульс должен быть значительно
короче АКФ сигнала (форма тогда
не имеет значения)
25
English     Русский Rules