7.43M
Similar presentations:
Сравнение функций
Сравнение. Результат сравнения
Сравнения
Сравнение. Результат сравнения. Урок 1
Сравнение
Сравнения
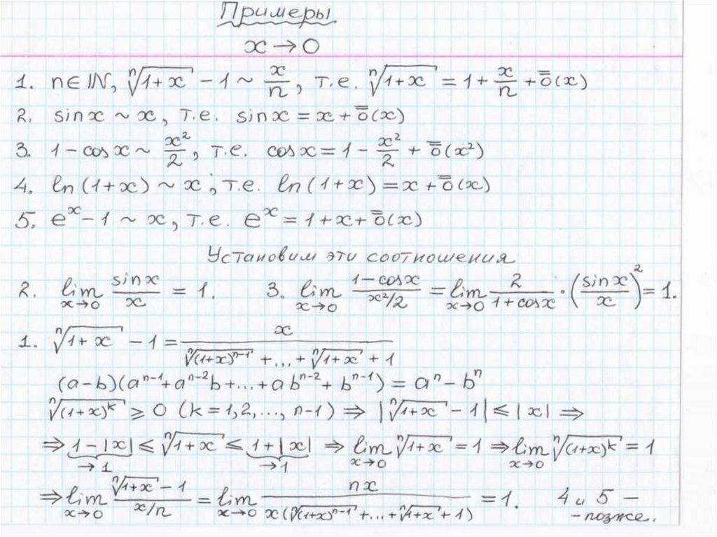
Сравнение бесконечно малых функций. Непрерывность функции
Степени сравнения. Степени сравнения прилагательного
Множественные сравнения
Сравнение сказок
Сравнение функций
1.
English
Русский
Rules