4.39M
Category: chemistrychemistry

Карбоновые кислоты

1.

2.

Карбоновые к-ты –
производные УВ,
содержащие
карбоксильную группу

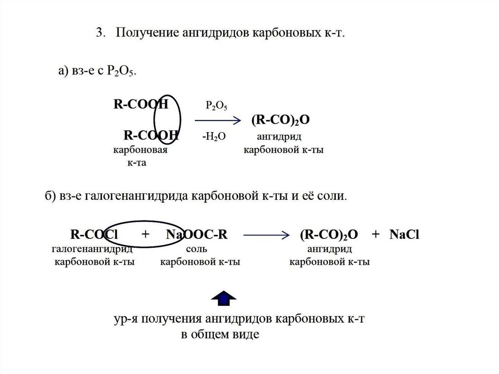
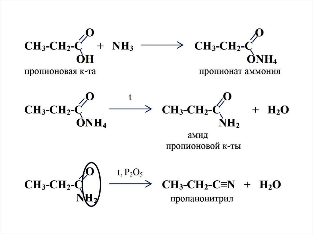
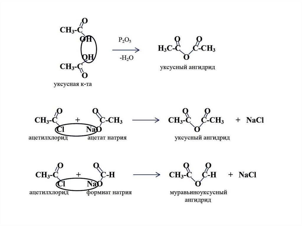
3.

4.

CnH2nO2
общая формула гомологического
ряда предельных одноосновных
карбоновых кислот

5.

6.

7.

8.

9.

10.

11.

12.

13.

14.

15.

16.

17.

18.

19.

20.

21.

22.

23.

24.

25.

26.

27.

28.

29.

30.

31.

32.

33.

Вопросы для самоконтроля:
Что такое карбоновые кислоты?
Классификация карбоновых кислот по углеводородному радикалу?
Какие карбоновые кислоты называют высшими?
Классификация карбоновых кислот по числу гидроксильных групп?
Номенклатура карбоновых кислот?
Изомерия карбоновых кислот?
Общая формула гомологического ряда предельных одноосновных
карбоновых кислот
8. Что такое мыла?
9. Кислотные свойства карбоновых кислот
10.Что такое реакция этерификации?
11.Какая из карбоновых кислот даст реакцию серебряного зеркала?
12.До чего окисляется муравьиная кислота перманганатом калия?
13.На что разлагается муравьиная кислота концентрированной серной
кислотой?
14.До каких соединений восстанавливаются карбоновые кислоты?
1.
2.
3.
4.
5.
6.
7.
English     Русский Rules