Ответ: -7
222.00K
Category: financefinance

Графики. Акции компании

1.

2.

x (1 0.01 p )
x (1 0,01 p ) 0,01 p x(1 0,01 p )
x(1 0.01 p )(1 0,01 p )
x(1 0,0001 p )
2
x(1 0,0001 p ) 0.96 x
2
p 400% p 20
2

3.

4. Ответ: -7

5.

6.

-3

7.

4

8.

9.

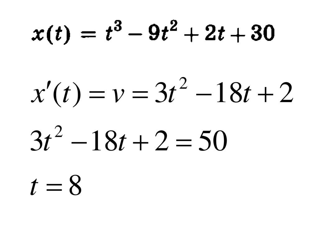
x (t ) v 3t 18t 2
2
3t 18t 2 50
2
t 8
English     Русский Rules