2.62M
Category: physicsphysics

Оптическая дифракционная решетка

1.

а

2.

Оптическая дифракционная решетка
Из И.В.Савельев, «Курс общей физики»
Nd = L

3.

4.

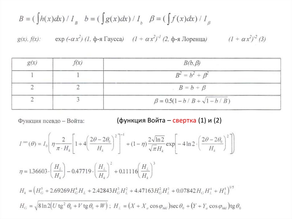
(функция Войта – свертка (1) и (2)

5.

6.

7.

Разделение вкладов малых ОКР и микронапряжений
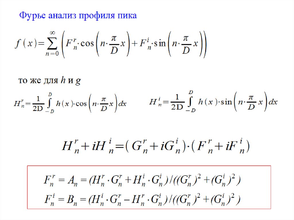
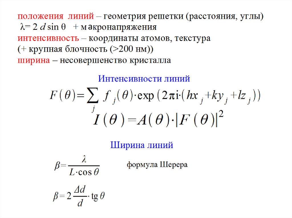
Для Фурье анализа профиля пика :

8.

Распределение ОКР по размерам, точность определения L
I I реш (2 , L) ( L) dL
0
относительная точность определения L ≈ 10%
English     Русский Rules