128.20K
Category:
mathematics
Similar presentations:
Действия над алгебраическими дробями
Совместные действия над алгебраическими дробями
Действия над алгебраическими дробями. 7 класс
Действия над алгебраическими дробями. 7 класс
Совместные действия с алгебраическими дробями
Значения алгебраической дроби. Совместные действия над алгебраическими дробями
Действия с дробями
Действия с дробями
Действия с дробями
Действия с дробями
Действия с алгебраическими дробями
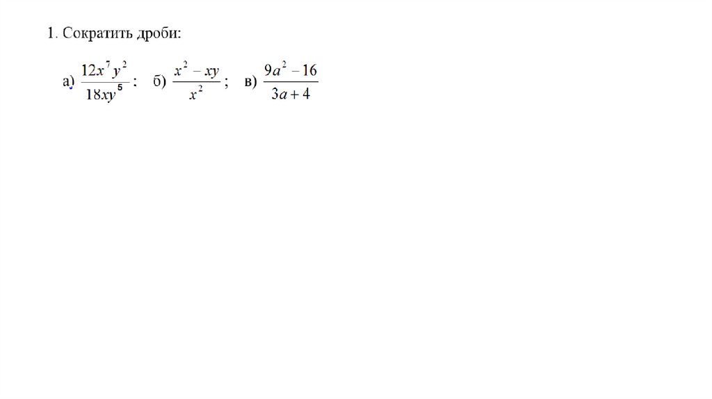
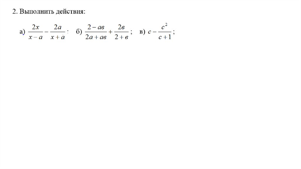
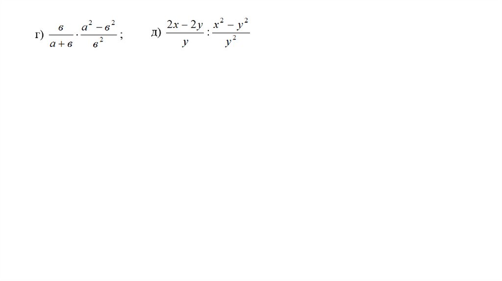
1.
Действия с
алгебраическими дробями
English
Русский
Rules