3.12M
Category: biologybiology

Обмен веществ и энергии в клетках

1.

2.

3.

4.

5.

КРУГОВОРОТ УГЛЕРОДА, КИСЛОРОДА И ВОДОРОДА

6.

7.

8.

Упрощенная схема цикла Кальвина – пути
фиксации углерода при фотосинтезе
Цикл Кальвина состоит из трех стадий:
- карбоксилирования,
- восстановления,
- превращения.

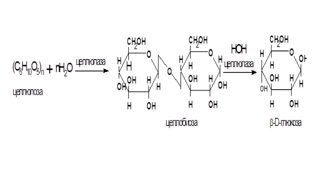
9.

10.

НИТРИФИЦИРУЮЩИЕ БАКТЕРИИ

11.

12.

Грамотрицательные:
Pseudomonas
Paracoccus
Грамположительные:
Bacillus
Mycobacterium
Rhizobium

13.

КАРБОКСИДОБАКТЕРИИ
Грамотрицательные прямые или слегка
изогнутые палочки, подвижные
(Pseudomonas, Acinetobacter, Carbophilus)
Использование СО происходит путем его
окисления до СО2 в соответствии с
уравнением:
2 СО + О2 → 2 СО2
Общее уравнение обмена может быть
представлено в виде следующего
уравнения:
24 СО + 11 О2 + Н2О → 23 СО2 + [СН2О]
Окисление СО карбоксидобактериями
осуществляется с участием СОдегидрогеназы.

14.

МЕТИЛОТРОФНЫЕ БАКТЕРИИ
А – Methylosinus
Б – Methylocystis
В – Methylobacter
Г, Д – Methylomonas
Е, Ж – Methylococcus

15.

16.

17.

18.

19.

Схематически действие a-амилазы на крахмал можно представить:
а)амилоза:
б) амилопектин

20.

ФЕРМЕНТАТИВНОЕ РАСЩЕПЛЕНИЕ ПЕКТИНА

21.

22.

β-ОКИСЛЕНИЕ ЖИРНЫХ КИСЛОТ

23.

24.

25.

КРУГОВОРОТ УГЛЕРОДА В ПРИРОДЕ
English     Русский Rules