2.47M
Category:
physics
Similar presentations:
Силы в природе. 10 класс
Звуковые волны. Скорость звука. (10 класс)
Законы Ньютона. 10 класс
Плазма (10 класс)
Ускорение. Движение с постоянным ускорением. Уравнение движения. (10 класс)
Кинематика. 10 класс
Сверхпроводимость. (Лекция 10)
Закон всемирного тяготения. 10 класс
Электродинамика. Электростатика. 10 класс
Третий закон Ньютона (10 класс)
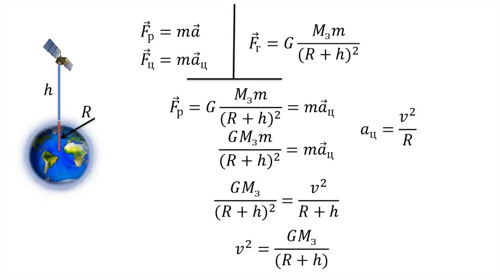
Космические скорости. 10 класс
1.
Космические
скорости
2.
3.
Силы
Гравитационные
силы
Сильное
взаимодействие
Электромагнитные
силы
Слабое
взаимодействие
4.
Силы в механике
Гравитационные силы
Силы упругости
Силы трения
5.
Второй закон Ньютона
English
Русский
Rules