Логические операции
Законы логики
Метод отображения
Простая система
Простая система
Простая система. (Тренировка)
Метод отображения
Метод отображения
Метод отображения
Метод отображения
Задания для тренировки:
Метод отображения и матрица смежности
Решение первого уравнения
Отображение
Формулы отображения
Вычисления
Вычисления
Задания для самостоятельного решения:
Метод отображения для систем с особыми случаями
Дополнительные условия
Дополнительные условия
Дополнительные условия
Дополнительные условия
Дополнительные условия
Задания для тренировки
Метод отображения для одного уравнения
Подстановка
Список литературы:
2.21M
Category: informaticsinformatics

Законы логики. Метод отображения (ЕГЭ)

1.

2. Логические операции

A
0
1
A
1
0
A
0
0
1
1
Приоритет
B
0
1
0
1
Не
A&B
0
0
0
1
И
A⋁B
0
1
1
1
A→B
1
1
0
1
Или
Либо
A⨁B
0
1
1
0
A↔B
1
0
0
1
Следует
Равносильно
Мирончик Е.А., МБ НОУ "Лицей
№111", Новокузнецк
Логические операции

3. Законы логики

Мирончик Е.А., МБ НОУ "Лицей
№111", Новокузнецк
Законы логики

4.

B
G
D
С
E
H
А
F
Куда-нибудь ты обязательно дойдешь,
конечно, если не остановишься на полпути.
Чеширский кот «Алиса в стране чудес»

5.

Графический способ
1
1
B
D
1
С
1
3
G
2
9
E
H
А
F
6

6.

Вопросы:
?
8
E
F
?
8
E
F
?
8
E
F

7.

Вопросы:
Можно ли нарисовать пять дорог так, чтобы от A
до D можно было добраться двумя способами?
1
А
C
B
D
2

8.

Вопросы:
А
E
C
B
?
D
3
F
15

9. Метод отображения

Системы логических уравнений
• Простая система
• Решение однородных систем (граф)
• Решение однородных систем (матрица
смежности)
• Решение неоднородных систем (особые условия)
Логические уравнения
• Решение логического уравнения
Задача о «чайнике»
Литература
Мирончик Е.А., МБ НОУ "Лицей №111", Новокузнецк
Метод отображения

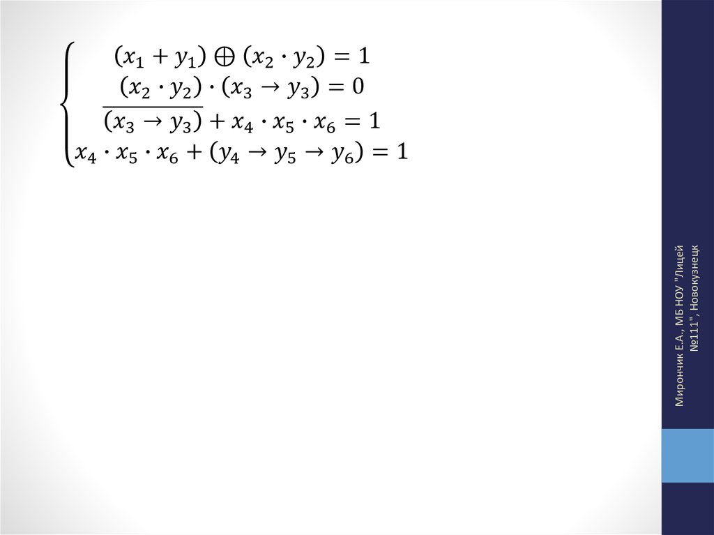
10. Простая система

English     Русский Rules