МЕМРИСТОР.
П А М Я Т Ь
L. O. Chua, “Memristor—the missing circuit element,” (1971).
D. B. Strukov, G. S. Snider, D. R. Stewart, and R. S.Williams, “The missing memristor found,” Nature 453, 80–83 (2008).
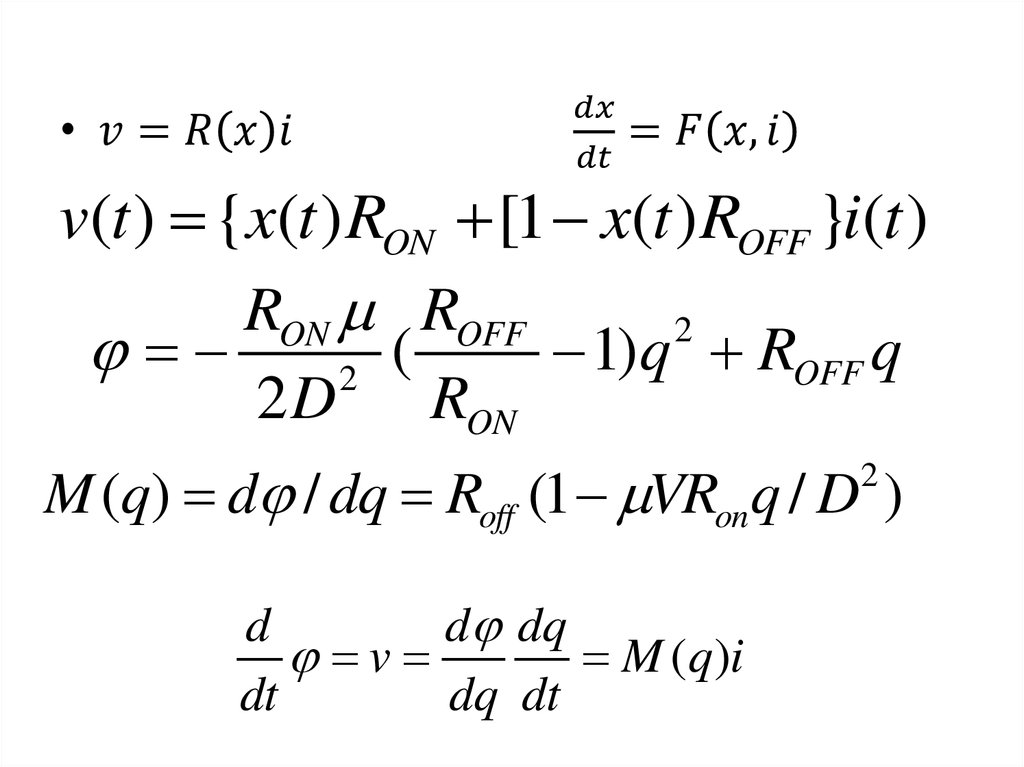
Модель
Униполярное переключение (а) Биполярное переключение (b)
Изменение концентрации вакансий возле катода и анода в октаэдрическом окружении атомов Cr в Cr:SrTiO3
Пример исследуемых структур мемристора
1.19M
Category: electronicselectronics

Мемристор. Память о прошлом или память будущего

1. МЕМРИСТОР.

Память о прошлом или
память будущего.

2. П А М Я Т Ь

ПАМЯТЬ

3. L. O. Chua, “Memristor—the missing circuit element,” (1971).

4. D. B. Strukov, G. S. Snider, D. R. Stewart, and R. S.Williams, “The missing memristor found,” Nature 453, 80–83 (2008).

5.

English     Русский Rules