Бифуркация в природе
Вопросы :
«Универсальная энциклопедия» Кирилла и Мефодия:
Простейший пример бифуркации - прогиб балки.
…так шли дела в тридевятом царстве, в тридесятом государстве, в благословенной Обормотии…
Моделирование процесса бифуркации
Спасибо за внимание!
2.90M
Category: philosophyphilosophy

Бифуркация в природе

1. Бифуркация в природе

1.
2.
Явление бифуркации на
примерах
Процесс бифуркации на
математической модели

2. Вопросы :

понятие бифуркации;
примеры бифуркаций;
Основа универсальности понятия;
процесс бифуркации на
математической модели;
важность изучения явления
бифуркации.

3.

Бифуркации
• Конструкция «ветвление»
[лат. bis – дважды, и furca – вилы]. Разделение,
(программирование)
разветвление чего-нибудь в двух направлениях
(науч., книжн).
?
• Разделение кровеносного сосуда или нерва
(анат.).
• Разветвление, разделение на специальные уклоны
в системе школьного образования
(педаг.).
• Разветвление реки на два русла, которые
вливаются в разные бассейны
(географ.).

4.

Бифуркации
Устье реки Лены
(пространственная
бифуркация)

5. «Универсальная энциклопедия» Кирилла и Мефодия:

Бифуркация - приобретение нового
качества в движениях динамической
системы при малом изменении ее
параметров.
Явление бифуркаций
применимо для
описания
динамических систем
любой сложности и
любой природы.

6.

•Налево пойти –
коня потерять.
• Прямо пойти – буйну
голову сложить.
Иллюстрация «Витязь на распутье»
• Направо пойти –
женатому быть.

7. Простейший пример бифуркации - прогиб балки.

Р
Р0
Р
При значении параметра большем Р0 балка уже не
может оставаться прямой. Ей приходится
"выбирать"
под действием диаграмма
случайных факторов –
Бифуркационная
прогнуться вправо или влево.

8.

Степень социальной
защищенности населения
… а когда все собрались, то солдаты его по условленному
знаку перебили всех сенаторов и богатейших людей из
народа. После такой расправы Агафокл стал властвовать, не
встречая ни малейшего сопротивления со стороны граждан.
"стратегия
свершившегося
факта"
Временная координата
Бифуркационная диаграмма, которая вполне подходит к
истории, описанной Н.Макиавелли.

9.

"Бифуркационная интерпретация" определенного
периода греческой истории.
Заняться торговлей,
ремеслами и морским
извозом. (Афины)
Доход на душу населения
создание колоний на новых
землях. (Греция)
"копья вместо
оливкового
масла".
Временная координата
Расширить свои
владения за счет
соседей (Спарта)

10. …так шли дела в тридевятом царстве, в тридесятом государстве, в благословенной Обормотии…

Доход на душу обормота
Компьютеры
с видеомагнитофонами
Интеллекта
у нас
Надо
интеллект
ида
своего
хватит!
решать!
искусственный
Создадим
Сковородки
Двинемся
Надо
свою обормотную
с экскаваторами
к
индустриальному
промышленность!
решать!
производить!
будущему?
Или оставаться
аграрно-сырьевым придатком
соседей
Временная координата

11.

Бифуркация - это не точка,
которую нельзя предсказать.
Бифуркация - это процесс,
начинающийся в недрах старой
структуры, хотя и
протекающий достаточно
быстро (скачком).

12.

В основе
бифуркационного
механизма лежат
процессы
самоорганизации,
свойственные для
динамических систем
любой природы (неживая
материя, живая и
общественные структуры),
открытых для вещества,
энергии и информации.

13. Моделирование процесса бифуркации

Рассмотрим простую механическую систему:
шарик, катающийся по желобу, профиль
которого определяется с помощью
соотношения:
4
2
y(x)=x +ax +bx
a, b – управляющие параметры;
x – переменная.

14.

4
2
y(x)=x +ax +bx
4
3
3
2
2
1
1
0
-2
-1,5
-1
-0,5
0
0,5
-1
х0
1
1,5
>2
х
-1
Шарик в потенциальной ямке:
a
b
-1,00 0,20
Координата х0 определяет местоположение шарика,
параметры a, b – профиль желоба

15.

Поведение параметров порядка
y(x)=x 4 +ax 2 +bx
12
b=0
10
8
y(a = 2)
y(a =0)
y(a = - 0,5)
y(a = - 2)
6
4
2
0
-2
-1
-2
0
1
2
(а = 2) имеется только одно состояние параметра порядка
(а = 0) - более плоская нижняя часть углубления
(а < 0) может появиться новый ландшафт - с двумя минимумами (ямками).

16.

y(x)=x 4 +ax 2 +bx
5
y(12)
b= - 1
4
5
y(2)
b=1
4
3
3
a=-1
2
2
1
1
0
-2
-1,5
-1
-0,5
0
0,5
1
1,5
0
2
b= - 0,6
-1
-2
-2
b=0,6
-1
0
1
2
-1
4
y(10)
-2
4
y(4)
4
4
3
3
3
(а = - 1)
2
2
1
3
2
2
1
1
1
0
-2
-1,5
-1
-0,5
-1
0
0,5
1
1,5
b= - 0,4
2
0
-2
-1
b=0,4
4
y(9)
1
2
4
3
2
3
2
2
1
b= - 0,2
1
0
-0,5 -1 0
1
y(5)
3
-1
0
4
3
-1,5
-1
-1
4
-2
-1
b=0
4
0,5
1
1,5
y(8)
2
3
1
y(6)
0
3
3
-1
1
4
y(7)
3
2
b=0,2
-2
3
-1
3
2
2
2
2
1
1
1
1
2
1
1
0
0
-1,5
-1
-0,5
-1
-1
0
-1
2
-2
-1
0
0,5
1
1,5
2
0
-2
-1
-2
0
-1
1
2
-1
-1
0
1
2
-1
<
Изменение состояния рассматриваемой системы при движении по
координате параметра b в направлении указанном стрелкой.
Качественная перестройка системы происходит на пунктирных линиях.
2

17.

y(x)=x 4 +ax 2 +bx
5
y(12)
b= - 1
4
5
y(2)
b=1
4
3
3
a=-1
2
2
1
1
0
-2
-1,5
-1
-0,5
0
0,5
1
1,5
0
2
b=- 0,6
-1
-2
-2
b= 0,6
-1,5
-1
-0,5
0
0,5
1
1,5
-1
4
y(10)
-2
4
y(4)
4
4
3
3
3
3
2
(а = - 1)
2
1
1
2
2
1
1
0
-2
-1,5
-1
-0,5
-1
0
0,5
1
1,5
b= - 0,4
2
0
-2
-1
-1,5
b= 0,4
4
y(9)
4
3
2
2
b= - 0,2
0
-1
1
3
2
1
-0,5
0,5
4
1
-1
0
-1
-1
4
3
-1,5
-0,5
y(5)
3
-2
-1
0
0,5
1
1,5
b=0
4
3
y(8)
2
1
y(6)
0
3
3
-1
1
4
y(7)
3
2
b= 0,2
3
-2
2
2
2
1
1
1
1
-1,5
-1
-0,5
-1
0
0,5
1
1,5
1
1
0
0
-1
-0,5
2
0
-2
-1
-1
2
2
-1,5
-1
3
0,5
1
1,5
2
-2
0
-2
-1,5
-1
-0,5
0
-1
0,5
1
1,5
2
-1,5
-1
-0,5
0
0,5
1
1,5
2
-1
-1
>
Изменение состояния рассматриваемой системы при движении по
координате параметра b в направлении указанном стрелкой.
2
1,5
2
2

18.

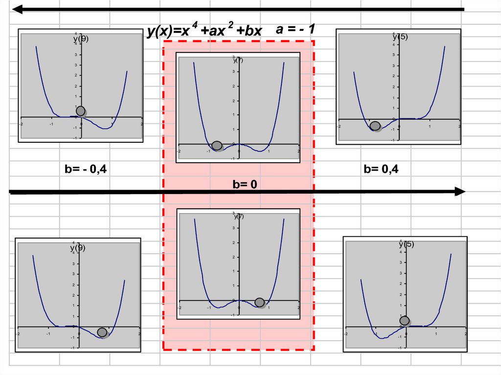
y(x)=x 4 +ax 2 +bx a = - 1
4
y(9)
4
4
y(5)
4
3
3
3
y(7)
3
3
3
2
2
2
2
2
1
1
2
1
1
1
0
-2
-1
0
0
-1
1
2
-2
1
-1
-1
-1
-1
1
2
-1
0
-2
0
0
1
2
-1
b= - 0,4
b= 0,4
b= 0
3
y(7)
3
4
4
y(5)
2
y(9)
4
4
2
3
3
1
3
2
3
2
1
2
2
0
1
-2
-1
0
1
1
2
-1
1
1
0
-2
-1
-1
-1
0
0
1
2
-2
-1
-1
-1
0
1
2

19.

Замечательным результатом науки нашего века
стало понимание того, что различных типов
бифуркаций очень немного.
Сложные системы, как это ни удивительно, очень
часто претерпевают те же самые скачки,
бифуркации, метаморфозы, что и простые.

20.

Как выбрать верное направление развития?
Какие факторы влияют на выбор пути?
Напомню:
Бифуркация, приобретение нового качества в
движениях динамической системы при малом
изменении ее параметров.

21.

Что и как можно предсказывать на долгие годы вперёд?
… тот, кто видит всю трубу, а не только шарик после выхода из неё, может
на любой срок вперёд заявить, что шарик вылетит именно из выхода,
причём может указать его границы.
Для того, кто этого не видит, такое предсказание покажется чудом.

22.

Но, в отличие от предыдущих,
это качественное изменение —
осознанное, основанное на
самопостижении человека и
принципиально новой
парадигме.
Теперь Жизнь устремлена на
третью — синтетическую, или
осознанную ступень.

23. Спасибо за внимание!

English     Русский Rules