568.50K
Category:
chemistry
Similar presentations:
Важнейшие минералы
Важнейшие соединения алюминия
Важнейшие породообразующие минералы
Важнейшие соединения хлора
Важнейшие бинарные соединения
Кремний и его важнейшие соединения
Важнейшие минеральные удобрения
Важнейшие нефтепродукты. Области их применения
Важнейшие классы бинарных соединений
Важнейшие химические понятия и законы
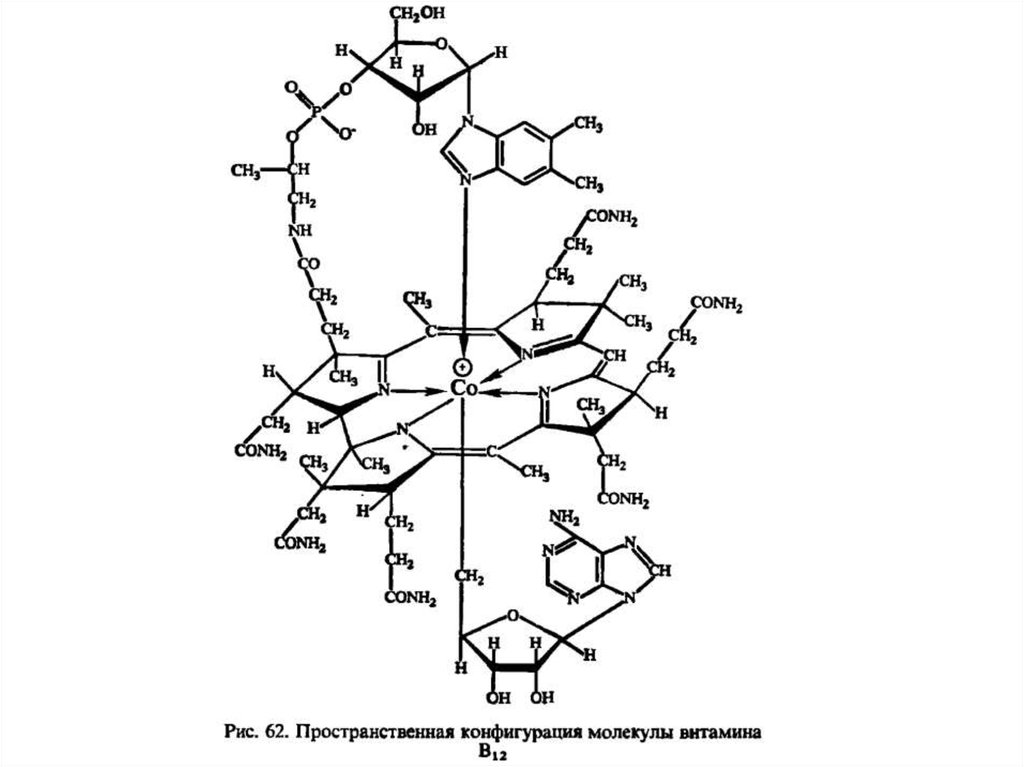
Важнейшие витамины и их номенклатура
1.
English
Русский
Rules