1.93M
Category: physicsphysics

气动理论小结

1.

气动理论小结
M
1. 理想气体状态方程 pV
RT
M mol
PV RT
2.压强、温度公式
P nkT
kN A T NkT
3
1
2
2
p nmv n t t kT
2
3
3
气体分子平均平动动能
方均根速率
1 2 3
t mv kT
2
2
3kT
v
m
2
3RT
M mol
11
唐芙蓉

2.

3 (单原子
i
k kT i 5 (双原子
2
6 (多原子
刚性分子
3. 气体分子的平均动能
4. 理想气体的内能
内能 气体中所有分子的动能和分子间相互作用势能的总和
1
i
理想气体内能 气体中所有分子的动能。
(t r )kT kT
——看作刚性分子
2
2
一摩尔理想气体内能
Emol
质量为M理想气体内能 E
i
i
N A kT RT
2
2
M i
M
RT
Emol
M mol 2
M mol
系统内所有分子热运动能量的和:
i
i
E RT N kT
2
2 2
唐芙蓉

3.

5.速率分布函数
dN
f ( )
f
(
v
)
dv
连续 v ~ v dv : dN
N
dN
分布函数
f (v )
Ndv
N
v2
v1
T
N f ( v)dv
0
d
f (v)dv 1
f(v)满足归一化条件
0
m
)3 / 2 e
麦克斯韦速率分布 f (v) 4 (
2 kT
vx v y vz 0
v v v v
2
2
x
2
y
2
z
mv 2
2 kT
v2
1 2
v v v v
3
2
x
2
y
2
z
3
唐芙蓉

4.

6. 三个统计速率
1.最概然速率 vp df 0 v
p
dv
2kT
m
2 RT
M mol
2.平均速率 v
v vf (v)dv v
0
8kT
8RT
m
M mol
3.方均根速率 v 2
2
v v f (v)dv
0
2
1/ 2
3kT
3RT
v
m
M mol
2
4
唐芙蓉

5.

7. 平均碰撞频率和平均自由程的计算
z
d u t n
2
t
可以证明 u
d
2
d nu
2
u
2v
d 2 称为分子碰撞截面。
1 平均碰撞频率
z
2 nv
2 平均自由程的计算
v
z
1
2 n
5
唐芙蓉

6.

热一定律小结1
Q E A dQ dE dA
1.热力学第一定律应用
等体过程
等体过程系统作功
A 0
dQ dE PdV
P
等体过程系统内能的变化
Vo
M i
E
R(T2 T1 )
M mol 2
V
M
Q
Cmol T
M mol
等体过程系统的吸收的热量
M i
QV
R(T2 T1 )
M mol 2
i
CV R
2
6
唐芙蓉
6

7.

等压过程系统的吸热 等压过程
Qp
M
C p (T2 T1 )
M mol
M i 2
R(T2 T1 )
M mol 2
等压过程系统内能的增量
M i
E
R(T2 T1 )
M mol 2
P
Q E A
P
o
V1
V2 V
i
C p CV R R R
2
Cp
i 2
CV
i
等压过程系统作功
A P(V2 V1 )
M
R(T2 T1 )
M mol
7
唐芙蓉

8.

Q E A
等温过程
等温过程系统内能的增量 E
0
M
pV
RT
M mol
等温过程系统作功和吸热
Q A
M
V2
M
P1
RT ln
RT ln
M mol
V1 M mol
P2
P
V1
V2
P1
p1V1 ln
p1V1 ln
V1
P2
V2 V
V2
V2
V1
V1
A PdV
C
dV
V
8
唐芙蓉

9.

Q E A
理想气体的绝热过程
dQ 0
P
dA pdV dE
绝热过程中系统所作的功完全来自内能的变化。V1
绝热过程内能增量
M
EQ
CV (T2 T1 )
M mol
绝热过程的功
M
A
CV (T2 T1 )
M mol
V2 V
绝热方程
PV C1
TV 1 C2
P 1T C3
为比热容比
9
唐芙蓉

10.

2. 热机与制冷机
热机:
P A
高 温 热 源 T1
T1
Q1= ∣ Q2 ∣ +A
工作物质
D
A= Q1- ∣ Q2 ∣
Q2
低 温 热 源 T2
Q1
P
b
a
d
o
Q2
c
V
B
T2
C 1
T1
T2 C
V1 V4V2 V3V
热机效率
A
Q1
1
Q2
Q1
10
唐芙蓉

11.

致冷机:
致冷系数
高 温 热 源 T1
Q1 =A’+Q2
工作物质
A’
Q2
低 温 热 源 T2
P
a
Q1
Q2
Q2
w
A
Q1 Q2
卡诺致冷机:
P A
T1
b
D
d
o
Q2
c
V
B
T2
w
T1 T2
T2 C
V1 V4V2 V3V
11
唐芙蓉

12.

热力学第二定律小结
T1
一、热力学第二定律的两种典型表述
1. 开尔文表达
Q
B
W=Q
不可能从单一热源吸取热量使之完全
变为有用功而不产生其它影响。
2. 克劳修斯表达
热量不可能从低温物体传给高温物体而不
引起其它变化。
二、可逆过程和不可逆过程
自然过程的不可逆性
无摩擦力的准静态过程才是可逆过程。
T1
Q
B
Q
T2
(T1>T2)
12
唐芙蓉

13.

T2
T2
C 1
1
T1
T1
三、卡诺定理
四、态函数熵 S
1、熵变
dQ
S 2 S1 1R
T
2、几率熵
S k ln W
2
dQ
dS
T
玻耳兹曼熵公式
3、熵增加原理
当热力学系统从一平衡态经绝热过程到达另一平衡态
它的熵永不减少 如果过程是可逆的 则熵的数值不变 如
果过程是不可逆的 则熵的数值增加。叫做熵增加原理。
熵增加原理也常表述为 一个孤立系统的熵永不减少。 13
唐芙蓉

14.

一、选择题
1.
2.
3.
热学习题课
C
C
D
14
唐芙蓉

15.

4.
D
5.
D
6.
C
15
唐芙蓉

16.

7.
B
8.
9.
D
D
10.
A
16
唐芙蓉

17.

二、填空题
1.
2.
17
唐芙蓉

18.

3.
4.
18
唐芙蓉

19.

三、计算题
1.
19
唐芙蓉

20.

2.
20
唐芙蓉

21.

3.
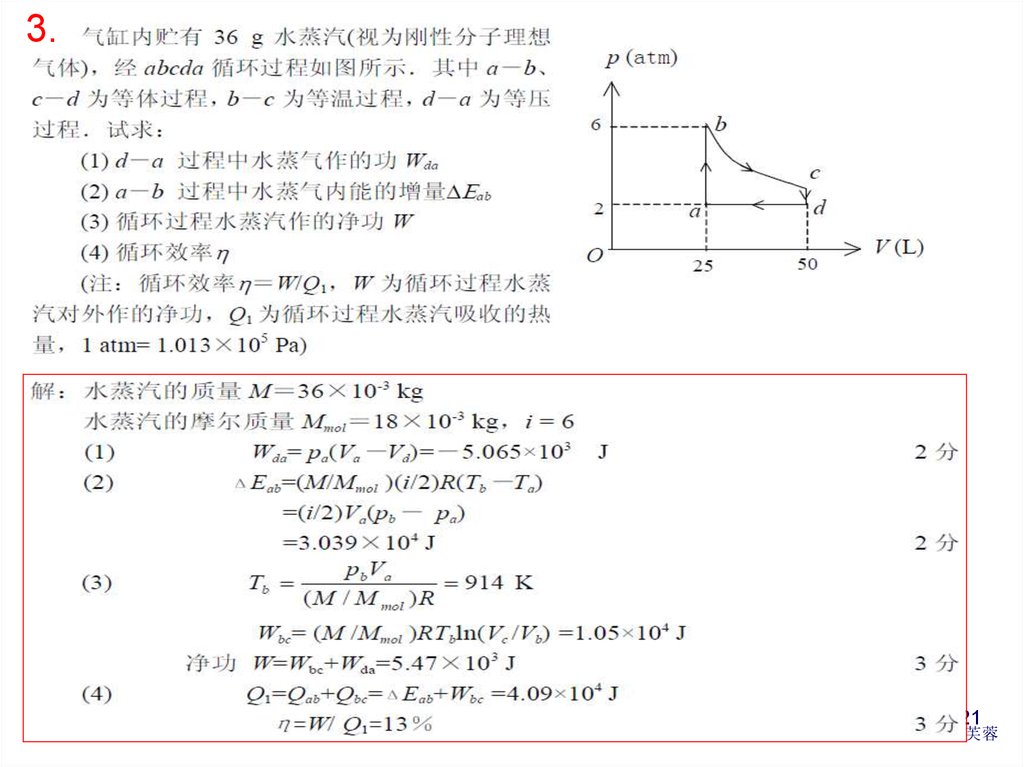
21
唐芙蓉

22.

4.
22
唐芙蓉

23.

5.
23
唐芙蓉
English     Русский Rules