Подготовка к ОГЭ (маркировка шин задачи 1-5)
Как получили 205?!
Задание №2
Задание №3
Задание №4
Задание №4
Маркировка нового колеса 195/55 R 16
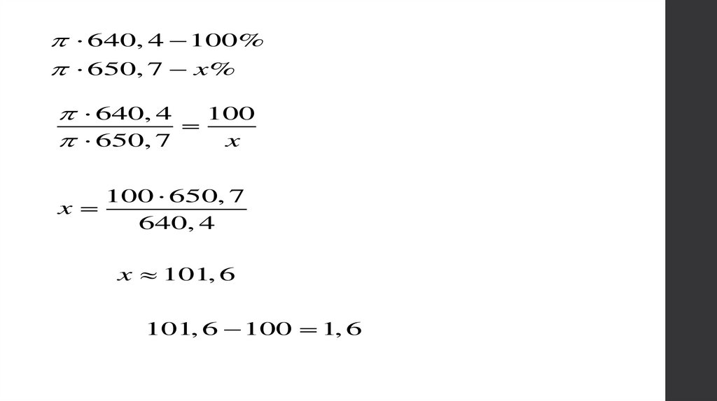
Задание №5 (вариант «Автосервис»)
Задание №5 (вариант «Автосервис»)
Решение:
Задание №5 (вариант «Увеличение пробега»)
1.04M
Category: mathematicsmathematics

Шины. Теория и разбор

1. Подготовка к ОГЭ (маркировка шин задачи 1-5)

домашнее задание – вариант решу ОГЭ

2.

«Маркировка шин»
Автомобильное колесо, как правило, представляет из себя
металлический диск с установленной на него резиновой шиной.
Диаметр диска совпадает с диаметром внутреннего отверстия в
шине. Для маркировки автомобильных шин применяется единая
система обозначений. Например, 195/65 R15 (рис. 1). Первое число
(число 195 в приведённом примере) обозначает ширину шины в
миллиметрах (параметр B на рис. 2).Второе число (число 65 в
приведённом примере) – процентное отношение высоты боковины
H
(параметр H на рисунке 2) к ширине шины, то есть .
100
B

3.

Последующая буква обозначает тип конструкции шины. В данном
примере буква R означает, что шина радиальная, то есть нити
каркаса в боковине шины расположены вдоль радиусов колеса. На
всех легковых автомобилях применяются шины радиальной
конструкции.
За обозначением типа конструкции шины идёт число, указывающее
диаметр диска колеса d в дюймах (в одном дюйме 25,4 мм). Таким
образом, общий диаметр колеса D легко найти, зная диаметр диска и
высоту боковины.
Возможны дополнительные маркировки, обозначающие допустимую
нагрузку на шину, сезонность использования, тип дорожного
покрытия и другие параметры.

4.

5.

6.

Задание 1.
Завод допускает установку шин с другими маркировками. В таблице показаны
разрешённые размеры шин.
Ширина шины (мм)
185
195
205
215
Диаметр диска (дюймы)
14
15
16
185/60
185/55

195/55
195/55; 195/50

205/50
205/50
215/45


Шины какой наименьшей ширины можно устанавливать на автомобиль, если
диаметр диска равен 16 дюймам? Ответ дайте в миллиметрах.
Ответ: 205

7. Как получили 205?!

Ширина шины В (ширина протектора) стоит на первом
месте в маркировке. Это первый столбец в таблице.
Диаметр диска равен 16 дюймам, это четвертый
столбец.
В столбце под 16 дюймами стоит наименьшее число 205. Переходим от числа 205 влево до первого столбца,
видим там число 205
Ответ: 205

8. Задание №2

На сколько мм радиус колеса с шиной
маркировки 185/65 R 16 меньше, чем радиус
колеса с шиной маркировки 215/55 R 16

9.

1 колесо 185/65 R 16
+
2 колесо 215/55 R 16
+

10.

Решение:
Радиус колеса – это половина диаметра
1 колесо 185/65 R 16
H1 =
2 колесо 215/55 R 16
H2 =

11. Задание №3

Найдите диаметр колеса автомобиля, выходящего
с завода. Ответ дайте в миллиметрах.

12.

Решение:
Маркировка шины с завода 185/60 R 14
B=185мм-ширина шины; d = 14 дюймов
H =0,6 · 185 = 111(мм)
1 дюйм = 25,4 мм
D = 2∙111 + 14 ·25,4 = 577,6(мм)
Ответ: 577,6

13. Задание №4

На сколько миллиметров увеличится диаметр
колеса, если заменить колёса, установленные на
заводе, колёсами с шинами маркировки 195/55
R 15 ?

14. Задание №4

На сколько миллиметров увеличится диаметр
колеса, если заменить колёса, установленные на
заводе, колёсами с шинами маркировки 195/55
R 16 ?

15. Маркировка нового колеса 195/55 R 16

Найдем высоту резины
English     Русский Rules