Прикладная экология
Предельно допустимые концентрации (ПДК)
Временно допустимые концентрации (ВДК)
Основные недостатки использующихся в РФ нормативов качества окружающей среды
Использование фоновых концентраций в нормировании
Нормативы допустимого воздействия (научно-технические нормативы)
Токсичность
Порог вредного действия
Смертельные дозы
Экологическое нормирование
Нормирование качества атмосферного воздуха
ПДК рабочей зоны (ПДК р.з.)
Предельно допустимая концентрация максимально разовая (ПДК м.р.)
Предельно допустимая концентрация среднесуточная (ПДКсс)
Основные критерии состояния загрязнения воздушного бассейна
Комплексный показатель загрязнения атмосферы
Критерий оценки состояния загрязнения атмосферы по комплексному индексу (КИЗА)
Критерий опасности предприятия
Нормирование качества поверхностных вод
Классификация вод по интегральным показателям качества
Нормирование качества почв
Обоснование ПДК химических веществ
Степень загрязнения почв химическими веществами
819.50K
Category: ecologyecology

Презентация лекции 3 по Прикладной экологии(4)

1. Прикладная экология

Лекция 3
Природоохранное нормирование

2.

Природоохранное нормирование - центральное звено
системы охраны окружающей среды.
В соответствии с природоохранительным законодательством
Российской Федерации нормирование в области охраны
окружающей среды осуществляется в целях государственного
регулирования воздействия хозяйственной и иной деятельности
на
окружающую
среду,
гарантирующего
сохранение
благоприятной
окружающей
среды
и
обеспечение
экологической безопасности [ст. 19]
Главной целью природоохранного нормирования является
регулирование уровня химического загрязнения, вносимого в
результате производственной деятельности, в целях сохранения
благоприятной
окружающей
среды
и
обеспечения
экологической безопасности. Регулирование воздействия
производственной
деятельности на окружающую среду
осуществляется посредством установления:
нормативов качества окружающей среды,
нормативов допустимого воздействия на нее.
2

3. Предельно допустимые концентрации (ПДК)


нормативы,
устанавливающие
концентрации вредного вещества в
единице объема (воздуха, воды), массы
(пищевых
продуктов,
почвы)
или
поверхности (кожа работающих), которые
при воздействии за определенный
промежуток времени практически не
влияют на здоровье человека и не
вызывают неблагоприятных последствий
у его потомства

4. Временно допустимые концентрации (ВДК)

Устанавливаются для веществ, о действии
которых
не
накоплено
достаточной
информации,
могут
устанавливаться
расчетным путем, рекомендованные для
использования сроком на 2/3 года*.
Для ВДК в воздухе и воде употребляется
также
термин
ориентировочный
безопасный уровень воздействия (ОБУВ), а
для ВДК в почве – ориентировочная
допустимая концентрация (ОДК).

5. Основные недостатки использующихся в РФ нормативов качества окружающей среды

• неизменность для всех территорий и отсутствие учёта
особенностей конкретных экосистем, в том числе
урбоэкосистем;
• отсутствие исследований влияния вещества на живой
организм в виде неблагоприятных сдвигов физиологических
и биохимических показателей;
• недостаточное отражение совместного действия веществ;
• отсутствие учета поступления вредных веществ в организм
одновременно различными путями и с различными средами;
• не регламентированность разработки нормативов на
настоящий момент времени и на перспективу, с учетом
последующего развития системы управления качеством
объектов окружающей среды.
5

6. Использование фоновых концентраций в нормировании

Во многих природных объектах, даже находящихся
в близком к естественному (фоновому) состоянии,
ряд веществ уже присутствует в концентрациях,
превышающих ПДК ( рудные аномалии,
нефтеносные районы, территории распространения
торфяников и т.п.). Биогеохимические провинции —
территории, где свойства природных сред и
организмов отличаются от характерных свойств
географической зоны.

7. Нормативы допустимого воздействия (научно-технические нормативы)

• относятся нормативы выбросов и сбросов вредных
веществ (НДВ и НДС), образования отходов и лимиты
их размещения, а также технологические, строительные,
градостроительные нормы и правила, содержащие
требования по охране окружающей природной среды.
• В основу научно-технического нормирования положен
следующий
принцип:
при
условии
соблюдения
нормативов всеми предприятиями региона содержание
любой примеси в воде, воздухе и почве должно
удовлетворять требованиям санитарно-гигиенического
нормирования, то есть не превышать ПДК.

8. Токсичность

Способность загрязняющего вещества
вызывать нарушения физиологических
функций организма, что, в свою очередь,
приводит к заболеваниям (интоксикациям,
отравлениям) или, в тяжелых случаях, к
гибели. Фактически, токсичность — мера
несовместимости вещества с жизнью

9. Порог вредного действия

это минимальная доза вещества, при воздействии
которой в организме могут возникнуть изменения,
выходящие
за
пределы
физиологических
и
приспособительных реакций, или скрытая (временно
компенсированная) патология. Пороговая доза вещества
может вызывать у организма отклик, который не
компенсируется за счет механизмов поддержания
внутреннего равновесия организма.

10. Смертельные дозы

Различают среднесмертельные (ЛД50), абсолютно
смертельные
(ЛД100),
минимально
смертельные
(ЛД0/10) и др. дозы. Цифры в индексе отражают
вероятность (%) появления определенного токсического
эффекта— смерти в группе подопытных животных.
Доза ЛД50 (гибель половины подопытных животных)
дает
значительно
более
определенную
в
количественном отношении характеристику токсичности,
чем ЛД100 или ЛД0.

11. Экологическое нормирование

12.

13.

14. Нормирование качества атмосферного воздуха

Качество
атмосферного
воздуха
совокупность
свойств
атмосферы,
определяющую
степень
воздействия
физических, химических и биологических
факторов на людей, растительный и
животный мир, а также на материалы,
конструкции и окружающую среду в целом.
Регламентируется
ГОСТом
17.2.1.0384.
Охрана природы. Атмосфера. Термины и
определения контроля загрязнения

15. ПДК рабочей зоны (ПДК р.з.)

концентрация, которая при ежедневной (кроме
выходных дней) работе в течение 8 часов или
при другой продолжительности, но не более 41
часа* в неделю, на протяжении всего рабочего
стажа не должна вызывать заболевания или
отклонения
в
состоянии
здоровья,
обнаруживаемые
современными
методами
исследования, в процессе работы или в
отдаленные
сроки
жизни
настоящего
и
последующего поколений

16. Предельно допустимая концентрация максимально разовая (ПДК м.р.)

• концентрация вредного вещества в воздухе
населенных мест, не вызывающая при
вдыхании в течение 20 минут рефлекторных
(в том числе, субсенсорных) реакций в
организме человека

17. Предельно допустимая концентрация среднесуточная (ПДКсс)

это концентрация вредного вещества в воздухе
населенных мест, которая не должна
оказывать на человека прямого или косвенного
воздействия при неограниченно долгом (годы)
вдыхании.

18.

Соотношение различных
видов ПДК в воздухе для
некоторых веществ
Вещество
ПДK средн.сут. ПДK макс.раз ПДK раб. зоны
Азота оксид (II) 0,06
0,6
30

19. Основные критерии состояния загрязнения воздушного бассейна

Характеристика
Среднее арифметическое
значение концентрации
примеси, измереных n раз
Среднее квадратическое
отклонение результатов
измерений от среднего
арифметического
Метод расчета
Использование
Для оценки однородности
рядов наблюдений, для
дальнейших расчетов
n
q
qср i 1
n
i
n
gi
(q q )
i 1
i
n 1

2
Для получения
информации об
изменчивости среднего,
для статистического
анализа распределения
концентраций
Коэффициент вариации
концентрации примеси
g
V
q
Для оценки доли
изменчивости
концентрации примеси

20. Комплексный показатель загрязнения атмосферы

qсз si
I in I i (
)
i 1
i 1 ПДК сс
n
n
Загрязняющие вещества в воздушном бассейне по вероятности
их неблагоприятного влияния на здоровье населения делят на 4
класса: 1-й чрезвычайно опасные, 2-й высоко опасные, 3-й
умерено опасные и 4-й мало опасные. Учет класса опасности
определяется «приведением» концентраций веществ,
нормированных по ПДК, к концентрациям вещества 3-го класса
опасности диоксида
серы.

21. Критерий оценки состояния загрязнения атмосферы по комплексному индексу (КИЗА)

Норма (Н) менее 5;
Риск (Р) 5–8;
Кризис (К) 8–15;
Бедствие (Б) более 15
Учет суммации действия:
С3
Сn
С1
С2
1
ПДК1 ПДК 2 ПДК 3 ПДК N

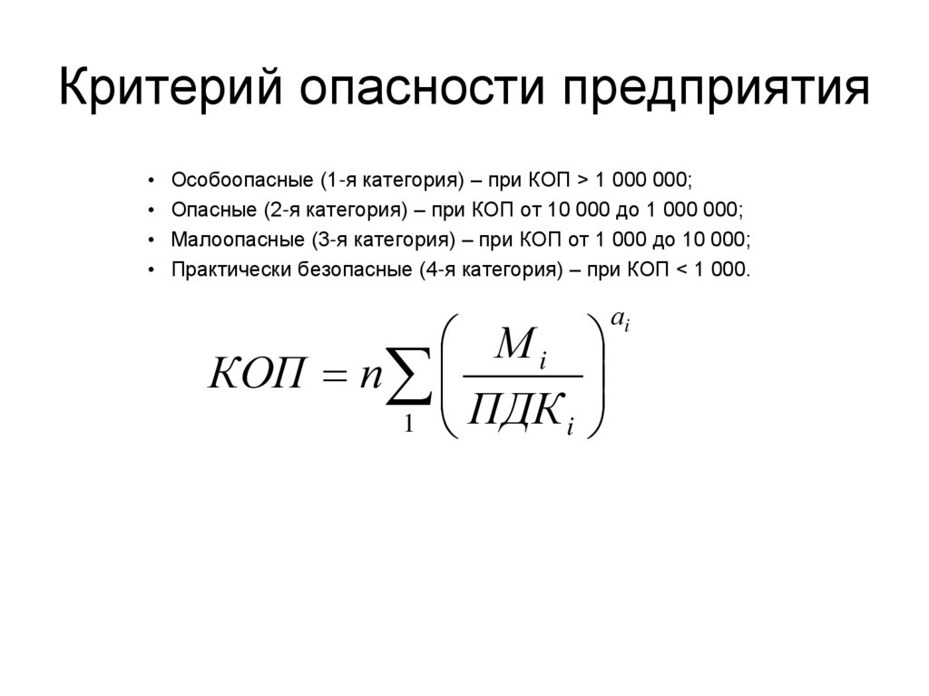
22. Критерий опасности предприятия


Особоопасные (1-я категория) – при КОП > 1 000 000;
Опасные (2-я категория) – при КОП от 10 000 до 1 000 000;
Малоопасные (3-я категория) – при КОП от 1 000 до 10 000;
Практически безопасные (4-я категория) – при КОП < 1 000.
Мi
КОП п
1 ПДК i
аi

23. Нормирование качества поверхностных вод

Под качеством воды в целом понимается характеристика ее состава и
свойств, определяющая ее пригодность для конкретных видов
водопользования; при этом показатели качества представляют собой
признаки, по которым производится оценка качества воды.
По санитарному признаку устанавливаются микробиологические и
паразитологические показатели воды (число микроорганизмов и число
бактерий группы кишечных палочек в единице объема).
Токсикологические показатели воды, характеризующие безвредность ее
химического состава, определяются содержанием химических веществ,
которое не должно превышать установленных нормативов.
Наконец, при определении качества воды учитываются органолептические
(воспринимаемые органами чувств) свойства: температура, прозрачность,
цвет, запах, вкус, жесткость.

24.

Предельно допустимая концентрация в воде водоема
хозяйственно-питьевого и культурно-бытового
водопользования (ПДКв) — это концентрация вредного
вещества в воде, которая не должна оказывать прямого или
косвенного влияния на организм человека в течение всей
его жизни и на здоровье последующих поколений и не
должна ухудшать гигиенические условия водопользования
Предельно допустимая концентрация в воде водоема,
используемого для рыбохозяйственных целей (ПДКвр) —
это концентрация вредного вещества в воде, которая не
должна оказывать вредного влияния на популяции рыб, в
первую очередь, промысловых

25. Классификация вод по интегральным показателям качества

• Индекс загрязнения воды, как правило, рассчитывают
по
шести–семи
показателям,
включающим
(концентрацию растворенного кислорода, водородный
показатель рН, биологическое потребление кислорода
БПК5) является обязательной.
• ,
• Ci – концентрация компонента (в ряде случаев – значение
параметра);
• N – число показателей, используемых для расчета индекса;
• ПДКi – установленная величина для соответствующего типа
водного объекта.

26. Нормирование качества почв

• Предельно
допустимая
концентрация
химического
вещества
в
почве
представляет собой комплексный показатель
безвредного для человека содержания
химических веществ в почве, так как
используемые при ее обосновании критерии
отражают возможные пути воздействия
• Регламентируется
ГОСТом
27593
88. Почвы. Термины и определения

27. Обоснование ПДК химических веществ

в почве базируется на 4 основных показателях
вредности, устанавливаемых экспериментально:
• транслокационном, характеризующим переход
вещества из почвы в растение;
миграционном
водном,
характеризующим
способность перехода вещества из почвы в грунтовые
воды и водоисточники;
• миграционном воздушном, характеризующим
переход вещества из почвы в атмосферный воздух;
• общесанитарном, характеризующим влияние
загрязняющего
вещества
на
самоочищающую
способность почвы и ее биологическую
активность.

28. Степень загрязнения почв химическими веществами


С(i) факт
Zc = ---------С(i) фон
С(i) факт - фактическое содержание i-го
токсиканта в почве;
С(i) фон - значение регионально-фонового
содержания в почве
i-го токсиканта.
English     Русский Rules