ОСНОВНОЕ УРАВНЕНИЕ МОЛЕКУЛЯРНО-КИНЕТИЧЕСКОЙ ТЕОРИИ ГАЗОВ (10 класс)
НАЗОВИТЕ ОСНОВНЫЕ ПОЛОЖЕНИЯ МОЛЕКУЛЯРНО-КИНЕТИЧЕСКОЙ ТЕОРИИ СТРОЕНИЯ ВЕЩЕСТВА
ДОКАЖИТЕ, ЧТО ВЕЩЕСТВА СОСТОЯТ ИЗ МОЛЕКУЛ, МЕЖДУ КОТОРЫМИ ЕСТЬ ПРОМЕЖУТКИ
В чем суть броуновского движения? Доказательством каких положений МКТ является это движение?
Что такое диффузия? Доказательством каких положений МКТ является диффузия?
Зависит ли скорость диффузии от температуры?
О чем говорит опыт, показанный на рисунке?
КАКОВЫ РАЗМЕРЫ МОЛЕКУЛ?
Опишите словами модель изменения сил взаимодействия между молекулами или атомами твердого вещества
В каком агрегатном состоянии находятся эти вещества? Укажите особенности строения и движения молекул.
В каком агрегатном состоянии находится это вещество? Укажите особенности строения и движения молекул
В каком агрегатном состоянии находится это вещество? Укажите особенности строения и движения молекул
ИЗУЧЕНИЕ НОВОГО МАТЕРИАЛА
Почему при откачивании воздуха из-под колокола воздушного насоса шарик раздувается?
ЧЕМ ОБУСЛОВЛЕНО ДАВЛЕНИЕ ГАЗОВ?
ОТ ЧЕГО ЗАВИСИТ ДАВЛЕНИЕ ГАЗА?
ВЫВОД ОСНОВНОГО УРАВНЕНИЯ МКТ ГАЗА
ОСНОВНОЕ УРАВНЕНИЕ МОЛЕКУЛЯРНО-КИНЕТИЧЕСКОЙ ТЕОРИИ ГАЗОВ
ОСНОВНОЕ УРАВНЕНИЕ МОЛЕКУЛЯРНО-КИНЕТИЧЕСКОЙ ТЕОРИИ ГАЗОВ
Домашнее задание:
2.27M
Category: physicsphysics

10 кл Основное уравнение МКТ газа. _

1. ОСНОВНОЕ УРАВНЕНИЕ МОЛЕКУЛЯРНО-КИНЕТИЧЕСКОЙ ТЕОРИИ ГАЗОВ (10 класс)

ОСНОВНОЕ УРАВНЕНИЕ
МОЛЕКУЛЯРНОКИНЕТИЧЕСКОЙ ТЕОРИИ
ГАЗОВ
(10 класс)

2. НАЗОВИТЕ ОСНОВНЫЕ ПОЛОЖЕНИЯ МОЛЕКУЛЯРНО-КИНЕТИЧЕСКОЙ ТЕОРИИ СТРОЕНИЯ ВЕЩЕСТВА

все вещества состоят из молекул,
между которыми есть промежутки;
молекулы беспорядочно непрерывно
движутся;
молекулы взаимодействуют друг с
другом.

3. ДОКАЖИТЕ, ЧТО ВЕЩЕСТВА СОСТОЯТ ИЗ МОЛЕКУЛ, МЕЖДУ КОТОРЫМИ ЕСТЬ ПРОМЕЖУТКИ

При нагревании
все вещества
расширяются,
т.е. увеличивают
свой объем.

4. В чем суть броуновского движения? Доказательством каких положений МКТ является это движение?

Броуновское движение – это
движение взвешенных в жидкости
или газе частиц
за счет движения
молекул жидкости
или газа.

5. Что такое диффузия? Доказательством каких положений МКТ является диффузия?

Диффузия – это перемешивание
веществ при их контакте,
обусловленное
беспорядочным
движением
молекул.

6. Зависит ли скорость диффузии от температуры?

Чем больше температура,
тем быстрее протекает
диффузия:
сахар быстрее растворяется
в горячей воде, чем в холодной,
огурцы быстрее делаются солеными
в горячей воде, чем в холодной.
Зависит ли скорость
диффузии
от температуры?

7. О чем говорит опыт, показанный на рисунке?

Между молекулами вещества
есть силы притяжения.

8. КАКОВЫ РАЗМЕРЫ МОЛЕКУЛ?

С помощью электронного
микроскопа можно увидеть
отдельные молекулы
и атомы и определить
их размеры.
dмолекулы = 10-7 см
-8
dатома = 10 см

9. Опишите словами модель изменения сил взаимодействия между молекулами или атомами твердого вещества

При r = r0 силы притяжения и отталкивания
равны.
При r > r0 силы притяжения больше сил
отталкивания.
При r < r0 силы отталкивания больше сил
притяжения.

10. В каком агрегатном состоянии находятся эти вещества? Укажите особенности строения и движения молекул.

Атомы и молекулы твердых
тел колеблются около
определенных положений
равновесия.
По этой причине твердые
тела сохраняют объем и
форму.

11. В каком агрегатном состоянии находится это вещество? Укажите особенности строения и движения молекул

Молекулы жидкости,
сохраняя ближний порядок,
колеблются около положения
равновесия, время от времени
перескакивая в другое положение
равновесия.
Жидкости сохраняют свой объем,
но легко меняют форму.

12. В каком агрегатном состоянии находится это вещество? Укажите особенности строения и движения молекул

Молекулы газа, находясь на
расстоянии, во много раз большем
размеров самих молекул, движутся
прямолинейно до соударения с
другими молекулами или со стенками
сосуда.
Силы притяжения здесь слабые.
Газы не сохраняют ни формы, ни
объема.
В каком агрегатном состоянии
находится это вещество? Укажите
особенности строения и движения
молекул

13. ИЗУЧЕНИЕ НОВОГО МАТЕРИАЛА

Идеальный газ – модель реального
газа, согласно которой молекулы газа
можно рассматривать как материальные
точки, взаимодействие
между которыми пренебрежимо мало.
ИЗУЧЕНИЕ НОВОГО
МАТЕРИАЛА

14. Почему при откачивании воздуха из-под колокола воздушного насоса шарик раздувается?

15. ЧЕМ ОБУСЛОВЛЕНО ДАВЛЕНИЕ ГАЗОВ?

Давление газа – есть результат ударов
молекул о стенки сосуда

16. ОТ ЧЕГО ЗАВИСИТ ДАВЛЕНИЕ ГАЗА?

17. ВЫВОД ОСНОВНОГО УРАВНЕНИЯ МКТ ГАЗА

Пусть в некотором
объеме есть молекулы,
масса каждой mo ,
их число равно N,
и движутся они со
средней скоростью v

18.

43. Идеальный газ в МКТ. Среднее значение
квадрата скорости.
44. Основное уравнение МКТ идеального газа.
Df. Идеальный газ- это газ,
взаимодействие между
молекулами которого
пренебрежимо мало.
Идеальный газ- это модель реального
газа. Молекулы этого газа- крошечные
шарики, не взаимодействующие друг с
другом. Сталкиваясь со стенкой,
молекулы газа оказывают на нее
давление.

19.

υ υ ... υ
υ
N
2
2
1
2
2
2
N
-среднее значение квадрата
скорости
Основное уравнение МКТ
идеального газа:
1
2
р m0 n υ
3

20.

m0 υ
Е
2
2
средняя
кинетическая
энергия
поступательного
движения молекулы
1
2
р m0 n υ
3
2 m0 υ
2
2
р
n E n nE
3
2
3
3
2

21.

2
р nE
3
Давление идеального газа
пропорционально произведению
концентрации молекул на среднюю
кинетическую энергию поступательного
движения молекулы.
N
n
V
-концентрация - количество
частиц в единице объема
вещества.

22.

1
2
р
m0 nυ
3
1
N
2
m0
υ
3
V
1 m 2
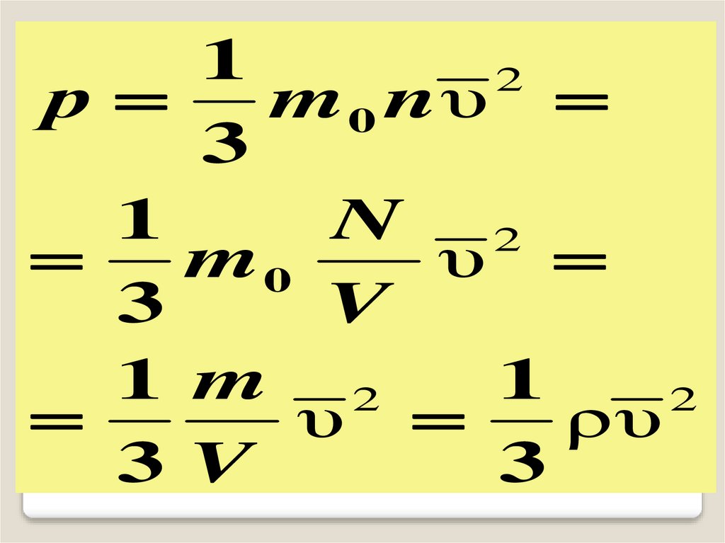
1
2
υ
ρυ
3V
3

23.

Основное уравнение МКТ
идеального газа:
1
2
р m0 n υ
3
2
р nE
3
1
р
3
ρυ
2

24. ОСНОВНОЕ УРАВНЕНИЕ МОЛЕКУЛЯРНО-КИНЕТИЧЕСКОЙ ТЕОРИИ ГАЗОВ

2
Р=1/3nmov

25. ОСНОВНОЕ УРАВНЕНИЕ МОЛЕКУЛЯРНО-КИНЕТИЧЕСКОЙ ТЕОРИИ ГАЗОВ

P = ⅔ ·n·Еk,
где
Еk = m0v2 /2

26. Домашнее задание:

§ 60
English     Русский Rules