465.74K

Программа Весёлая семейка

1.

Муниципальное бюджетное общеобразовательное учреждение
«Основная общеобразовательная школа» д. Денисовка
«Весѐлая семейка»
социально-педагогическая программа
лагеря с дневным пребыванием «Весѐлая семейка»
(для детей от 6,5 до 14 лет. Срок реализации с 01.06.2024 г.-22.06.2024г.)
2024
д. Денисовка

2.

Информационная карта программы
Программа летнего оздоровительного
лагеря с дневным пребыванием детей
«Весѐлая семейка».
содержания Смена лагеря «Весѐлая семейка»
программы включает следующие направления:
Физкультурно-оздоровитенльное
Художественно-творческое
Патриотическое
Досуговое
1. Полное название программы
2. Направления
деятельности
лагеря
3. Характеристика целевой
группы
6,5-14 лет
4. Краткая аннотация
содержания программы
Данная программа по своей
направленности является комплексной,
т. е. включает в себя разноплановую
деятельность, объединяет различные
направления оздоровления, отдыха и
воспитания детей в условиях
оздоровительного лагеря.
Лагерь «Весѐлая семейка»– это сфера
активного отдыха, разнообразная
общественно значимая спортивнооздоровительная и досуговая
деятельность, отличная от типовой
назидательной школьной
деятельности. Лагерь «Весѐлая
семейка»призван создать оптимальные
условия для полноценного отдыха
детей в каникулярный период. В
нашем лагере, создается такая
благоприятная среда, в которой дети
реализуют свои возможности,
потребности в индивидуальной,
физической и социальной компенсации
в свободное время.
Успешность детей в различных
мероприятиях повысит социальную
активность, даст уверенность в своих
силах и талантах.
5. Обоснование актуальности
программы
6. Предполагаемый социальный
эффект программы

3.

7. Цель и задачи программы, в
соответствии с их
актуальностью для целевых
групп участников, родителей
8. Предполагаемые результаты
реализации программы
(описание позитивных
изменений, которые
произойдут в результате
реализации программы)
Создание и развитие социальнообразовательного пространства в
каникулярное время для
интеллектуально-творческого
взаимодействия и взаимообогащения
обучающихся, укрепление
физического, психического и
эмоционального здоровья.
-укрепить здоровье детей, повысив
качество предоставляемых услуг в
сфере оздоровления, отдыха и
занятости обучающихся (мониторинг);
- не допустить роста правонарушений
и преступлений средиобучающихся;
- привить любовь к литературе и
чтению произведений;
- расширить социальный опыт детей в
совместной деятельности с взрослыми;
- развить интерес у детей к занятиям
физкультурой, спортом,
художественным творчеством
(анкетирование);
- создать максимальные условия для
развития творческого потенциала
детей в сфере художественной,
социально-педагогической, туристскокраеведческой направленности.

4.

Режим дня
Прием детей. Солнышко встает – спать ребятам не
дает.
Зарядка. Чтобы быть весь день в порядке, надо сделать
8.50 – 9.00
нам зарядку.
9.05 – 9.10 Линейка. Пора-пора на линейку, детвора.
Завтрак. Каша, чай, кусочек сыра – вкусно, сытно и
9.15 – 9.45
красиво.
9.55 – 13.00 Работа по плану. Лишь заслышим зов игры, быстро на
улицу выбежим мы. Ждет нас здесь много забав
интересных, соревнований, прогулок чудесных. Лучше
отряда нет места на свете – знают воспитатели. Знают
все дети. И если ты час посвятишь сей отряду, будет
всем весело, будут все рады. Кто-то любит танцевать,
кто-то петь и рисовать, только бездельники час этот
маются, а все ребята в кружках занимаются.
13.00 –
Обед. Нас столовая зовет, суп отличный и компот.
13.30
Культурно-массовые и спортивные мероприятия.
13.30 –
Если не поленимся сейчас, будет вечер лучше всех у
14.45
нас. Вместе с отрядом сил не жалей: пой, танцуй, играй
веселей.
14.45 –
Уход детей.
15.00
8.30 – 8.45

5.

Режим дня
8.30-8.45
8.50-9.00
9.05-9.10
9.15-9.45
9.55-13.00
13.00-13.30
13.30-14.45
14.45-15.00
Збор детей
Зарядка.
Линейка.
Завтрак.
Работа по плану
Обед
Культурно-массовые и спортивные мероприятия.
Уход детей.

6.

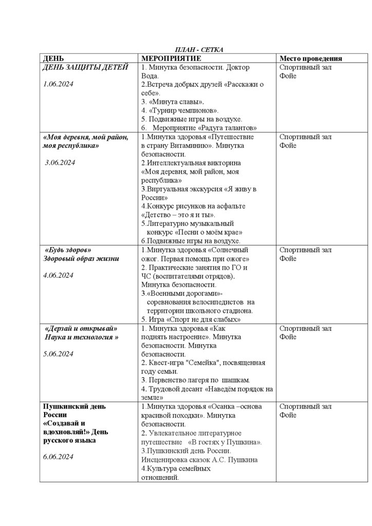
ПЛАН - СЕТКА
ДЕНЬ
ДЕНЬ ЗАЩИТЫ ДЕТЕЙ
1.06.2024
«Моя деревня, мой район,
моя республика»
3.06.2024
«Будь здоров»
Здоровый образ жизни
4.06.2024
«Дерзай и открывай»
Наука и технология »
5.06.2024
Пушкинский день
России
«Создавай и
вдохновляй!» День
русского языка
6.06.2024
МЕРОПРИЯТИЕ
1. Минутка безопасности. Доктор
Вода.
2.Встреча добрых друзей «Расскажи о
себе».
3. «Минута славы».
4. «Турнир чемпионов».
5. Подвижные игры на воздухе.
6. Мероприятие «Радуга талантов»
1.Минутка здоровья «Путешествие
в страну Витаминию». Минутка
безопасности.
2.Интеллектуальная викторина
«Моя деревня, мой район, моя
республика»
3.Виртуальная экскурсия «Я живу в
России»
4.Конкурс рисунков на асфальте
«Детство – это я и ты».
5.Литературно музыкальный
конкурс «Песни о моѐм крае»
6.Подвижные игры на воздухе.
1.Минутка здоровья «Солнечный
ожог. Первая помощь при ожоге»
2. Практические занятия по ГО и
ЧС (воспитателями отрядов).
Минутка безопасности.
3.«Военными дорогами»соревнования велосипедистов на
территории школьного стадиона.
5. Игра «Спорт не для слабых»
1. Минутка здоровья «Как
поднять настроение». Минутка
безопасности. Минутка
безопасности.
2. Квест-игра "Семейка", посвященная
году семьи.
3. Первенство лагеря по шашкам.
4. Трудовой десант «Наведѐм порядок на
земле»
1.Минутка здоровья «Осанка –основа
красивой походки». Минутка
безопасности.
2. Увлекательное литературное
путешествие «В гостях у Пушкина».
3.Пушкинский день России.
Инсценировка сказок А.С. Пушкина
4.Культура семейных
отношений.
Место проведения
Спортивный зал
Фойе
Спортивный зал
Фойе
Спортивный зал
Фойе
Спортивный зал
Фойе
Спортивный зал
Фойе

7.

День Героев ( деревня и
район)
7.06.2024
«Достигай и побеждай»
Спорт
8.06.2024
«Умей дружить»
Дипломатия и
международные
отношения
10.06.2024
«День России»
11.06.2024
1.Минутка здоровья
«Правильное питание».
Минутка безопасности.
2. Герои России- урок мужества с
просмотром фильма
3. Акция «Мы, дети, против войны на
планете ! »
1.Минутка здоровья «гигиена
утренней зарядки». Минутка
безопасности.
2. Малая спартакиада под девизом: «Мы
за здоровый образ жизни»
Первенство лагеря по различным
видам спорта.
3. Конкурс рисунков «Дети против
наркотиков»
1.Минутка здоровья «гигиена
утренней зарядки». Минутка
безопасности.
2. Беседа «Нужна ли в школе
дипломатия?»
3.Тренинг «Дружба»
4. «Семейные ценности» приглашение
многодетных семей.
1.Минутка здоровья «Гигиена утренней
зарядки». Минутка безопасности.
2.Познавательный час «Да здравствует
российская наука».
3. Игра « Россия - Родина моя!»,
Спортивный зал
Фойе
Спортивный зал
Фойе
Спортивный зал
Фойе
Спортивный зал
Фойе
посвященная Дню России»
«Береги планету»
Экология и охрана
природы
«Умей дружить!»
13.06.2024
«Благо твори»
Волонтерство и
добровольчество»
14.06.2024
«Учись и
познавай»
Образование и
знания»
4.Русские народные игры.
1.Минутка здоровья «Зеленая аптечка»
первая помощь при укусах насекомых.
Минутка безопасности.
2.Экологический десант
3.Праздник необычных
цветов и цветочных костюмов.
( использование вторичного
сырья)
4. Спортивные игры на воздухе.
5.Подготовка к конкурсу «Мисс и
мистер лето-2024»
1.Минутка здоровья « Личная гигиена ».
Минутка безопасности.
2. Мастер-класс «Венок памяти»
3. Уборка около памятника.
4. Военно – спортивная эстафета «Марш
– бросок»
1. Минутка здоровья Доктор Здоровые
глаза. Минутка безопасности.
2.Знакомство с принципами создания
видеоигр и других цифровых продуктов.
Спортивный зал
Фойе
Спортивный зал
Фойе
Спортивный зал
Фойе

8.

15.06.2024
«День театра и музыки»
17.06.2024
Культура и искусство
«Создавай и
вдохновляй!»
18.06.2024
День РДДМ
19.06.2024
« Открывай страну»
Туризм и путешествия
20.06.2024
«Найди призвание» Труд,
профессия и свое дело»
21.06.2024
3.Конкурсная программа «Мы готовы
удивлять».
1.Минутка здоровья
«Осанка - основа красивой
походки». Минутка безопасности.
2. «До, ре, ми, фа, соль»конкурс инсценированной
песни «Я пою о России»
4.Подвижные игры на свежем
воздухе.
5.Конкурс рисунков « Слава солдатская,
сила богатырская».
Спортивный зал
Фойе
1.Минутка здоровья - «Зеленая
аптечка» -первая помощь при
повреждениях. Минутка безопасности.
2. Акция для родителей «Сердце в
подарок».
3. Конкурс творческих работ.
4.Спортивные игры на
воздухе.
5. Занятия по интересам.
1. Минутка здоровья «Как
поднять настроение». Минутка
безопасности.
2. От прошлого к настоящему,
от пионерии к РДДМ.
3. Акция «Мой гражданский
поступок».
4. Конкурсно- игровая
программа «Маленький рецепт
большого счастья»
3. Игра «Пионербол»
1. Минутка здоровья «Твой режим дня
на каникулах». Минутка безопасности.
2. Беседа «История туризма»
3. «Составление туристического
маршрута моей семьи»
4.Спортивно – ролевая игра
«Зарничка»
1.Минутка здоровья «Как
ухаживать за кожей лица, рук».
Минутка безопасности.
2.Беседа «Труд, профессия и свое
дело»
3. Круглый стол « С заботой о
будущем»
4.Конкурс рисунков «Профессия
будущего»
Спортивный зал
Фойе
Спортивный зал
Фойе
Спортивный зал
Фойе
Спортивный зал
Фойе

9.

«Служи Отечеству!»
Патриотизм и
историческая память»
Закрытие лагерной
смены
22.06.2024
5.Викторина «Клуб знатоков
профессий»
6.Беседа «Современная семья».
1. Минутка здоровья "Доктор ЗОЖ".
Минутка безопасности.
1.Беседа «Кто такой патриот».
2. Посещение виртуальной экскурсии в
музей Славы.
3. Акция «Для тебя, Россия»
4. Возложение цветов к памятнику.
Спортивный зал
Фойе
English     Русский Rules