СИМПЕКСНЫЙ МЕТОД РЕШЕНИЯ ЗАДАЧ ЛИНЕЙНОГО ПРОГРАММИРОВАНИЯ
СИМПЕКСНЫЙ МЕТОД РЕШЕНИЯ ЗАДАЧ ЛИНЕЙНОГО ПРОГРАММИРОВАНИЯ
СИМПЕКСНЫЙ МЕТОД РЕШЕНИЯ ЗАДАЧ ЛИНЕЙНОГО ПРОГРАММИРОВАНИЯ
СИМПЕКСНЫЙ МЕТОД РЕШЕНИЯ ЗАДАЧ ЛИНЕЙНОГО ПРОГРАММИРОВАНИЯ
СИМПЕКСНЫЙ МЕТОД РЕШЕНИЯ ЗАДАЧ ЛИНЕЙНОГО ПРОГРАММИРОВАНИЯ
СИМПЕКСНЫЙ МЕТОД РЕШЕНИЯ ЗАДАЧ ЛИНЕЙНОГО ПРОГРАММИРОВАНИЯ
СИМПЕКСНЫЙ МЕТОД РЕШЕНИЯ ЗАДАЧ ЛИНЕЙНОГО ПРОГРАММИРОВАНИЯ
Нахождение начального опорного решения и переход к новому опорному решению
Нахождение начального опорного решения и переход к новому опорному решению
Нахождение начального опорного решения и переход к новому опорному решению
Нахождение начального опорного решения и переход к новому опорному решению
Нахождение начального опорного решения и переход к новому опорному решению
Нахождение начального опорного решения и переход к новому опорному решению
Нахождение начального опорного решения и переход к новому опорному решению
Нахождение начального опорного решения и переход к новому опорному решению
Нахождение начального опорного решения и переход к новому опорному решению
Улучшение опорного решения
Улучшение опорного решения
Улучшение опорного решения ( Признаки - следствия)
Улучшение опорного решения ( Признаки - следствия)
Улучшение опорного решения ( Признаки - следствия)
Улучшение опорного решения ( Признаки - следствия)
Улучшение опорного решения ( Признаки - следствия)
Улучшение опорного решения ( Признаки - следствия)
Алгоритм симплекс-метода решения З.Л.П.
Пример
Решить З.Л.П. симплекс - методом
Пример
Решить З.Л.П. симплекс - методом
Алгоритм симплексного метода решения З.Л.П.
Симплекс-метод
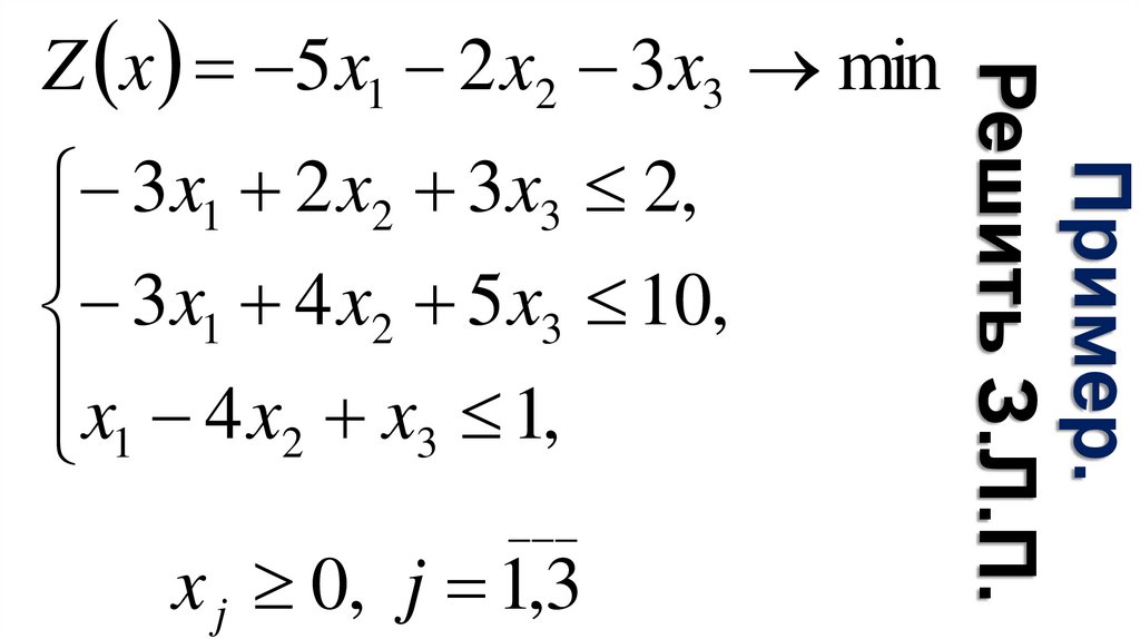
Пример. Решить З.Л.П.
Пример. Решить З.Л.П.
Пример. Решить З.Л.П.
Пример. Решить З.Л.П.
Решить З.Л.П.
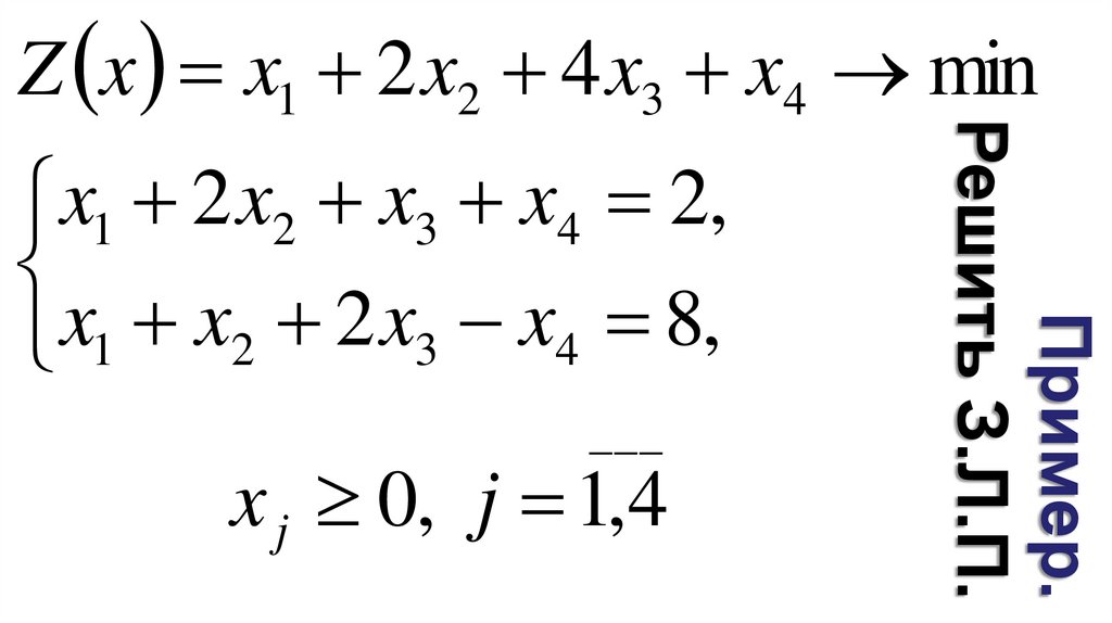
Пример. Решить З.Л.П.
Пример. Решить З.Л.П.
Пример. Решить З.Л.П.
1.73M

ЛЕКЦИЯ №10

1. СИМПЕКСНЫЙ МЕТОД РЕШЕНИЯ ЗАДАЧ ЛИНЕЙНОГО ПРОГРАММИРОВАНИЯ

Лекция 10

2. СИМПЕКСНЫЙ МЕТОД РЕШЕНИЯ ЗАДАЧ ЛИНЕЙНОГО ПРОГРАММИРОВАНИЯ

Симплекс-метод является методом
целенаправленного перебора опорных
решений задачи линейного
программирования.
Он позволяет за конечное число шагов
расчёта либо найти оптимальное
решение, либо установить, что
оптимальное решение отсутствует.

3. СИМПЕКСНЫЙ МЕТОД РЕШЕНИЯ ЗАДАЧ ЛИНЕЙНОГО ПРОГРАММИРОВАНИЯ

Порядок действий в симплексном методе заключается в следующем.
1. Указывается способ
нахождения
начального опорного
решения.

4. СИМПЕКСНЫЙ МЕТОД РЕШЕНИЯ ЗАДАЧ ЛИНЕЙНОГО ПРОГРАММИРОВАНИЯ

Порядок действий в симплексном методе заключается в следующем.
2. Указывается способ перехода от
одного опорного решения к другому,
на котором значение целевой
функции будет ближе к
оптимальному, т. е. указывается
способ улучшения опорного
решения.

5. СИМПЕКСНЫЙ МЕТОД РЕШЕНИЯ ЗАДАЧ ЛИНЕЙНОГО ПРОГРАММИРОВАНИЯ

Порядок действий в симплексном методе заключается в следующем.
3. Задается критерий
оптимальности опорного
решения, который позволит
своевременно прекратить перебор
опорных решений.

6. СИМПЕКСНЫЙ МЕТОД РЕШЕНИЯ ЗАДАЧ ЛИНЕЙНОГО ПРОГРАММИРОВАНИЯ

Порядок действий в симплексном методе заключается в следующем.
4. Задается условие,
позволяющее сделать
заключение об отсутствии
оптимального решения.

7. СИМПЕКСНЫЙ МЕТОД РЕШЕНИЯ ЗАДАЧ ЛИНЕЙНОГО ПРОГРАММИРОВАНИЯ

Название метод
получил от вида области
допустимых решений
задачи, для которой он
первоначально
применялся. Область
допустимых решений
этой задачи имела
простейший (simple) вид
(рис.).

8. Нахождение начального опорного решения и переход к новому опорному решению

Рассмотрим задачу линейного программирования в каноническом виде
English     Русский Rules