Стратегия церкви
102.29K

Стратегия церкви братское Презентация

1. Стратегия церкви

Стратегия – это план действий, которого вы
будете придерживаться в будущем для
достижения конечной цели. Включает в себя
видение, задачи и методы. Стратегии
помогают формулировать долгосрочные цели
и пути их достижения.

2.

Миссия (назначение) – основная, конечная цель
организации, смысл ее существования. «миссияфокус на ценности».
Отвечает на вопрос: «Для чего существует
церковь?»
Видение (цель, мечта) – это способность видеть
возможности в пределах текущих обстоятельств.
Это то, что вдохновляет нашу церковь на
выполнение Божией миссии.
Отвечает на вопрос: «Какими должны быть?»

3.

Задачи – это шаги, которые нужно сделать на
пути к цели.
Отвечает на вопрос: «Что должны делать?»
Метод – (от греч. «путь») способ
достижения поставленной задачи.
Отвечает на вопрос: «Как делать?»

4.

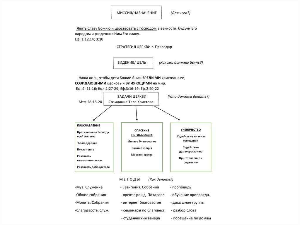
МИССИЯ/НАЗНАЧЕНИЕ
(Для чего?)
Явить славу Божию и царствовать с Господом в вечности, будучи Его
народом и разделяя с Ним Его славу.
Еф. 1:12,14; 3:10
СТРАТЕГИЯ ЦЕРКВИ г. Павлодар
ВИДЕНИЕ/ ЦЕЛЬ
(Какими должны быть?)
Наша цель, чтобы дети Божии были ЗРЕЛЫМИ христианами,
СОЗИДАЮЩИМИ церковь и ВЛИЯЮЩИМИ на мир.
Еф. 4: 11-16; Кол.1:27-29; Еф.3:16-19; Еф.2:20-22
Мтф.28;18-20
ЗАДАЧИ ЦЕРКВИ
Созидание Тела Христова
(Что должны делать?)
ПРОСЛАВЛЕНИЕ
Прославление Господа
всей жизнью
УЧЕНИЧЕСТВО
СПАСЕНИЕ
ПОГИБАЮЩИХ
Благодарение
Личное благовестие
Поклонение
Евангелизация
Развивать
взаимоотношения
Миссионерство
Содействие жизни в
освящении
Содействие
дух.возрастанию
Приготовление к
служению
Развивать добродетели
МЕТОДЫ
(Как делать?)
-Муз. Служение
- Евангелиз. Собрания
- проповедь
-Общие собрания
- прект с рожд. Поздравл.
- обучение проповедн.
-Молитв. Собрания
- интернет благовестие
- домашние группы
-благодарств. служ.
- семинары по благовест.
- разбор слова
- студенческие вечера
- посещение по домам

5.

МИССИЯ/НАЗНАЧЕНИЕ
(Для чего?)
Явить славу Божию и царствовать с Господом в вечности, будучи Его
народом и разделяя с Ним Его славу.
Еф. 1:12,14; 3:10

6.

ВИДЕНИЕ/ ЦЕЛЬ
(Какими должны быть?)
Наша цель, чтобы дети Божии были
ЗРЕЛЫМИ христианами, СОЗИДАЮЩИМ
церковь и ВЛИЯЮЩИМИ на мир.
Еф. 4: 11-16; -29; Еф.3:16-19; Еф.2:20-22

7.

Еф. 4: 11-16; Кол.1:27-29; Еф.3:16-19; Еф.2:20-22
Мтф.28;18-20
ЗАДАЧИ ЦЕРКВИ
Созидание Тела Христова
(Что должны делать?)
ПРОСЛАВЛЕНИЕ
Прославление Господа
всей жизнью
СПАСЕНИЕ
ПОГИБАЮЩИХ
Благодарение
Личное благовестие
Поклонение
Евангелизация
Развивать
взаимоотношения
Миссионерство
Развивать добродетели
УЧЕНИЧЕСТВО
Содействие жизни в
освящении
Содействие
дух.возрастанию
Приготовление к
служению

8.

МЕТОДЫ
(Как делать?)
-Муз. Служение
- Евангелиз. Собрания
- проповедь
-Общие собрания
- прект с рожд. Поздравл. - обучение проповедн.
-Молитв. Собрания
- интернет благовестие
- домашние группы
-благодарств. служ.
- семинары по благовест.
- разбор слова
- студенческие вечера
- посещение по домам

9.

Мтф.28;18-20
ЗАДАЧИ ЦЕРКВИ
Созидание Тела Христова
(Что должны делать?)
ПРОСЛАВЛЕНИЕ
Прославление Господа
всей жизнью
УЧЕНИЧЕСТВО
СПАСЕНИЕ
ПОГИБАЮЩИХ
Благодарение
Личное благовестие
Поклонение
Евангелизация
Развивать
взаимоотношения
Миссионерство
Содействие жизни в
освящении
Содействие
дух.возрастанию
Приготовление к
служению
Развивать добродетели
МЕТОДЫ
(Как делать?)
-Муз. Служение
- Евангелиз. Собрания
- проповедь
-Общие собрания
- прект с рожд. Поздравл.
- обучение проповедн.
-Молитв. Собрания
- интернет благовестие
- домашние группы
-благодарств. служ.
- семинары по благовест.
- разбор слова
- студенческие вечера
- посещение по домам
English     Русский Rules