«Вперед поедешь – голову сложишь, направо поедешь – коня потеряешь, налево поедешь – меча лишишься.»
Двумя способами решите задачу. Сколько существует трёхзначных чисел?
Правило умножения
Сколько существует пятизначных чисел, у которых: А) все цифры различные? Б) все цифры чётные? В) все цифры нечетные? Г) ровно
Сколько существует шестизначных чисел, не содержащих цифру «0», но содержащих хотя бы одну цифру «5»?
Имеются три города А, В и С. Из А в В ведут три дороги, а из В в С – пять дорог. Сколько различных способов попасть из города А
Квартет
Перестановкой из n  элементов называется каждое расположение этих элементов в определенном порядке. Обозначается от начальной
Перестановки
Перестановки с повторениями
В команде 11 опытных моряков. Сколько способов выбрать капитана, боцмана и штурмана?
Размещением из n элементов по k (k ≤ n) называется любое множество, состоящее из k элементов, взятых в определенном порядке из
Размещения
В команде 11 опытных моряков. Сколько способов выбрать троих для плавания на остров за пресной водой?
Сочетанием из n элементов по k (k ≤ n) называется любое множество, состоящее из k элементов, взятых из данных n элементов.
Задача Студентам дали список из 10 учебников,
Решение задачи: Ответ: число способов равно числу сочетаний из 10 по 3, т.е. 120 способов.
Сколько существует 10-тизначных чисел, в записи которых используются ровно 4 единицы и 6 троек?
Сколько существует 10-тизначных чисел, в записи которых используются ровно 5 единиц, 2 тройки и 5 пятёрки?
Робот может двигаться на 1 клетку вправо или 1 клетку вверх по прямоугольному полю размерами 4 на 6 клеток. Сколько различных
Особая примета комбинаторных задач - вопрос, который начинается словами «Сколькими способами…?»
Задача №1: В соревнованиях участвуют 12 команд. Сколько существует вариантов распределения призовых (I, II, III) мест?
1.92M

cb3500d38126438496226bc76ec2dfa4

1. «Вперед поедешь – голову сложишь, направо поедешь – коня потеряешь, налево поедешь – меча лишишься.»

2.

Комбинаторика
-это раздел математики, в
котором изучают, сколько
комбинаций, подчиненных тем
или иным условиям, можно
составить из данных объектов.

3. Двумя способами решите задачу. Сколько существует трёхзначных чисел?

4. Правило умножения

Если первый элемент можно
выбрать n1 способами, после
чего второй – n2 способами и
т.д., k элемент nk способами,
то число способов выбрать все
k элементов равно
n1 n2 n3 … nk

5. Сколько существует пятизначных чисел, у которых: А) все цифры различные? Б) все цифры чётные? В) все цифры нечетные? Г) ровно

одна цифра «5»?

6. Сколько существует шестизначных чисел, не содержащих цифру «0», но содержащих хотя бы одну цифру «5»?

7. Имеются три города А, В и С. Из А в В ведут три дороги, а из В в С – пять дорог. Сколько различных способов попасть из города А

в город С, если
прямого пути из А в С нет?
А
В
С

8. Квартет

Проказница Мартышка
Осёл,
Козёл,
Да косолапый Мишка
Затеяли играть квартет

Стой, братцы стой! –
Кричит Мартышка, - погодите!
Как музыке идти?
Ведь вы не так сидите…

Вот пуще прежнего пошли у них разборы
И споры,
Кому и как сидеть…
Сколькими способами можно
рассадить четырех музыкантов?

9.

Решение:
Здесь
n=4,
поэтому способов
«усесться чинно в
ряд» имеется
P = 4! = 1 ∙ 2 ∙ 3 ∙ 4 = 24

10. Перестановкой из n  элементов называется каждое расположение этих элементов в определенном порядке. Обозначается от начальной

Перестановкой из n элементов
называется каждое
расположение этих элементов в
определенном порядке.
P
Обозначается
n от начальной
буквы французского слова
“permutation”, что значит
“перестановка”, “перемещение”

11. Перестановки

Рn n n 1 n 2 ... 3 2 1
n-факториал - это произведение
всех натуральных чисел от 1 до
n, обозначают символом «n!»
n! 1 2 3 ... n 2 n 1 n
Pn n!

12.

Используя знак факториала,
можно, например, записать:
1! = 1,
2! = 1∙2 =2,
3! = 1 ∙ 2 ∙ 3 =6,
4! = 1 ∙ 2 ∙ 3∙ 4 =24,
5! = 1 ∙ 2 ∙ 3 ∙ 4 ∙ 5 = 120,
6! = 1 ∙ 2 ∙ 3 ∙ 4 ∙ 5 ∙ 6 = 720, …
Принято считать, что 0! = 1

13. Перестановки с повторениями

14. В команде 11 опытных моряков. Сколько способов выбрать капитана, боцмана и штурмана?

15. Размещением из n элементов по k (k ≤ n) называется любое множество, состоящее из k элементов, взятых в определенном порядке из

данных n элементов.
k
A
Обозначается
n от начальной
буквы французского слова
“arrangement”, что значит
“перестановка”, “перемещение”

16. Размещения

k
An n n 1 n 2 ... n k 1
n n 1 n 2 ... n k 1 n k !
A
n k !
k
n
1 2 3 ... n k n k 1 ... n 1 n
A
n k !
k
n
n!
An (n k )!
k

17. В команде 11 опытных моряков. Сколько способов выбрать троих для плавания на остров за пресной водой?

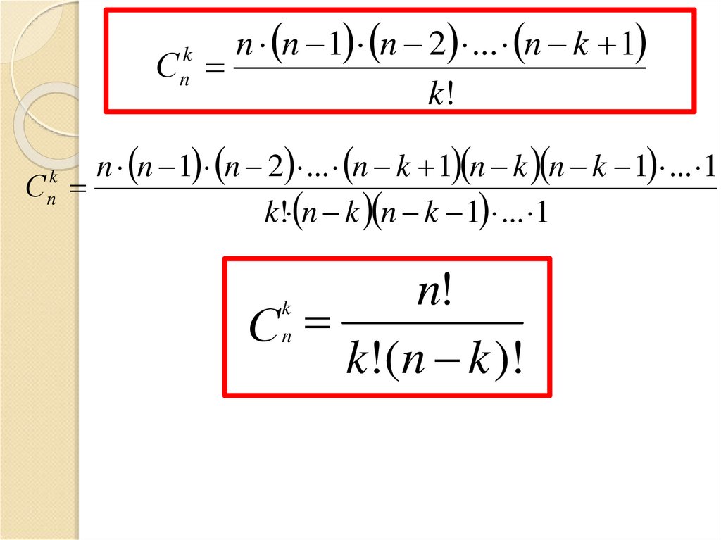
18. Сочетанием из n элементов по k (k ≤ n) называется любое множество, состоящее из k элементов, взятых из данных n элементов.

Обозначается С от начальной буквы
французского слова “combinasion”, что
значит “сочетание” .
k
n

19.

n n 1 n 2 ... n k 1
С
k!
k
n
n n 1 n 2 ... n k 1 n k n k 1 ... 1
С
k! n k n k 1 ... 1
k
n
n!
С
k!(n k )!
k
n

20. Задача Студентам дали список из 10 учебников,

которые рекомендуется использовать
для подготовки к экзамену .
Сколькими способами студент
может выбрать из них 3 книги?

21. Решение задачи: Ответ: число способов равно числу сочетаний из 10 по 3, т.е. 120 способов.

Решение задачи:
С
3
10
10!
7! 8 9 10 8 9 10
3! (10 3)!
3! 7!
3!
8 9 10
120
1 2 3
Ответ: число способов равно числу
сочетаний из 10 по 3,
т.е. 120 способов.

22. Сколько существует 10-тизначных чисел, в записи которых используются ровно 4 единицы и 6 троек?

Сколько существует 10тизначных чисел, в записи
которых используются
ровно 4 единицы и 6 троек?

23. Сколько существует 10-тизначных чисел, в записи которых используются ровно 5 единиц, 2 тройки и 5 пятёрки?

Сколько существует 10тизначных чисел, в записи
которых используются
ровно 5 единиц, 2 тройки и 5
пятёрки?

24. Робот может двигаться на 1 клетку вправо или 1 клетку вверх по прямоугольному полю размерами 4 на 6 клеток. Сколько различных

маршрутов
у робота пройти от С (старта) до
точки Ф (финиша)?

25. Особая примета комбинаторных задач - вопрос, который начинается словами «Сколькими способами…?»

Особая примета
комбинаторных задач вопрос,
который начинается словами
«Сколькими
способами…?»

26. Задача №1: В соревнованиях участвуют 12 команд. Сколько существует вариантов распределения призовых (I, II, III) мест?

27.

Задача №2: Студенты Женя,
Сергей, Коля, Наташа и Ольга
побежали на перемене к
теннисному столу, за которым
уже шла игра. Сколькими
способами подбежавшие
студенты могут занять очередь
для игры в настольный теннис?

28.

Задача № 3: В 9 классе учатся 7
учеников, в 10 – 9, а в 11 – 8
учеников. Для работы на
пришкольном участке надо
выделить двух учеников из 9 класса,
трех – из 10 класса и одного – из 11
класса. Сколько существует
способов выбора учеников для
работы на пришкольном участке?
English     Русский Rules