3.40M
Category: chemistrychemistry

Липиды: строение, свойства, биологическая роль. Обмен липидов тканях

1.

СЗГМУ им. И. И. МЕЧНИКОВА
КАФЕДРА КЛИНИЧЕСКОЙ ЛАБОРАТОРНОЙ ДИАГНОСТИКИ,
БИОЛОГИЧЕСКОЙ И ОБЩЕЙ ХИМИИ ИМ. В.В. СОКОЛОВСКОГО
БИОЛОГИЧЕСКАЯ ХИМИЯ-БИОХИМИЯ ПОЛОСТИ РТА
Раздел IX
ЛЕКЦИЯ
ЛИПИДЫ: СТРОЕНИЕ, СВОЙСТВА,
БИОЛОГИЧЕСКАЯ РОЛЬ. ОБМЕН ЛИПИДОВ ТКАНЯХ.
Доцент Антонова Ж.В.
2025/2026

2.

План лекции
1. Классификация, строение, свойства и биологическая роль липидов.
1.1. ТАГ: строение, свойства, роль;1.2. ГФЛ: строение, свойства, роль.
2. Жирные кислоты. Примеры важнейших жирных кислот.
3. Анаболизм жирных кислот. Биологическая роль.
4. Энергетическое использование липидов:
4.1. Липолиз жировой ткани. 4.2. Регуляция липолиза жировой ткани
5. Катаболизм жирных кислот. 5.1. Процесс β-окисления.
5.1.1. Активация ЖК. 5.1.2. Транспорт ВЖК в митохондрию
5.1.3. Реакции β-окисления насыщенных ВЖК с четным числом «С».
5.1.4. Энергетический выход β-окисления пальмитиновой кислоты.
5.1.5. β-Окисление ненасыщенных ЖК. 5.1.6. β-окисление ВЖК с нечетным числом «С».
5.1.6. Регуляция β-окисления
6. Пластическое использование липидов. 6.1.Синтез ВЖК (пальмитиновой)
6.1.1. Цитрат-малатный челночный механизм переноса ацетила из митохондрии в циплазму. 6.1.2. Первая
реакция синтеза ВЖК – образование малонила. 6.1.3. Строение синтазного комплекса. 6.1.4.Синтез ВЖК
на синтазном комплексе.
7.Синтез ТАГ и ГФЛ. 7.1. Синтез ТАГ и ФЛ в энтероцитах. 7.2. Глицеролфосфатный путь. 7.3. Синтез
фосфатидилсерина, фосфатидилхолина, фосфатидилэтаноламина. 7.4. Факторы, необходимые для синтеза
ГФЛ.
2/Ж.В.

3.

Условные обозначения.
БАВ – биологически активные вещества
ЖК – жирная кислота
ВЖК – высшая жирная кислота
МАГ – моноацилглицеролы
ДАГ- диацилглицеролы
ТАГ -триацилглицеролы
ГФЛ – глицерофосфолипиды
ЛП - липопротеины
ТАФ – тромбоцитактивирующий фактор
ХС – холестерол
ЭХС – эфиры холестерола
D3 - витамин холекальциферол
ЛПЛ - липопротеинлипаза
3/Ж.В.

4.

1.Классификация липидов
❖ Разнообразная по строению группа биоорганических веществ, с общим свойством растворимостью в неполярных растворителях. Липиды по способности к гидролизу
делятся на две большие группы: омыляемые (гидролизуются) и неомыляемые (не
гидролизуются).
❖ Простые при гидролизе дают спирт и ЖК, а сложные – спирт, ЖК и другие компоненты
Омыляемые липиды
Простые
Сложные
Воска
Ацилглицеролы
/глицеролипиды
(ТАГ, ДАГ, МАГ)
Фосфолипиды
Стериды
(ЭХС)
Глицеро
-фосфолипиды
Церамиды
(Сфингозин+ВЖК)
Гликолипиды
Сфингофосфоли
пиды/
сфингомиелины
Церебро
-зиды
Сфинголипиды
Ганглио
-зиды
4/Ж.В.

5.

Неомыляемые липиды (основные группы)
Стероиды
(производные стерана)
1. Стеролы/стерины (ХС и др.)
2. Стериды (ЭХС)
3. Секостероиды (Вит. D2, D3 )
4. Желчные кислоты
5. Стероидные гормоны
Пренольные липиды
(производные изопрена)
1. Вит. гр. А (α-, β-,γ-каротины)
2. Вит. гр. Е (α-, β-,γ-, δ-токоферолы)
3. Вит. гр. К (К1-филлохинон, К2-менахинон)
4. Убихиноны (КоQ 10)
5. Полипренолы (долихол)
5/Ж.В.

6.

1.1. ТРИАЦИЛГЛИЦЕРОЛЫ (ТАГ):
строение, свойства, роль.
Сложноэфирная связь
1-Олеоил-2-пальмитоил-3стеароилглицерол
❖ ТАГ – сложные эфиры трехатомного спирта
глицерола и жирных кислот.
❖ ТАГ - гидрофобные, неполярные липиды.
❖ Роль ацилглицеролов (МАГ, ДАГ, ТАГ в организме:
• ТАГ - основные липиды пищи (жиры – твердые ТАГ
и жидкие ТАГ - масла); ТАГ - основные липиды
жировой ткани (резервная роль). В состав мембран
не входят (гидрофобны)
• Механическая
• Терморегуляторная
• МАГ – амфифильные вещества (Промежуточные
вещества в обмене ацилглицеридов)
• ДАГ – вторичные мессенджеры (посредники)
6/Ж.В.

7.

1.2.Глицерофосфолипиды (ГФЛ): строение, свойства, роль.
❖ 1,2-диацилглицерол + остаток фосфорной к-ты + аминоспирт или Сер, инозитол.
❖ В 1-м положении – насыщенный ацил, во 2-м- ненасыщенный/полиненасыщенный.
+3
Фосфатидилинозитол
-
Фосфатидилсерин
-
+3
Фосфатидилхолин
Фосфатидилэтаноламин
7/Ж.В.

8.

❖ У плазмалогенов: в 1-м положении – высший алифатический спирт связан простой
эфирной связью
Простая эфирная связь
+
NН3
❖ Плазмалогены входят в
большом количестве в
мембраны митохондрий
и миелиновые оболочки
нервных клеток.
8/Ж.В.

9.

❖ У кардиолипинов (дифосфатидилглицеролов): глицерол этерифицирован в 1-м и 3-м
положениях 2-мя остатками фосфатидной кислоты.
Бициклическая структура КЛ
❖ Кардиолипины (КЛ) входят в большом
количестве во внутреннюю мембрану
митохондрий кардиомиоцитов человека и
животных, где они
• поддерживают кривизну крист
• способствуют сборке и взаимодействию
комплексов и суперкомплексов ЦПЭ [7].
❖ «Антикардиолипиновый синдром», или
синдром Хьюджа (1983 г., J.R.Hughes), или
«антифосфолипидный синдром» связан с
выработкой антител к КЛ и др. ГФЛ, что
приводит к
• венозным и артериальным тромбозам
• различным формам акушерской, костной,
печеночной, почечной и др. патологий.
9/Ж.В.

10.

1.2.Глицерофосфолипиды (ГФЛ): строение, свойства, роль.
❖ ГФЛ - Амфифильны
❖ Биологическая роль
1. Структурная (мембраны, ЛП,
мицеллы, липосомы)
2. Источники 2-х видов вторичных
посредников: ДАГ и ИФ3
3. Входят в состав сурфактанта
легких (1,2дипальмитоилфосфадидилхолин
-45%)
4. ТАФ (плазмалоген), выделяется
из фагоцитирующих клеток крови
в ответ на раздражение. Является
сигнальной молекулой.
Связывается с мембранными
рецепторами, активирует
агрегацию тромбоцитов, участвуя
в свертывании крови, вызывает
расширение сосудов.
Фосфолипидный бислой – основа
мембран клеток всех живых организмов
10/Ж.В.

11.

2. Жирные кислоты
• Жирными кислотами (ЖК) - называются карбоновые кислоты,
которые образуются при гидролизе омыляемых липидов.
• В основном к жирным кислотам относятся высшие карбоновые
кислоты (содержащие 12 и более атомов «С»).
• Высшие ЖК гидрофобные, они транспортируются в крови с
помощью альбуминов, а в клетках - с помощью Z-белков.
• Примеры важнейших жирных кислот представлены в табл. 1
11/Ж.В.

12.

Табл. 1. Важнейшие жирные кислоты

Жирная кислота
1 Лауриновая
2 Миристиновая
3 Пальмитиновая
4 Пальмитолеиновая
5 Стеариновая
6 Олеиновая
7 Линолевая
8 Линоленовая
9 Октадекатетраеновая
10 Арахиновая
11 Гадолеиновая
12 Эйкозатриеновая
Индекс ЖК
12:0
14:0
16:0
16:1
18:0
18:1
18:2
18:3
18:4
20:0
20:1
20:3
∆ ЖК
ω ЖК
∆9
ω9
∆9
∆9,12
∆9,12,15
∆5,8,11,14
ω9
ω6
ω3
ω3
∆9
∆8,11,14
ω9
ω6
12/Ж.В.

13.

Табл. 1. Важнейшие жирные кислоты (продолжение)
№ Жирная кислота
13 Арахидоновая
14 Эйкозапентаеновая
15 Бегеновая
16 Эруковая
17 Андреновая
18 Докозапентаеновая
19 Докозагексаеновая
20 Лигноцериновая
21 Невроновая
22 Цереброновая
Индекс ЖК
20:4
20:5
22:0
22:1
22:4
22:5
22:6
24:0
24:1
24:0
∆ ЖК
∆5,8,11,14
∆5,8,11,14,17
ω ЖК
ω6
ω3
∆13
∆9,12,15,18
∆4,7,10,13,16
∆4,7,10,13,16,19
ω9
ω6
ω6
ω3
∆15
ω9
α-гидрокси ЖК
13/Ж.В.

14.

Ненасыщенные жирные кислоты
❖ Цис-конфигурация
двойной связи
❖ Зигзагообразная
Линолевая кислота (С17H31COOH)
конформация
углеродной цепи
ЖК.
СН3
Олеиновая кислота (C18H34O2)
Арахидоновая кислота (C20H32O2)
Леноленовая кислота (C₁₈H₃₀O₂)
14/Ж.В.

15.

3. АНАБОЛИЗМ ЖИРНЫХ КИСЛОТ
❖ Источником ЖК в организме являются синтетические
процессы, омыляемые липиды и пища.
❖ ЖК, которые синтезируются в организме, называются
заменимыми. Значительная их часть образуется в печени, в,
меньшей степени — в жировой ткани и лактирующей
молочной железе.
❖ ЖК, которые не синтезируются в организме, но необходимы
для него называются незаменимыми. Единственным
источником незаменимых ЖК является пища. Они образуют
понятие витамин F (линолевая, линоленовая и арахидоновая).
15/Ж.В.

16.

3. Биологическая роль ЖК
1. Полиеновые ЖК (арахидоновая, эйкозапентаеновая,
эйкозатриеновая) используются для синтеза БАВ –
эйкозаноидов (простагландинов, простациклинов,
тромбоксанов, лейкотриенов, липоксинов).
2. ЖК окисляются в аэробных условиях с образованием
АТФ;
3. ЖК являются структурным компонентом омыляемых
липидов: восков, глицерофосфолипидов,
сфинголипидов, эфиров холестерола.
16/Ж.В.

17.

4. Энергетическое использование липидов
4.1 Липолиз жировой ткани (мобилизация жиров)
• Это ступенчатый гидролиз сложноэфирных связей ТАГ под действием
специфических тканевых липаз с образованием глицерола и ВЖК.
Протекает в постабсорбтивном периоде, при голодании и активной
физической работе.
• Лимитирующим ферментом липолиза является триацилглицероллипаза
(ТАГ-липаза). Она имеет две формы: фосфорилированную (активную)
и нефосфорилированную (неактивную).
• Фермент активируется по аденилатциклазной системе от адреналина,
норадреналина и глюкагона.
• За счет активации протеинфосфатазы от инсулина ТАГ- липаза
дефосфорилируется и инактивируется.
• Глюкокортикоиды индуцируют синтез ТАГ-липазы.
17/Ж.В.

18.

4.1.Реакции липолиза жировой ткани
СН2–О–СО–R1
СН2–ОН
ТАГ-липаза |
|
CН–О–СО–R2
|
CН–О–СО–R2
- R1–CООН
СН2–О–СО–R3
ТАГ
ДАГ-липаза
|
- R3–CООН
СН2–О–СО–R3
ДАГ
18/Ж.В.

19.

4.1.Реакции липолиза жировой ткани (продолжение)
CН2 – ОН
|
CН – О – СО – R2
|
CН2 – ОН
МАГ
МАГ-липаза
- R2 – CООН
CН2 – ОН
|
CН – ОН
|
CН2 – ОН
Глицерол
19/Ж.В.

20.

4.2.Регуляция липолиза жировой ткани
❖ Активируют липолиз:
• Глюкокортикоиды
• глюкагон
• СТГ, АКТГ
• тироксин
• липотропин гипофиза
• цАМФ
❖ Ингибирует липолиз:
• инсулин
20/Ж.В.

21.

5. Катаболизм ЖК
Ферментативный
• β-окисление (основной
путь).
• α-окисление
• ω-окисление ЖК,
• деградация ЖК в
пероксисомах
Неферментативный
Перекисное окисление липидов
(ПОЛ)
ПРИМЕЧ.: Хотя побочные пути (α-, ω-окисление ЖК,
деградация ЖК в пероксисомах) количественно менее важны,
их нарушение может приводить к тяжелым заболеваниям.
21/Ж.В.

22.

5.1. Процесс β-окисления
• В процессе β-окисления выделяют 3 этапа: активация ЖК в цитоплазме;
транспорт ЖК в составе из цитоплазмы в митохондрию; собственно
процесс окисления до ацетил-КоА и его поступление в ЦТК.
• ЖК с короткой и средней цепью (от 4 до 12 атомов С) могут проникать в
матрикс митохондрий путём диффузии. Активация этих ЖК происходит
ацил-КоА синтетазами в матриксе митохондрий.
• ЖК с длинной цепью, сначала активируются в цитозоле (ацил-КоА
синтетазами на внешней мембране митохондрий), а затем переносятся в
матрикс митохондрий специальной транспортной системой с помощью
карнитина.
•Карнитин* поступает с пищей или синтезируется
из лизина и метионина с участием витамина С.
* Карнитин открыли учёные-биохимики
Владимир Гулевич и Роберт Кримберг.
Они выделили его из мышечных тканей в нач. 20 века.
L-карнитин
22/Ж.В.

23.

5.1.1. Активация жирных кислот
Í S-Êî À
R COOH
ÀÒÔ
ÀÌ Ô + ÐÐi
àöèë-Êî Àñèí ò åò àçà
2 R
CO ~ SKoA
àöèë-Êî À
23

24.

5.1.2.Транспорт ЖК в митохондрию
+
N (ÑÍ 3)3
R CO ~ SKoA +
àöèë-Êî À
ÑÍ
ì àò ðèêñ
ì èò î õî í äðèè
OH
ÑÍ 2
àöèë-Êî À
àöèëêàðí èò èí ò ðàí ñô åðàçà
öèò î ï ëàçì àò è÷åñêàÿ
êàðí èòèí
Î
Î Ñ R
ÑÍ 2
COOH
+
Í S-Êî À
N (ÑÍ 3)3
ÑÍ 2
ÑÍ 2
ÑÍ
ÑÍ
àöèë-êàðí èòèí
+
N (ÑÍ 3 ) 3
R CO~ SKoA +
N (ÑÍ 3 )3
ÑÍ 2
ÑÍ 2
COOH
öèò î ï ëàçì à
Í S-Êî À
OH
ÑÍ 2
COOH
êàðí èòèí
àöèëêàðí èò èí ò ðàí ñô åðàçà
ì èò î õî í äðèàëüí àÿ
ÑÍ
Î
Î Ñ R
ÑÍ 2
COOH
àöèë-êàðí èòèí
24/Ж.В.

25.

5.1.2.Транспорт ВЖК в митохондрию
Цитоплазма
HS-KoA
O
R
C
OH
Æèðí àÿ êèñëî òà
O
R
ÀÒÔ
ÀÌ Ô+ÔÔí
àöè ë-Êî À-ñè í ò åò àçà
C
O
SKoA
Àöèë-SKoA
O
R
C
OH
Æèðí àÿ êèñëî òà
ÀÒÔ
ÀÌ Ô+ÔÔí
àöè ë-Êî À-ñè í ò åò àçà
C
Карнитин
Карнитинацилтрансфераза 2
O
R
«-» Малонил-КоА
Карнитинацилтрансфераза 1
Карнитин
HS-KoA
НS-КоА
O
SKoA
Àöèë-SKoA
β-окисление
НS-КоА
25/Ж.В.
Матрикс митохондрии

26.

5.1.3. Реакции β-окисление насыщенных ВЖК с четным числом «С»
β
α
R ÑÍ 2 ÑÍ 2 CO ~ SKoA
àöèë-Êî À
ÔÀÄ
äåãèäðî ãåí àçà
1-я реакция дегидрирования,
энергопоставляющая
ÔÀÄÍ 2
β
R ÑÍ
α
ÑÍ
ãèäðàò àçà
β
R ÑÍ
OH
2 АТФ
CO ~ SKoA
åí î èë-Êî À
Í 2Î
α
ÑÍ 2 CO ~ SKoA
β−ãèäðî êñèàöèë-Êî À
26/Ж.В.

27.

β
R CH
α
ÑÍ 2 CO ~ SKoA
OH
β−ãèäðî êñèàöèë-Êî À
2-я реакция дегидрирования,
энергопоставляющая
+
Í ÀÄ
äåãèäðî ãåí àçà
Í ÀÄÍ + Í +
β
R Ñ
α
ÑÍ 2 CO ~ SKoA
O
ò èî ëàçà
R CO ~ SKoA
àöèë-Êî À (nÑ-2)
3 АТФ
β−êåòî àöèë-Êî À
Í S-KoA
3-я реакция- энергопоставляющая
CH3 CO ~ SKoA
àöåòèë-Êî À
следующий цикл β-окисления
ЦТК
12 АТФ
27/Ж.В.

28.

ï àëüì èòèë-Êî À C=16
R
R
H2
C
O
H2
C C
H
C
O
C
5.1.3.Реакции β-окисления ВЖК (общая схема)
Àöèë-Êî À
C=16,14,12,10,8,6,4
ÔÀÄ
Àöè ë-Êî À ÄÃ
ÔÀÄÍ 2
7 ÔÀÄÍ 2
H
C
SKoA
SKoA
ÖÏ Ý
Åí î èë-Êî À
14 ÀÒÔ
Í 2Î
Åí î è ë-Êî À ãè äðàò àçà
ÎÍ
O
H2
C C
R CÍ
Í ÀÄ+
7 öè ê ë î â
Î êñèàöèë-Êî À
O
H2
C C
C
SKoA
7 Í ÀÄÍ 2
ÖÏ Ý
Êåòî àöèë-Êî À
21 ÀÒÔ
ÍSKoA
C=14,12,10,
8,6,4
Êåò î àöè ë-Êî À ò è î ëàçà
O
R
131 ÀÒÔ - 1 АТФ/активация
Î êñè àöè ë-Êî À ÄÃ
Í ÀÄÍ 2
Î
R
SKoA
C
O
SKoA
Àöèë-Êî À C = 2
H3C
C
SKoA
ÖÒÊ
ÖÏ Ý
8 Àöåòèë-Êî À
96 ÀÒÔ
28/Ж.В.

29.

5.1.4. Энергетический выход β-окисления пальмитиновой кислоты (С16)
энергетический выход = n/2 . 12 + (n/2 - 1) . 5
- 1, где
• n – количество С-атомов в жирной кислоте;
• n/2 – количество молекул ацетил-КоА, образованных в
процессе β-окисления;
• 12 – количество АТФ, синтезирующихся при окислении
ацетил-КоА в ЦТК;
• (n/2 – 1) – количество циклов β-окисления;
• 5 – количество молекул АТФ, образованных в каждом цикле за
счёт двух реакций дегидрирования;
• 1 – затрата 1 молекулы АТФ на активацию жирной кислоты
29/Ж.В.

30.

5.1.5.β - Окисление ненасыщенных жирных кислот
• Олеиновая кислота
С18;
• каждая двойная
связь –это минус 2
АТФ;
• сколько АТФ
образуется при
окислении олеиновой
кислоты?
Олеиновая кислота
∆3,4-Цис-∆2,3-Транс-еноил-КоАизомераза
…..
β-окисление
30/Ж.В.

31.

5.1.6. β-окисление насыщенной ЖК с нечетным сислом атомов С
❖ Последний цикл β-окисления сопровождается образованием не Ацетил-КоА, а
Пропионил-КоА с 3 атомами С.
COOH
H2C
CH3
ÀÒÔ ÀÄÔ+Ôí
CO
SKoA
Ïðîïèîíèë-ÊîÀ
CO2
áèîòèí
COOH
HC
CH3
COOH
CH2
H3C CH
CO
CO
SKoA
SKoA
H2C
Â12
ÖÒÊ
CO
SKoA
ÖÏÝ
D-Ìåòèëìàëîíèë-ÊîÀ
L-Ìåòèëìàëîíèë-ÊîÀ
Ñóêöèíèë-ÊîÀ
Ïðîïèîíèë-ÊîÀÌåòèëìàëîíèë-ÊîÀ
Ìåòèëìàëîíèë-ÊîÀ
êàðáîêñèëàçà
-ðàöåìàçà
-èçîìåðàçà
6 ÀÒÔ
Метилмалоновая кислота
Повреждение
ЦНС
31/Ж.В.

32.

5.1.6. Регуляция β-окисления ВЖК
❖ β-окисление активируют: глюкагон, адреналин, ЖК, НАД+, АДФ:
Голод, физическая нагрузка → ↑ глюкагон, ↑ адреналин → ↑липолиз ТАГ в
адипоцитах → ↑ ЖК в крови → ↑ β-окисление в аэробных условиях в
мышцах, печени → ↑АТФ;
↑АТФ, ↑НАДH+Н+
↑Ацетил-КоА → ↑ цитрат, ↑ЖК → ↓ гликолиз → ↑ экономию глюкозы для
нервной ткани, эритроцитов и т.д.
❖ β-окисление ингибируют: инсулин, НАДH+Н+ , АТФ.
Пища → ↑ инсулин → ↑ гликолиз → ↑ Ацетил-КоА → ↑ синтез малонил-КоА и
ЖК, ↑ малонил-КоА →↓ активность карнитинацилтрансферазы I в печени
→ ↓ транспорт ЖК в матрикс митохондрий → ↓ ЖК в матриксе → ↓ βокисление ЖК
32/Ж.В.

33.

6. Пластическое использование липидов.
ПФ
6.1. Общая схема синтеза ВЖК (пальмитата)
Ш
Гликолиз
Глюкоза
ПВК
НАДФН2
Ацетил-КоА/
Ацил-КоА
Ацетил-КоА
Малонил-КоА
Синтаза ЖК
(Пальмитатсинтазный
Комплекс)
Пальмитиновая
кислота
33/Ж.В.

34.

öè òî ï ë àçì à
ãëþ êî çà
ãë-6ô
ï àëüì èòàò
Í ÀÄÔ +
Í ÀÄÔ
ï àëüì è ò àò ñè í ò àçà èí ä. èí ñóëèí
+
Í ÀÄÔÍ 2
Ì àëî í èë-Êî À
Ï ÔØ
ô ð-6ô
ÀÄÔ+Ôí
Í ÀÄÔÍ 2
Àöåò è ë-Êî À êàðáî êñè ëàçà
ÑÎ 2
ÀÒÔ
Àöåòèë-Êî À HS-Êî À
Ï ÂÊ
èí ä. èí ñóëèí
öèòðàò, èí ñóëèí
Í ÀÄÔÍ 2 Í ÀÄÔ + Í ÀÄÍ + Í ÀÄÍ 2 ÀÄÔ+Ôí
ÑÎ 2
ÀÒÔ
ï àëüì èòî èë-Êî À,
àäðåí àëèí ,
ãëþ êàãî í
öèòðàò
ì àëàò
Ù ÓÊ
öè ò ðàò ëè àçà
ì àëàò ÄÃ
ì àëè ê-ô åðì åí ò
èí ä. èí ñóëèí
Ï ÂÊ
ò ðàí ñëî êàçà
малат
ì è òî õî í äðè ÿ
Ù ÓÊ + Àöåòèë-Êî À
öè ò ðàò ñè í ò àçà
ÖÒÊ
öèòðàò
6.1.1. Цитратмалатный
челночный
механизм
переноса
ацетила из
митохондрии в
циплазму
èçî öèòðàò
Í ÀÄÔ +
è çî öè ò ðàò ÄÃ
èí ä. èí ñóëèí
Í ÀÄÔÍ 2
à-ÊÃ
èçî öèòðàò
è çî öè ò ðàò ÄÃ
ÀÒÔ, Í ÀÄÍ 2
Ñóêöèí èë-Êî À
à-ÊÃ ÄÃ
ÀÒÔ, Í ÀÄÍ 2
à-ÊÃ
34/Ж.В.

35.

6.1.2.Первая реакция синтеза ВЖК –образование малонил-КоА
АТФ
Ацетил-КоА
СО2
АДФ + Фн
Биотин
Малонил-КоА
Ацетил-КоА карбоксилаза
2 стадии: 1. СО2 + биотин + АТФ → биотин-СООН + АДФ + Фн
2. ацетил-КоА + биотин-СООН → малонил-КоА + биотин
+ Цитрат (положительный аллостерический эффектор)
+ Инсулин (в печени: активация путем дефосфорилирования фермента и индукция его
синтеза; в жировой ткани –активация фермента путем дефосфорилирования)
- Пальмитоил-КоА (отрицательный аллостерический эффектор)
- Адреналин, глюкагон (инактивация фермента путем его фосфорилирования)
35/Ж.В.

36.

❖ Под действием инсулина в
печени происходит индукция
синтеза ферментов
пальмитатсинтазного комплекса
36/Ж.В.

37.

6.1.3.Синтаза жирных кислот
❖ Полиферментный комплекс, катализирующий синтез жирных кислот
(цитозоль).
• Комплекс представляет собой димер, состоящий из двух идентичных
мономеров (субъединиц) А и Б.
• Мономеры А и Б в синтазном комплексе располагаются по принципу
«голова к хвосту».
• Мономеры А и Б в синтазном комплексе не являются функциональными
единицами.
• Каждый из мономеров включает 7 ферментов (7 активных центров),
катализирующих биосинтез ВЖК, а также ацилпереносящий белок
(АПБ).
37/Ж.В.

38.

❖ Реакционно-способная НS-группа фосфопантетеина АПБ одного
мономера находится в непосредственной близости от НS-группы
цистеина 3-кетоацилсинтазы другого мономера.
❖ Поскольку для проявления синтазной активности необходимо участие
обеих HS-групп, то в состав функциональной единицы синтазного
комплекса входят фрагменты обоих мономеров (1 и 2).
❖ При этом половина одного мономера А взаимодействует с
«комплементарной» половиной другого мономера Б.
38/Ж.В.

39.

❖ Синтаза ЖК включает две функциональные единицы, поэтому
одновременно синтезируются две молекулы жирной кислоты.
❖ Весь комплекс функционирует только в виде димера (Рис.1).
Роль: объединение всех ферментов синтеза ЖК в единый
полиферментный комплекс обеспечивает высокую
эффективность его работы и устраняет конкуренцию других
метаболических процессов, в результате чего достигается
эффект компартментализации.
39/Ж.В.

40.

40/Ж.В.

41.

41/Ж.В.

42.

42/Ж.В.

43.

❖ Первый цикл синтеза ВЖК завершается образованием ацила, состоящего из
четырех углеродных атомов (бутирила).
❖ Далее трансацилазы переносят вновь образованный ацил от АПБ на HS-группу
цистеина 3-кетоацилсинтетазы, а новую молекулу малонил-КоА – на HSгруппу фосфопантетеина АПБ (реакция 1).
❖ Затем последовательно осуществляются реакции 2,3,4,5 и образуется следующий
ацил, который длиннее предыдущего на два углеродных атома.
❖ В результате семикратного повторения цикла от реакции 1 до реакции 5
образуется молекула пальмитоила (С=16), которая высвобождается из
синтазного комплекса седьмым ферментом – тиоэстеразой (деацилазой).
43/Ж.В.

44.

❖ Источники, генерирующие НАДФН+Н+ для синтеза ВЖК
• Пентозофосфатный цикл (ПФЦ)
• Изоцитратдегидрогеназа (цитозольная)
Малатдегидрогеназа («яблочный фермент»).
44/Ж.В.

45.

7.2. Глицерофосфатный путь синтеза ТГ и ФЛ
Основной путь синтеза липидов в организме + инсулин
CH2OH
O
H
H
OH
OH
гликолиз
H
Ñ
H
CH2OH
H
O
H
OH
Í ÀÄ+
Í ÀÄÍ 2
CH2OH
Ãëè öåðî ë-ô ÄÃ
CH2OPO3H2
OH
глюкоза
ÔÄÀ
цитоплазма
Печень, адипоцит, мышцы
Ñ
CH2OPO3H2
ãëèöåðî -ô См. следующий слайд
O
H2C
HC
H2C
O
O
O
Ñ
O
R1
Ñ
O
R2
Ñ
R3
ÒÃ
H2C
3 Í 2Î
ËÏ Ë
АДФ
OH
Глицеролкиназа
печень
O
3 R C OH + HC OH
Æèðí àÿ êèñëî òà
кровь
H2C
OH
ãëèöåðèí
(ХИЛОМИКРОНЫ,
ЛПОНП )
C
АТФ
ЛИПОЛИЗ
ЖИРОВ
HS-KoA цитоплазма
O
R
Активная форма
глицерола
OH
Печень, адипоцит O
OH
Æèðí àÿ êèñëî òà
R
ÀÒÔ
ÀÌ Ô+ÔÔí
àöè ë-Êî À-ñè í ò åò àçà
C
O
SKoA
Àöèë-SKoA
45Ж.В.

46.

O
CH2OH
R-CO-SKoA
митохондрии
H
Ñ
CH2O
HS-KoA
OH
H
CH2OPO3H2
ãëèöåðî -ô
ëèçî ô î ñô àòèä
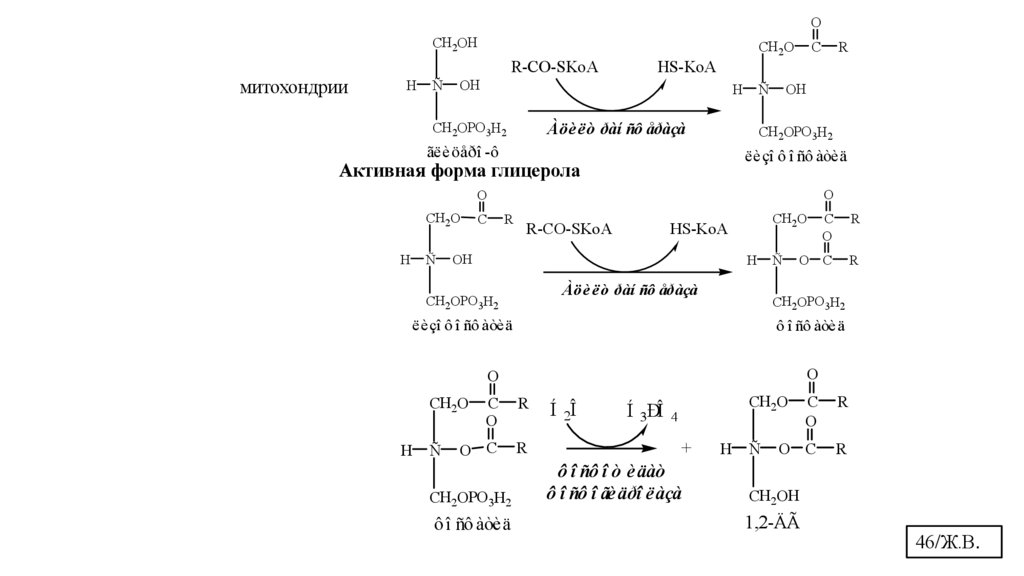
Активная форма глицерола
O
O
CH2O
H
Ñ
C
R
R-CO-SKoA
CH2O
HS-KoA
OH
H
Àöè ëò ðàí ñô åðàçà
CH2OPO3H2
Ñ
C
O
R
O C
R
CH2OPO3H2
ëèçî ô î ñô àòèä
ô î ñô àòèä
O
O
CH2O
H
Ñ
R
OH
Ñ
Àöè ëò ðàí ñô åðàçà
CH2OPO3H2
C
C
O
R
O C
R
CH2OPO3H2
ô î ñô àòèä
Í 2Î
CH2O
Í 3ÐÎ 4
+
ô î ñô î ò è äàò
ô î ñô î ãè äðî ëàçà
H
Ñ
C
O
R
O C
R
CH2OH
1,2-ÄÃ
46/Ж.В.

47.

O
CH2O
H
C
O
C
O
R
O C
R
R-CO-SKoA
Àöè ëò ðàí ñô åðàçà
1,2-ÄÃ
C
H2C
CH
O
C
H2 C
R2 C O CH
R1
O C
O
R
C
R
O
Холинтрансфераза
O
R
ÒÃ
ЦМФ
ЦМФ
C
O
CH2O
ЦДФ-холин
ЦДФэтаноламин
O
HS-KoA
H
CH2OH
R2 C O
CH2O
O
O
C
R1
O
H2C O P O CH2CH2N(CH 3)3
OH
O
H2C O P O CH2CH2NH2
OH
L –Фосфатидилэтаноламин
L –Фосфатидилхолин
(Лецитин)
47/Ж.В.

48.

7.3.
48/Ж.В.

49.

7.4. Факторы, необходимые для синтеза ГФЛ в организме
• Наличие незаменимых полиненасыщенных ВЖК.
• Наличие витаминов В12, В6, фолиевой кислоты, витаминоподобного
вещества инозитола.
• Наличие метионина, фосфосерина, фосфоэтаноламина, холина.
❖ Вещества, участвующие в синтезе ГФЛ, называются липотропными
факторами, поскольку они препятствуют жировой инфильтрации
печени.
49/Ж.В.

50.

8. Рекомендованная литература
Основная
1. Биохимия : учебник / под ред. Е.С. Северина. – М. : ГЭОТАР-Медиа, 2011. – С. 371–399.
2. Биохимия [Электронный ресурс] : учебник / под ред. Е.С. Северина. – 5-е изд., испр. и доп. – М. : ГЭОТАРМедиа, 2015. – http://www.studmedlib.ru / book / ISBN9785970433126.html (разд. 8, п. I–V; с. 371–399).
3. Биологическая химия. Биохимия полости рта : учебник / Т.П. Вавилова, А.Е. Медведев. – М. : ГЭОТАР-Медиа,
2014. – С. 279–307, 314–318.
4. Бологическая химия. Биохимия полости рта [Электронный ресурс]: учебник / Т.П. Вавилова, А.Е. Медведев. –
М. : ГЭОТАР-Медиа, 2014. – http://www.studmedlib.ru/book/ISBN9785970430392.html (ч. V, гл. 14; с. 279–307, 314–
318).
5. Обмен липидов. Биологические мембраны : учебно-методическое пособие к практическим и лабораторным
занятиям по биологической химии – биохимии полости рта для студентов стоматологических факультетов
медицинских вузов / под ред. Ж.В. Антоновой, Р.Н. Павловой, Л.Б. Гайковой. – СПб. : Изд-во СЗГМУ им.
И.И. Мечникова, 2020. – С. 32–42.
Дополнительная
6. Биологическая химия / Т.Т. Березов, Б.Ф. Коровкин. – М. : Медицина, 1998. – С. 363–381, 392–397.
7. Биологическое разнообразие кардиолипина и его ремоделирование при окислительном стрессе и возрастных
патологиях /Г.А. Шиловский, Т.С. Путятина, В.В. Ашапкин и др./ БИОХИМИЯ, 2019, том 84, вып. 12, с. 1815–1831
50/Ж.В.

51.

БЛАГОДАРЮ ЗА ВНИМАНИЕ!
Пройдите тестирование
51/Ж.В.
English     Русский Rules