ОСНОВНЫЕ ПОЛОЖЕНИЯ СОВРЕМЕННОЙ ГЕНЕТИКИ
Фундаментальными свойствами живой природы, отличающими ее от неживой материи, являются способность к размножению и
Наследственность, обеспечивающая преемственность между поколениями, заключается в том, что особи любого вида рождают только
При этом каждый вид характеризуется определенным уровнем изменчивости, и даже братья и сестры никогда не являются точными
Генетика – это наука о наследственности и изменчивости. Генетические исследования можно проводить на всех уровнях организации
Генетика популяций занимается изучением частот мутаций и генотипов в различных популяциях, а также факторов, влияющих на их
Предметом генетики развития является генетический контроль эмбриогенеза, начиная с проэмбриональных стадий созревания половых
Цитогенетика занимается изучением структуры и морфологии отдельных хромосом и их наборов в клетках, а также построением
Биохимическая генетика исследует связи между генами и органическими соединениями, присутствующими в живых организмах
Целью молекулярной генетики является исследование материальной природы генов и генома в целом, а также тех процессов, которые
Как любая другая биологическая наука генетика состоит из общих и частных разделов. В частных разделах генетики исследуются
Среди них ведущее положение занимает генетика человека, которая включает такие же разделы, как и общая генетика. Те ее
Те разделы медицинской генетики, которые используются в клинической практике или имеют потенциальное значение для такого
Среди них наиболее современным и перспективным направлением является молекулярная диагностика, основанная на анализе
Эта методология широко используется во многих областях медицины, в первую очередь, для диагностики наследственных заболеваний
Молекулярная диагностика позволяет осуществлять поиск генетических факторов риска, предрасполагающих к развитию наиболее частых
Индивидуальный анализ генетических профилей нормальных и опухолевых тканей позволяет не только составлять прогнозы в отношении
ДНК-диагностика любых биологических образцов является наиболее точным методом идентификации личности и используется в судебной
ДНК-диагностика различных бактерий, грибков и вирусов имеет ряд преимуществ и в совокупности с традиционными методами
В настоящее время фармакогенетика немыслима без использования молекулярной диагностики, которая позволяет разрабатывать
Одним из наиболее перспективных направлений современной фармакологии является поиск биомишеней для лекарственной терапии. В
В настоящее время во всем мире прогресс в области лечения не только наследственных и многофакторных, но даже некоторых
В дальнейшем мы подробно остановимся на каждом из этих направлений, но прежде всего мы вспомним основные положения клеточной
Структура клетки и клеточный цикл
Структурными и функциональными единицами всего живого являются клетки, причем согласно одному из основных положений клеточной
Клетки окружены полупроницаемой плазматической мембраной. Форму и упругость клетки обеспечивает ее каркас – цитоскелет. Внутри
Ядро управляет работой всей клетки. Энергию для клетки вырабатывают митохондрии, которые могут присутствовать в клетке в сотнях
Главными участниками этих реакций являются белки, каждый из которых имеет свою специализированную функцию. Химические реакции
Чрезвычайно важным типом более мелких органелл являются рибосомы, расположенные в цитоплазме или прикрепленные к
Имеются органеллы и для утилизации отходов биохимических реакций – лизосомы. В цитоплазме клетки присутствуют также вакуоли, в
Внешние сигналы поступают в клетку через трансмембранные белки. Некоторые из них передают сигналы в ядро по различным цепям
Другие поверхностные белки выполняют функции ионных каналов или участвуют в межклеточных контактах, обеспечивая возможность
Есть белки, которые связывают цитоскелет клетки с определенными внеклеточными элементами. Эти связи важны для фиксации
Различные ткани нашего организма состоят из дифференцированных типов клеток, выполняющих специализированные функции. Эти клетки
Выполняя свои функции и взаимодействуя друг с другом, клетки обеспечивают жизнедеятельность всего организма. Организм взрослого
В процессе жизни многоклеточного организма многие клетки постоянно погибают, и одновременно каждую секунду должны
Время жизни клетки от одного деления до другого называется клеточным циклом. Клетка, закончившая деление находится в стадии G0
Самой длительной стадией интерфазы является период относительного покоя клетки – G1, ее продолжительность может значительно
Примерно в середине стадии G1 имеется контрольная точка, при достижении которой клетка неизбежно вступает в деление. После G1
Далее следует подготовка к митозу – стадия G2 и сам митоз – стадия М. На М-фазу приходится примерно 10% времени деления
Длительность клеточных циклов в разных тканях человеческого организма различна. Эмбриональные клетки делятся каждый час, клетки
Разные клетки значительно различаются по времени их нахождения в периодах клеточного цикла. Так, стволовые клетки крови, кишки
Для других клеток имеется период дифференцировки с сохранением способности к делению. Такие клетки могут уходить из клеточного
Такое состояние клеток называют покоем. Покоящиеся клетки имеются среди клеток печени или эпителия кровеносных сосудов.
Некоторые популяции долгоживущих клеток (нейроны, кардиомиоциты, эритроциты и др.) могут уходить из клеточного цикла на
Законы Менделя
Основополагающие законы наследования были открыты во второй половине XIX века Грегором Менделем и описаны в его знаменитой
Анализируя результаты скрещивания различных сортов гороха, различающихся по форме или окраске семян и цветков Мендель высказал
Один из этих факторов, названный Менделем доминантным (А) способен подавлять проявление другого фактора – рецессивного (а).
В результате случайного оплодотворения образуются растения трех типов: АА, Аа и аа в соотношении 1:2:1
Поскольку рецессивный фактор не проявляется в присутствии доминантного, то в потомстве от скрещивания двух гибридных растений
Решетка Пеннета для моногибридного скрещивания
Почти через 40 лет В. Иогансен предложил назвать постулированные Менделем наследственные факторы генами
Варианты наследственных факторов или альтернативные состояния генов (А, а) носят названия аллелей Аллели влияют на характер
Если фенотипическая изменчивость не выходит за пределы нормы, то аллели называют нормальными. Аллели, частоты которых в
Аллели, приводящие к патологическому развитию признака, называют мутантными аллелями или мутациями
Совокупность аллелей гена(ов) одного индивидуума называется генотипом, а совокупность признаков организма – фенотипом
Генотип может быть гомозиготным при наличии двух одинаковых аллелей (АА или аа) или гетерозиготным, если аллели разные (Аа)
Сочетания нормальных и мутантных аллелей всех генов человека определяют его индивидуальную наследственную конституцию. Таким
Основным методом изучения наследования признаков у экспериментальных объектов является гибридологический анализ - система
Гибридологический анализ не применим к человеку. Генеалогический анализ или анализ родословных дает нам возможность судить о
Хромосомная теория наследственности
На рубеже XIX и XX веков были изучены основные этапы деления клетки. Время жизни клетки с момента ее образования до деления
Ключевая роль в митозе принадлежит хромосомам – ядерным структурам, которые в период деления клетки отчетливо видны при
В каждой хромосоме есть важный функциональный участок, который называется центромерой. Центромера разделяет хромосому на два
На синтетической стадии S клеточного цикла происходит удвоение каждой хромосомы с образованием двух сестринских хроматид,
Окрашивающимся веществом хромосом является хроматин. Различные участки хромосом имеют неоднородную окраску. Более светлые
В соматических клетках каждая хромосома представлена двумя копиями, то есть диплоидным набором В половых клетках набор хромосом
Прямые доказательства локализации генов в хромосомах были получены Т. Морганом (1910) в опытах на дрозофиле. Было показано, что
У человека 23 пары хромосом. У женщин обе хромосомы каждой пары гомологичны друг другу. У мужчин гомологичны только 22 пары
Оставшаяся пара у мужчин состоит из двух различных половых хромосом – X и Y, а у женщин – из двух гомологичных Х-хромосом.
Методы дифференциального окрашивания хромосом позволяют идентифицировать не только каждую хромосому, но и отдельные районы
Во всех клетках женского организма одна из Х-хромосом инактивирована. Это тельце Барра или половой гетерохроматин. Его
В процессе мейоза происходит обмен между участками гомологичных хромосом – кроссинговер или гомологичная рекомбинация. Поэтому
В начале ХХ века были получены прямые доказательства линейного расположения генов в хромосомах, причем мерой генетического
Два гена одной хромосомы расположены друг от друга на расстоянии 1сМ, если вероятность рекомбинации между ними в процессе
В результате развития хромосомной теории наследственности появилось представление о гене, как об участке хромосомы или
Однако материальная природа гена оставалась неизвестной. Что представляет из себя загадочное вещество наследственности?
Наследственная информация и пути ее передачи
Хромосомы всех исследованных видов состоят из молекул ДНК и белков, большая часть из которых– до 80% – относится к
В середине 40-х годов были получены доказательства того, что именно ДНК являются носителями генов или веществом
Определение пространственной организации ДНК явилось самым ярким открытием ХХ века. В 1953 г. Уотсон и Крик предложили модель,
В основании каждой из полимерных цепей лежат последовательности из одинаковых сахаров –дезоксирибозы – соединенных между собой
Каждый сахар, в свою очередь, соединен гликозидной связью с одним из четырех азотистых оснований: двух пуринов – аденина (A) и
Азотистое основание, сахар и остаток фосфорной кислоты вместе составляют нуклеотид. Таким образом, цепь ДНК представляет собой
Структура нуклеотида
Две цепи ДНК удерживаются вместе за счет водородных связей между нуклеотидами. Аденин связывается с тимином, а гуанин с
Длина ДНК измеряется в нуклеотидах или в парах оснований (п.о.), тысячах п. о. – килобазах (кб) и миллионов п. о. – мегабазах
Основная масса ДНК находится в ядрах клеток в составе хромосом в суперскрученном состоянии за счет взаимодействия с гистонами.
Таким образом, хромосомы – это форма упаковки ДНК в клетке. В процессе клеточного цикла длина хромосом меняется в 10 000 раз. В
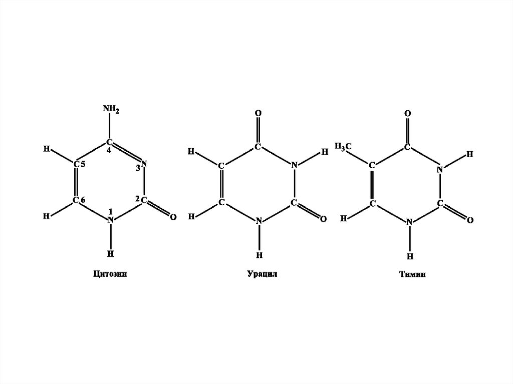
Плотная упаковка хромосомы обеспечивается за счет образования хроматина. На этой основе формируются три универсальных уровня
Четыре пары гистонов образуют нуклеосому – основную структурную единицу хроматина, которая связывает ДНК длиной в 147
Три фундаментальных свойства отличают ДНК от всех других биологических молекул. Это кодирующая способность, способность к
Кодирующая способность заключается в том, что в ДНК в виде последовательности нуклеотидов записана информация, определяющая
Репликация ДНК осуществляется с помощью фермента ДНК-полимеразы, способного вести комплементарный синтез ДНК по однонитевой
Наконец, варьирующий порядок нуклеотидов различных типов ДНК и их информационная ёмкость определяют как межвидовую, так и
Недаром ДНК называют энциклопедией жизни Именно эта молекула определяет фундаментальные свойства жизни — способность к
Гены — эти те участки молекулы ДНК, которые содержат информацию о структуре других биологических молекул, прежде всего,
Гены подобны бусинкам, которые на варьирующем и иногда значительном расстоянии друг от друга вкраплены в тончайшую нить ДНК
Подавляющее большинство генов человека имеют прерывистую структуру. Кодирующие участки генов — экзоны — перемежаются с
Открытие прерывистой структуры генов явилось самым неожиданным открытием ХХ века. Число и протяженность интронов прямо
Большинство генов человека кодируют белки, точнее полипептидные цепи - это белковые гены. Конечными продуктам около 25% генов
Расшифровка информации, закодированной в белковом гене, происходит в соответствии с центральной догмой молекулярной генетики: в
Первым шагом на пути перехода от гена к полипептидной цепи является транскрипция – синтез с помощью фермента РНК-полимеразы
Серия модификаций превращает преРНК в информационную или матричную РНК – мРНК. При этом происходят изменения на концах
Главной смысловой модификацией при процессинге мРНК является сплайсинг, то есть избирательное вырезание интронов и сшивка
Поскольку интроны, в среднем, значительно длиннее экзонов, молекулы мРНК могут быть в десятки раз короче молекул преРНК
Зрелая мРНК переходит в цитоплазму клетки и транслируется. Трансляция – это синтез полипептидной цепи по молекуле мРНК.
Структура тРНК
Любая тРНК способна транспортировать одну аминокислоту, а какую именно – определяется структурой очень важного функционального
Таким образом, разные типы тРНК в зависимости от структуры антикодона транспортируют разные аминокислоты
В месте контакта мРНК с рибосомой, располагается кодирующий триплет или кодон. Его положение является сигналом приближения к
Это комплементарное взаимодействие и определяет специфичность присоединяемой аминокислоты Рибосома продвигается по мРНК
Таким образом, происходит специфический отбор аминокислот и их сшивка на рибосоме с образованием полипептидной цепи. Окончание
Итак, мРНК – это последовательность нуклеотидов, полипептидная цепь – это последовательность аминокислот. По какому правилу
Это генетический код – соответствие последовательности из трех нуклеотидов в мРНК (кодона) определенной аминокислоте в
Триплетность и коллинеарность генетического кода
Свойства генетического кода
Генетический код триплетен и составлен из четырех нуклеотидов. Число возможных сочетаний из четырех нуклеотидов по три в кодоне
Это значит, что каждая аминокислота, за исключением метионина кодируется не одним, а несколькими вариантами триплетов –
Это значит, что каждая аминокислота, за исключением метионина кодируется не одним, а несколькими вариантами триплетов –
Универсальность генетического кода является бесспорным доказательством родственности всего живого на Земле
В результате развития молекулярной теории наследственности появилось представление о гене, как о транскрибируемом участке
В основе хранения и наследственной передачи генетической информации лежит матричный принцип
К матричным процессам наряду с транскрипцией и рекомбинацией относятся репликация, а также репарация – исправление ошибок,
Обратная генетика, генная инженерия
Открытие гена означает расшифровку аминокислотной последовательности кодируемого белка, что позволяет прогнозировать его
Подобная методология «от гена к белку» называется обратной генетикой. Этот процесс сопровождается изоляцией и клонированием
кДНК получается путем обратной транскрипции с использованием в качестве матрицы специфической мРНК гена
При использовании в качестве матрицы мРНК получают кДНК, состоящую только из экзонов, то есть представляющий собой кодирующую
Открытие гена означает не только получение «гена в пробирке», но идентификацию первичного биохимического дефекта и первичной
Клонирование это эффективный метод поддержания и размножения любых относительно небольших молекул ДНК путем их встраивания в
ДНК, составленные из фрагментов различного происхождения, называются рекомбинантными. Клонирование кДНК позволяет увеличивать
Клонирование лежит в основе генной инженерии и, в частности, геноинженерного производства лекарственных препаратов
В качестве клонирующих векторов используют модифицированные плазмиды, фаги, вирусы и другие генетические конструкции. Размеры
Большей клонирующей способностью обладают космиды, объединяющие в себе преимущества плазмид и фагов. Для клонирования ДНК,
Искусственные хромосомы дрожжей (YAC) содержат в сочетании с плазмидной ДНК элементы воспроизводства дрожжей в клетках-хозяина.
Методы генной инженерии in vivo позволяют конструировать модельные линии путем трансгеноза – искусственного введения чужеродной
Трансгенные линии животных являются идеальными экспериментальными системами для изучения функций отдельных генов и оценки их
Техника трансгеноза позволяет направленно разрушать гены («нокаут»-линии), вводить мутации в определенный ген, причем в одной
Подобные модельные линии мышей сконструированы для всех известных генов наследственных болезней человека
Таким образом, созданы методические предпосылки для изучения биохимических основ первичных патологических нарушений и
Генетические основы развития
В дифференцированных клетках одновременно экспрессируются не более 20% генов. Наборы этих генов в разных типах клеток различны,
Некоторые гены работают во всех клетках, обеспечивая энергетику, дыхание и другие жизненно важные процессы. Это – гены
Однако большинство генов – тканеспецифические. Они экспрессируются только в определенных тканях в определенный момент их
Биохимические и молекулярные процессы, участвующие в контроле развития хорошо изучены. Однако до сих пор нет ответа на вопрос,
Все клетки организма делятся на три группы – соматические, зародышевые и стволовые, найденные во многих тканях человека. В
Дифференцировка не сопровождается утратой генетического материала. Меняется лишь характер экспрессии генов. Дифференцированные
Доказана ведущая роль цитоплазмы в детерминации развития. В ооците экспрессируются все гены, и в ооплазме накапливаются
В этот период происходит формирование строго упорядоченной гетерогенности ооплазмы, так называемая ооплазматическая сегрегация,
Генетический контроль пространственной организации градиентов морфогенетически активных белков определяет сегментацию
В зрелых ооцитах транскрипция не обнаруживается. Она восстанавливается только на стадии зиготы, когда наблюдается прогрессивная
Дальнейшая дифференцировка и морфогенез осуществляется под контролем транскрипционных факторов – секреторных молекул, способных
Транскрипционные факторы образуют концентрационные градиенты, которые, в свою очередь, включают и выключают каскады других
Тело взрослого организма формируется как "лоскутное одеяло". В каждом лоскуте экспрессируется определенный набор генов
При этом ядра, а значит и ДНК, не утрачивают свойство тотипатентности и, будучи трансплантированы в безъядерную зиготу,
В 1997 г. появилось сенсационное сообщение о получении клонального животного – овечки Долли
В этих экспериментах, выполненных под руководством Яна Вильмута, донорские ядра из клеток молочной железы овцы
Схема опытов Яна Вильмута
В настоящее время работы в области репродуктивного клонирования человека, то есть получения нового организма из соматической
Более перспективным представляется терапевтическое клонирование, то есть выращивание из стволовых клеток специализированных
7.51M
Category: biologybiology

Основные положения современной генетики

1. ОСНОВНЫЕ ПОЛОЖЕНИЯ СОВРЕМЕННОЙ ГЕНЕТИКИ

профессор кафедры
медицинской генетики
В. Н. Горбунова

2. Фундаментальными свойствами живой природы, отличающими ее от неживой материи, являются способность к размножению и

наследственность

3. Наследственность, обеспечивающая преемственность между поколениями, заключается в том, что особи любого вида рождают только

себе подобных и их
потомки, в среднем, более
похожи на своих родственников,
чем на других представителей
того же вида

4. При этом каждый вид характеризуется определенным уровнем изменчивости, и даже братья и сестры никогда не являются точными

копиями друг друга и своих
родителей

5. Генетика – это наука о наследственности и изменчивости. Генетические исследования можно проводить на всех уровнях организации

жизни от
межвидового до
молекулярного

6. Генетика популяций занимается изучением частот мутаций и генотипов в различных популяциях, а также факторов, влияющих на их

динамику

7. Предметом генетики развития является генетический контроль эмбриогенеза, начиная с проэмбриональных стадий созревания половых

клеток до
завершения
дифференцировки различных
тканей и органов

8. Цитогенетика занимается изучением структуры и морфологии отдельных хромосом и их наборов в клетках, а также построением

цитогенетических карт
различных элементов генома

9. Биохимическая генетика исследует связи между генами и органическими соединениями, присутствующими в живых организмах

10. Целью молекулярной генетики является исследование материальной природы генов и генома в целом, а также тех процессов, которые

происходят с нуклеиновыми
кислотами в клетках

11. Как любая другая биологическая наука генетика состоит из общих и частных разделов. В частных разделах генетики исследуются

особенности
проявления общих
закономерностей у разных
видов организмов

12. Среди них ведущее положение занимает генетика человека, которая включает такие же разделы, как и общая генетика. Те ее

направления, которые
посвящены патологии человека,
являются предметом
медицинской генетики

13. Те разделы медицинской генетики, которые используются в клинической практике или имеют потенциальное значение для такого

использования
называются
клинической генетикой

14. Среди них наиболее современным и перспективным направлением является молекулярная диагностика, основанная на анализе

индивидуальных
особенностей нуклеиновых
кислот — ДНК и РНК

15. Эта методология широко используется во многих областях медицины, в первую очередь, для диагностики наследственных заболеваний

независимо от их клинических
проявлений и стадии развития
организма

16. Молекулярная диагностика позволяет осуществлять поиск генетических факторов риска, предрасполагающих к развитию наиболее частых

многофакторных заболеваний,
к числу которых относятся более
90% всех болезней человека

17. Индивидуальный анализ генетических профилей нормальных и опухолевых тканей позволяет не только составлять прогнозы в отношении

развития
различных онкологических
заболеваний, но и разрабатывать
оптимальную стратегию их
лечения

18. ДНК-диагностика любых биологических образцов является наиболее точным методом идентификации личности и используется в судебной

медицине не только для поиска
преступников, установления
отцовства, но опознания останков
погибших в результате войн,
террористических актов и т.п.

19. ДНК-диагностика различных бактерий, грибков и вирусов имеет ряд преимуществ и в совокупности с традиционными методами

значительно
повышает точность и скорость
диагностики инфекций
и мониторинга применяемой
терапии

20. В настоящее время фармакогенетика немыслима без использования молекулярной диагностики, которая позволяет разрабатывать

индивидуальные
схемы лечения в зависимости от
генотипа больного

21. Одним из наиболее перспективных направлений современной фармакологии является поиск биомишеней для лекарственной терапии. В

основе этого направления
также лежит индивидуальный
анализ ДНК

22. В настоящее время во всем мире прогресс в области лечения не только наследственных и многофакторных, но даже некоторых

инфекционных
заболеваний связывают с
разработкой методов генной
терапии, основанной на
манипуляциях с различными
молекулами ДНК

23. В дальнейшем мы подробно остановимся на каждом из этих направлений, но прежде всего мы вспомним основные положения клеточной

теории и
классической генетики

24. Структура клетки и клеточный цикл

25. Структурными и функциональными единицами всего живого являются клетки, причем согласно одному из основных положений клеточной

теории каждая новая клетка
может возникнуть только путем
деления предшествующей клетки

26. Клетки окружены полупроницаемой плазматической мембраной. Форму и упругость клетки обеспечивает ее каркас – цитоскелет. Внутри

клетки в цитоплазме
расположены органеллы,
важнейшей из которых у эукариот
является ядро

27. Ядро управляет работой всей клетки. Энергию для клетки вырабатывают митохондрии, которые могут присутствовать в клетке в сотнях

копий.
В клетке в определенном порядке
протекают тысячи биохимических
реакций, обеспечивающих ее
жизнедеятельность

28. Главными участниками этих реакций являются белки, каждый из которых имеет свою специализированную функцию. Химические реакции

внутри
клетки протекают на системе
двойных складчатых мембран –
эндоплазматической сети,
соединенной с ядерной и
плазматической мембраной

29. Чрезвычайно важным типом более мелких органелл являются рибосомы, расположенные в цитоплазме или прикрепленные к

эндоплазматической сети. На них
происходит «сборка» белков

30. Имеются органеллы и для утилизации отходов биохимических реакций – лизосомы. В цитоплазме клетки присутствуют также вакуоли, в

которых
запасаются питательные
вещества, чаще всего жиры

31. Внешние сигналы поступают в клетку через трансмембранные белки. Некоторые из них передают сигналы в ядро по различным цепям

внутриклеточных белков

32. Другие поверхностные белки выполняют функции ионных каналов или участвуют в межклеточных контактах, обеспечивая возможность

обмена информацией

33. Есть белки, которые связывают цитоскелет клетки с определенными внеклеточными элементами. Эти связи важны для фиксации

положения клетки и
возможности ее
пространственного
перемещения

34. Различные ткани нашего организма состоят из дифференцированных типов клеток, выполняющих специализированные функции. Эти клетки

отличаются друг от
друга как по внешнему виду, так
и по набору присутствующих в
них белков

35. Выполняя свои функции и взаимодействуя друг с другом, клетки обеспечивают жизнедеятельность всего организма. Организм взрослого

человека
включает в себя примерно
.
13
5 10 клеток

36. В процессе жизни многоклеточного организма многие клетки постоянно погибают, и одновременно каждую секунду должны

образовываться путем
деления миллионы новых
клеток

37. Время жизни клетки от одного деления до другого называется клеточным циклом. Клетка, закончившая деление находится в стадии G0

38. Самой длительной стадией интерфазы является период относительного покоя клетки – G1, ее продолжительность может значительно

варьировать

39. Примерно в середине стадии G1 имеется контрольная точка, при достижении которой клетка неизбежно вступает в деление. После G1

начинается важная
синтетическая стадия S

40. Далее следует подготовка к митозу – стадия G2 и сам митоз – стадия М. На М-фазу приходится примерно 10% времени деления

эукариотической
клетки

41. Длительность клеточных циклов в разных тканях человеческого организма различна. Эмбриональные клетки делятся каждый час, клетки

эпителия
кишки – один-два раза в сутки,
клетки печени – один раз в год, а
нервные клетки практически не
делятся

42. Разные клетки значительно различаются по времени их нахождения в периодах клеточного цикла. Так, стволовые клетки крови, кишки

или семенных
канальцев постоянно
продвигаются по клеточному
циклу

43. Для других клеток имеется период дифференцировки с сохранением способности к делению. Такие клетки могут уходить из клеточного

цикла на
неопределенно долгое время,
причем это время может длиться
годами

44. Такое состояние клеток называют покоем. Покоящиеся клетки имеются среди клеток печени или эпителия кровеносных сосудов.

Покоящиеся клетки устойчивы к
радиации, химическому
воздействию и недостатку
питательных веществ

45. Некоторые популяции долгоживущих клеток (нейроны, кардиомиоциты, эритроциты и др.) могут уходить из клеточного цикла на

терминальную
дифференцировку, теряя
способность к делению. Для
таких клеток характерна фаза
старения, а их клеточный цикл
завершается гибелью

46. Законы Менделя

47. Основополагающие законы наследования были открыты во второй половине XIX века Грегором Менделем и описаны в его знаменитой

работе «Опыты над
растительными гибридами»,
вышедшей в 1865 г

48. Анализируя результаты скрещивания различных сортов гороха, различающихся по форме или окраске семян и цветков Мендель высказал

гипотезу о существовании двух
дискретных наследственных
факторов, ответственных за
каждый из исследуемых
признаков

49. Один из этих факторов, названный Менделем доминантным (А) способен подавлять проявление другого фактора – рецессивного (а).

Только один из этих факторов с
равной вероятностью попадает
в гаметы

50. В результате случайного оплодотворения образуются растения трех типов: АА, Аа и аа в соотношении 1:2:1

51. Поскольку рецессивный фактор не проявляется в присутствии доминантного, то в потомстве от скрещивания двух гибридных растений

будут появляться растения,
как с доминантным, так и с
рецессивным признаком в
соотношении 3:1

52. Решетка Пеннета для моногибридного скрещивания

Гаметы
♀/♂
А
а
А
АА
Аа
а
Аа
аа

53. Почти через 40 лет В. Иогансен предложил назвать постулированные Менделем наследственные факторы генами

54. Варианты наследственных факторов или альтернативные состояния генов (А, а) носят названия аллелей Аллели влияют на характер

развития признаков,
что и служит основой для
фенотипической изменчивости

55. Если фенотипическая изменчивость не выходит за пределы нормы, то аллели называют нормальными. Аллели, частоты которых в

популяции превышают
определенный уровень,
называют полиморфными или
полиморфизмами

56. Аллели, приводящие к патологическому развитию признака, называют мутантными аллелями или мутациями

57. Совокупность аллелей гена(ов) одного индивидуума называется генотипом, а совокупность признаков организма – фенотипом

58. Генотип может быть гомозиготным при наличии двух одинаковых аллелей (АА или аа) или гетерозиготным, если аллели разные (Аа)

59. Сочетания нормальных и мутантных аллелей всех генов человека определяют его индивидуальную наследственную конституцию. Таким

образом, люди
отличаются между собой не по
наборам генов, а по их
состояниям, то есть по
наследственной конституции

60. Основным методом изучения наследования признаков у экспериментальных объектов является гибридологический анализ - система

скрещиваний,
позволяющая получать и
анализировать гибриды

61. Гибридологический анализ не применим к человеку. Генеалогический анализ или анализ родословных дает нам возможность судить о

том,
является признак
наследственным
и подчиняется ли он
законам Менделя

62. Хромосомная теория наследственности

63. На рубеже XIX и XX веков были изучены основные этапы деления клетки. Время жизни клетки с момента ее образования до деления

составляет клеточный цикл,
одной из важнейших стадий
которого является митоз или
собственно деление клетки

64. Ключевая роль в митозе принадлежит хромосомам – ядерным структурам, которые в период деления клетки отчетливо видны при

световой микроскопии и
использовании
специфических методов
окрашивания

65. В каждой хромосоме есть важный функциональный участок, который называется центромерой. Центромера разделяет хромосому на два

плеча: короткое (p) и длинное
(q). Конечные участки хромосом
– теломеры – обеспечивают их
структурную целостность

66. На синтетической стадии S клеточного цикла происходит удвоение каждой хромосомы с образованием двух сестринских хроматид,

соединенных между собой
одной центромерой

67.

68. Окрашивающимся веществом хромосом является хроматин. Различные участки хромосом имеют неоднородную окраску. Более светлые

районы хромосом
называются эухроматином, а
темные –
гетерохроматином

69. В соматических клетках каждая хромосома представлена двумя копиями, то есть диплоидным набором В половых клетках набор хромосом

одинарный или
гаплоидный
Это обеспечивается за счет
особой формы деления половых
клеток – мейоза

70.

71. Прямые доказательства локализации генов в хромосомах были получены Т. Морганом (1910) в опытах на дрозофиле. Было показано, что

гены
расположены в хромосомах
линейно

72. У человека 23 пары хромосом. У женщин обе хромосомы каждой пары гомологичны друг другу. У мужчин гомологичны только 22 пары

хромосом –
аутосомы

73. Оставшаяся пара у мужчин состоит из двух различных половых хромосом – X и Y, а у женщин – из двух гомологичных Х-хромосом.

Нормальный кариотип
женщины записывается как
(46, ХХ), в мужчины – (46, ХY)

74. Методы дифференциального окрашивания хромосом позволяют идентифицировать не только каждую хромосому, но и отдельные районы

хромосом,
последовательно
пронумерованные от
центромеры к теломере, а также
сегменты внутри районов

75.

76. Во всех клетках женского организма одна из Х-хромосом инактивирована. Это тельце Барра или половой гетерохроматин. Его

Во всех клетках женского
организма одна из Ххромосом инактивирована.
Это тельце Барра или
половой гетерохроматин.
Его идентификация является
самым простым способом
цитогенетической диагностики
пола

77. В процессе мейоза происходит обмен между участками гомологичных хромосом – кроссинговер или гомологичная рекомбинация. Поэтому

в каждом поколении
появляются хромосомы, которые
не являются точными копиями
родительских хромосом, а
составлены из их фрагментов

78.

79. В начале ХХ века были получены прямые доказательства линейного расположения генов в хромосомах, причем мерой генетического

расстояния служит
вероятность рекомбинации
между генами, измеряемая в
сантиморганах (сМ)

80. Два гена одной хромосомы расположены друг от друга на расстоянии 1сМ, если вероятность рекомбинации между ними в процессе

мейоза составляет 1%

81. В результате развития хромосомной теории наследственности появилось представление о гене, как об участке хромосомы или

хромосомном локусе, который
отвечает за один признак и
одновременно является
единицей рекомбинации и
мутации, ведущей к изменению
фенотипа

82. Однако материальная природа гена оставалась неизвестной. Что представляет из себя загадочное вещество наследственности?

83. Наследственная информация и пути ее передачи

84. Хромосомы всех исследованных видов состоят из молекул ДНК и белков, большая часть из которых– до 80% – относится к

специфическому классу
гистонов

85. В середине 40-х годов были получены доказательства того, что именно ДНК являются носителями генов или веществом

наследственности

86. Определение пространственной организации ДНК явилось самым ярким открытием ХХ века. В 1953 г. Уотсон и Крик предложили модель,

в
соответствии с которой ДНК
состоит из двух полимерных
цепей, образующих форму
двойной спирали

87.

88. В основании каждой из полимерных цепей лежат последовательности из одинаковых сахаров –дезоксирибозы – соединенных между собой

В основании каждой из
полимерных цепей лежат
последовательности из
одинаковых сахаров –
дезоксирибозы
– соединенных между собой
остатками фосфорной
кислоты или
фосфодиэфирной связью

89.

90. Каждый сахар, в свою очередь, соединен гликозидной связью с одним из четырех азотистых оснований: двух пуринов – аденина (A) и

гуанина (G), и
двух пиримидинов – цитозина
(C) и тимина (T)

91.

92.

93. Азотистое основание, сахар и остаток фосфорной кислоты вместе составляют нуклеотид. Таким образом, цепь ДНК представляет собой

последовательность
нуклеотидов

94. Структура нуклеотида

95. Две цепи ДНК удерживаются вместе за счет водородных связей между нуклеотидами. Аденин связывается с тимином, а гуанин с

цитозином.
Это правило –
A-T, G-C
называется
правилом комплементарности

96. Длина ДНК измеряется в нуклеотидах или в парах оснований (п.о.), тысячах п. о. – килобазах (кб) и миллионов п. о. – мегабазах

(мб).
У человека она составляет
3,2х109 п.о.

97. Основная масса ДНК находится в ядрах клеток в составе хромосом в суперскрученном состоянии за счет взаимодействия с гистонами.

Около 1% ДНК находится
в митохондриях

98.

99. Таким образом, хромосомы – это форма упаковки ДНК в клетке. В процессе клеточного цикла длина хромосом меняется в 10 000 раз. В

метафазе митоза
хромосомы максимально
спирализованы и
располагаются в плоскости
экватора клетки

100. Плотная упаковка хромосомы обеспечивается за счет образования хроматина. На этой основе формируются три универсальных уровня

пространственной
организации хроматина:
нуклеосомный, нуклеомерный
и хромомерный

101. Четыре пары гистонов образуют нуклеосому – основную структурную единицу хроматина, которая связывает ДНК длиной в 147

нуклеотидов.
Затем нуклеосомы организуются
в нуклеомеры и хромомеры,
составляющие хроматиновые
волокна

102.

103. Три фундаментальных свойства отличают ДНК от всех других биологических молекул. Это кодирующая способность, способность к

самовоспроизводству
(репликация) и изменчивость

104. Кодирующая способность заключается в том, что в ДНК в виде последовательности нуклеотидов записана информация, определяющая

разнообразие всех форм жизни.
ДНК обеспечивает хранение этой
информации, ее расшифровку и
передачу в ряду поколений

105. Репликация ДНК осуществляется с помощью фермента ДНК-полимеразы, способного вести комплементарный синтез ДНК по однонитевой

матрице

106.

107. Наконец, варьирующий порядок нуклеотидов различных типов ДНК и их информационная ёмкость определяют как межвидовую, так и

внутривидовую
фенотипическую
изменчивость

108. Недаром ДНК называют энциклопедией жизни Именно эта молекула определяет фундаментальные свойства жизни — способность к

размножению, наследственность
и изменчивость

109. Гены — эти те участки молекулы ДНК, которые содержат информацию о структуре других биологических молекул, прежде всего,

различных
классов рибонуклеиновых
кислот (РНК) и белков.

110. Гены подобны бусинкам, которые на варьирующем и иногда значительном расстоянии друг от друга вкраплены в тончайшую нить ДНК

111. Подавляющее большинство генов человека имеют прерывистую структуру. Кодирующие участки генов — экзоны — перемежаются с

некодирующими участками интронами

112. Открытие прерывистой структуры генов явилось самым неожиданным открытием ХХ века. Число и протяженность интронов прямо

коррелирует
со сложностью организации
генов

113. Большинство генов человека кодируют белки, точнее полипептидные цепи - это белковые гены. Конечными продуктам около 25% генов

являются молекулы РНК
- это РНКовые гены

114. Расшифровка информации, закодированной в белковом гене, происходит в соответствии с центральной догмой молекулярной генетики: в

клетке происходит
направленный перенос
генетической информации:
ДНК – РНК – белок

115.

116. Первым шагом на пути перехода от гена к полипептидной цепи является транскрипция – синтез с помощью фермента РНК-полимеразы

молекул
преРНК, комплементарных
генам

117. Серия модификаций превращает преРНК в информационную или матричную РНК – мРНК. При этом происходят изменения на концах

молекулы, обеспечивающие
стабилизацию мРНК

118. Главной смысловой модификацией при процессинге мРНК является сплайсинг, то есть избирательное вырезание интронов и сшивка

экзонов с образованием мРНК

119.

120. Поскольку интроны, в среднем, значительно длиннее экзонов, молекулы мРНК могут быть в десятки раз короче молекул преРНК

121. Зрелая мРНК переходит в цитоплазму клетки и транслируется. Трансляция – это синтез полипептидной цепи по молекуле мРНК.

Трансляция
происходит на рибосомах с
помощью транспортных
РНК (тРНК)

122. Структура тРНК

123. Любая тРНК способна транспортировать одну аминокислоту, а какую именно – определяется структурой очень важного функционального

участка
тРНК – антикодона

124. Таким образом, разные типы тРНК в зависимости от структуры антикодона транспортируют разные аминокислоты

125.

126. В месте контакта мРНК с рибосомой, располагается кодирующий триплет или кодон. Его положение является сигналом приближения к

комплексу мРНК-рибосома
той тРНК, у которой антикодон
комплементарен кодону

127. Это комплементарное взаимодействие и определяет специфичность присоединяемой аминокислоты Рибосома продвигается по мРНК

постепенно –
«шажками», продвигая мРНК
сквозь себя ровно на один

128. Таким образом, происходит специфический отбор аминокислот и их сшивка на рибосоме с образованием полипептидной цепи. Окончание

синтеза
кодируется любым из трех
стоп- или нонсенс-кодонов

129. Итак, мРНК – это последовательность нуклеотидов, полипептидная цепь – это последовательность аминокислот. По какому правилу

происходит
этот переход? Как называется
этот центральный закон жизни?

130. Это генетический код – соответствие последовательности из трех нуклеотидов в мРНК (кодона) определенной аминокислоте в

полипептидной цепи, а
значит и в белке

131. Триплетность и коллинеарность генетического кода

132. Свойства генетического кода

• Триплетность – три нуклеотида соответствуют
одной аминокислоте
• Линейность – определяется линейным
расположением кодонов в мРНК
• Неперекрываемость – каждый нуклеотид входит в
состав своего кодона
• Вырожденность – способность кодировать одну
аминокислоту несколькими вариантами триплетов
• Универсальность - генетический код одинаков для
всего живого на Земле

133. Генетический код триплетен и составлен из четырех нуклеотидов. Число возможных сочетаний из четырех нуклеотидов по три в кодоне

равно 64. Из них 3
соответствуют нонсенс-кодонам.
Остальные варианты триплетов
(61) кодируют 20 аминокислот

134. Это значит, что каждая аминокислота, за исключением метионина кодируется не одним, а несколькими вариантами триплетов –

вырожденность
генетического кода

135. Это значит, что каждая аминокислота, за исключением метионина кодируется не одним, а несколькими вариантами триплетов –

вырожденность
генетического кода

136. Универсальность генетического кода является бесспорным доказательством родственности всего живого на Земле

137. В результате развития молекулярной теории наследственности появилось представление о гене, как о транскрибируемом участке

молекулы ДНК.
Аллели являются вариантами
нуклеотидной
последовательности гена

138. В основе хранения и наследственной передачи генетической информации лежит матричный принцип

139. К матричным процессам наряду с транскрипцией и рекомбинацией относятся репликация, а также репарация – исправление ошибок,

возникающих при
репликации ДНК

140. Обратная генетика, генная инженерия

141. Открытие гена означает расшифровку аминокислотной последовательности кодируемого белка, что позволяет прогнозировать его

структуру и функции, а также
проводить иммунологический
и биохимический анализ

142. Подобная методология «от гена к белку» называется обратной генетикой. Этот процесс сопровождается изоляцией и клонированием

кодирующей области гена или
«гена в пробирке», то есть
комплементарной ДНК
(кДНК)

143. кДНК получается путем обратной транскрипции с использованием в качестве матрицы специфической мРНК гена

144. При использовании в качестве матрицы мРНК получают кДНК, состоящую только из экзонов, то есть представляющий собой кодирующую

часть гена

145.

146. Открытие гена означает не только получение «гена в пробирке», но идентификацию первичного биохимического дефекта и первичной

патологической метаболической
цепи, а затем создание на этой
базе предпосылок для
разработки патогенетических
методов лечения

147. Клонирование это эффективный метод поддержания и размножения любых относительно небольших молекул ДНК путем их встраивания в

вектор и введения этой
конструкции в бактериальные
или другие клетки
(клетки-хозяина)

148. ДНК, составленные из фрагментов различного происхождения, называются рекомбинантными. Клонирование кДНК позволяет увеличивать

число
копий гена путем
размножения клеток-хозяина

149. Клонирование лежит в основе генной инженерии и, в частности, геноинженерного производства лекарственных препаратов

150.

151. В качестве клонирующих векторов используют модифицированные плазмиды, фаги, вирусы и другие генетические конструкции. Размеры

клонированных ДНК
обычно составляют от
нескольких сотен до тысяч
нуклеотидов

152. Большей клонирующей способностью обладают космиды, объединяющие в себе преимущества плазмид и фагов. Для клонирования ДНК,

содержащих целые гены,
разработаны системы
бактериальных и дрожжевых
минихромосом

153. Искусственные хромосомы дрожжей (YAC) содержат в сочетании с плазмидной ДНК элементы воспроизводства дрожжей в клетках-хозяина.

YAC-вектора способны
удерживать фрагменты ДНК
размером в сотни тысяч и
даже миллионы п.о.

154. Методы генной инженерии in vivo позволяют конструировать модельные линии путем трансгеноза – искусственного введения чужеродной

ДНК в
оплодотворенную яйцеклетку
или ранние зародыши
экспериментальных объектов

155.

156. Трансгенные линии животных являются идеальными экспериментальными системами для изучения функций отдельных генов и оценки их

биологического
действия на организм

157. Техника трансгеноза позволяет направленно разрушать гены («нокаут»-линии), вводить мутации в определенный ген, причем в одной

или нескольких тканях
и даже в определенный
момент дифференцировки

158.

159. Подобные модельные линии мышей сконструированы для всех известных генов наследственных болезней человека

160. Таким образом, созданы методические предпосылки для изучения биохимических основ первичных патологических нарушений и

разработки адекватных
методов их метаболической
коррекции не только в
системе in vitro,
но и in vivo

161. Генетические основы развития

162. В дифференцированных клетках одновременно экспрессируются не более 20% генов. Наборы этих генов в разных типах клеток различны,

что и
определяет их специфику

163. Некоторые гены работают во всех клетках, обеспечивая энергетику, дыхание и другие жизненно важные процессы. Это – гены

«домашнего
хозяйства»

164. Однако большинство генов – тканеспецифические. Они экспрессируются только в определенных тканях в определенный момент их

онтогенеза

165. Биохимические и молекулярные процессы, участвующие в контроле развития хорошо изучены. Однако до сих пор нет ответа на вопрос,

как из одной
оплодотворенной яйцеклетки
образуется более 200
гистологических типов клеток,
составляющих наш организм

166.

167. Все клетки организма делятся на три группы – соматические, зародышевые и стволовые, найденные во многих тканях человека. В

зависимости от внешних
сигналов стволовые клетки
могут дифференцироваться в
различные специализированные
типы клеток

168.

169. Дифференцировка не сопровождается утратой генетического материала. Меняется лишь характер экспрессии генов. Дифференцированные

клетки
теряют тотипатентность, то
есть способность давать начало
любым другим типам клеток

170. Доказана ведущая роль цитоплазмы в детерминации развития. В ооците экспрессируются все гены, и в ооплазме накапливаются

материнские
белки и мРНК, которые и
управляют первыми этапами
дробления зародыша –
материнский эффект ооплазмы

171. В этот период происходит формирование строго упорядоченной гетерогенности ооплазмы, так называемая ооплазматическая сегрегация,

в ходе которой закладывается
план строения будущего
организма.

172. Генетический контроль пространственной организации градиентов морфогенетически активных белков определяет сегментацию

организма, и он
универсален в животном мире

173. В зрелых ооцитах транскрипция не обнаруживается. Она восстанавливается только на стадии зиготы, когда наблюдается прогрессивная

активация или
репрограммирование
эмбрионального генома

174. Дальнейшая дифференцировка и морфогенез осуществляется под контролем транскрипционных факторов – секреторных молекул, способных

взаимодействовать с
регуляторными участками других
генов, так называемой
«генной» сети

175. Транскрипционные факторы образуют концентрационные градиенты, которые, в свою очередь, включают и выключают каскады других

генов. Затем этот
процесс повторяется в более
узких масштабах. В результате в
каждом сегменте тела
складывается своя характерная
комбинация активных генов

176. Тело взрослого организма формируется как "лоскутное одеяло". В каждом лоскуте экспрессируется определенный набор генов

Тело взрослого организма
формируется как
"лоскутное одеяло".
В каждом лоскуте
экспрессируется
определенный набор генов

177. При этом ядра, а значит и ДНК, не утрачивают свойство тотипатентности и, будучи трансплантированы в безъядерную зиготу,

способны инициировать
развитие, что убедительно
показано в опытах по
клонированию животных

178. В 1997 г. появилось сенсационное сообщение о получении клонального животного – овечки Долли

179. В этих экспериментах, выполненных под руководством Яна Вильмута, донорские ядра из клеток молочной железы овцы

трансплантировали в ее же
ооциты.
Из 277 ооцитов, подвергшихся
трансплантации, родилась
только одна Долли

180. Схема опытов Яна Вильмута

181. В настоящее время работы в области репродуктивного клонирования человека, то есть получения нового организма из соматической

клетки реципиента,
считаются недопустимыми. Это
связано с большим количеством
этических и правовых проблем

182. Более перспективным представляется терапевтическое клонирование, то есть выращивание из стволовых клеток специализированных

тканей. При этом может быть
снята одна из самых серьёзных
проблем трансплантологии–
отторжение пересаженных
тканей
English     Русский Rules