Введение в фармакологию
Базисная фармакология
Клиническая фармакология
СОСТАВНЫЕ ЧАСТИ БАЗИСНОЙ ФАРМАКОЛОГИИ:
Основы фармакокинетики лекарственных средств
Перенос ЛС в организме (механизмы транспорта)
Водная диффузия, фильтрация (детерминанты переноса)
Структура барьеров лимитирующий фактор – поры, их размеры и количество
ВЫВОДЫ:
Диффузия в липидах
ВЫВОДЫ:
Степень ионизации (классификация ЛС)
Движение через мембраны веществ с переменной ионизацией в биосредах
Например:
рКа лекарственных веществ
Энтеральный путь введения
Парентеральный способ введения
Лекарственные формы и скорость абсорбции
Распределение ЛС в организме
Факторы, влияющие на Vd
Элиминация ЛС
Основные показатели элиминации (продолжение)
Клиническое значение t½
Почечный клиренс (продолжение)
Роль метаболических процессов
Печеночный клиренс (продолжение)
Основные сценарии элиминации ЛС (итог):
Выводы:
Режим дозирования ЛС – доза вещества, вводимая за интервал времени
Период полувыведения и дозирование ЛС
1.62M
Category: medicinemedicine

Введение в фармакологию. Основы фармакокинетики лекарственных средств

1. Введение в фармакологию

ОБЩАЯ ФАРМАКОЛОГИЯ
Основы
фармакокинетики
лекарственных средств

2.

Фармакология (pharmacon - лекарство;
logos – учение) –
наука о лекарствах.
Фармакология это наука о
взаимодействии химических
соединений с живыми организмами и о
путях изыскания новых лекарственных
средств.

3.

СОСТАВНЫЕ ЧАСТИ ФАРМАКОЛОГИИ
ФАРМАКОЛОГИЯ
КЛИНИЧЕСКАЯ
ФАРМАКОЛОГИЯ
БАЗИСНАЯ
ФАРМАКОЛОГИЯ
Рецептура
Общая
фармакология
Частная
фармакология

4. Базисная фармакология

дисциплина, изучающая
фармакологические эффекты и
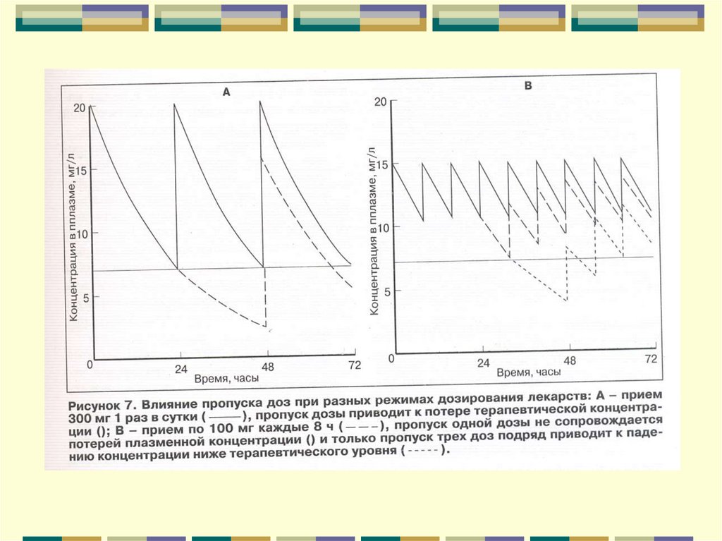
молекулярный механизм действия
лекарственных средств,
систематизирующая информацию о
фармакологических группах и
лекарственных препаратах в рамках
каждой группы.

5. Клиническая фармакология

дисциплина, занимающаяся
изучением взаимодействия
лекарственных веществ с организмом
человека, животных
преимущественно в условиях
патологии
Рациональная фармакотерапия
Стандарты лечения
Фармакоэпидемиология
Фармакоэкономика
Фармакобезопасность
Клинические исследования

6. СОСТАВНЫЕ ЧАСТИ БАЗИСНОЙ ФАРМАКОЛОГИИ:

Рецептура – раздел фармакологии о
правилах выписывания в рецептах
лекарственных форм и препаратов.
Общая фармакология – изучает
общие закономерности взаимодействия
лекарственных веществ с живым
организмом.
Частная фармакология –
рассматривает конкретные
фармакологические группы или
конкретный лекарственный препарат.

7.

ОБЩАЯ ФАРМАКОЛОГИЯ
ФАРМАКОКИНЕТИКА
Факторы, влияющие на
фармакокинетику и
фармакодинамику
Взаимодействие ЛС
ФАРМАКОДИНАМИКА
Побочное и
токсическое
действие ЛС
Виды
лекарственной
терапии

8.

Фармакокинетика – влияние организма на
лекарственное ве-во
Изучает вопросы всасывания, распределения,
депонирования, превращения и выведения
лекарственных ве-в из организма.
Фармакодинамика - влияние лекарственных
ве-в на организм
Изучает фармакологические эффекты,
механизмы действия, локализацию действия и
виды действия лекарственных ве-в

9. Основы фармакокинетики лекарственных средств

10.

Все фармакокинетические процессы в
организме (всасывание с места доставки,
распределение, метаболизм, выведение)
связаны с проникновением – переносом
- лекарственных ве-в через клеточную
(цитоплазматическую) мембрану

11. Перенос ЛС в организме (механизмы транспорта)

Пассивная диффузия в липидах и
фильтрация (водная диффузия)
Облегченная диффузия в липидах
Активный перенос
Микровезикулярный транспорт
(пиноцитоз)

12. Водная диффузия, фильтрация (детерминанты переноса)

Физико -химические свойства ЛС
(растворимость в воде и липидах, м.м.,
степень ионизации, связь с биополимерами)
Структура барьеров
Градиент концентрации
Скорость кровотока

13. Структура барьеров лимитирующий фактор – поры, их размеры и количество

Эпителиальные покровы (слизистая ЖКТ, полость
рта и др.) – проницаемы только для очень малых
молекул, таких как Li, метанол.
Капилляры – фильтруются и диффундируют вещества
с м.м. 20-30 тысяч.
Капилляры мозга – водных пор не имеют, кроме
гипофиза, эпифиза, area postrema, хориоидального
сплетения, медиальной возвышенности.
Плацента – водных пор не имеет.

14. ВЫВОДЫ:

1. Всасывание гидрофильных, ионизированных
веществ через эпителий слизистых оболочек
ограничено
2. Эти соединения могут свободно входить и
выходить из кровеносного русла по законам
диффузии (кроме…)
3. Их выведение осуществляется почками

15. Диффузия в липидах

Основной механизм переноса через клеточную мембрану
(эпителий, клетки органов - мишеней)
Осуществляется пассивно.
Движущая сила – броуновское движение молекул
Основные условия - растворимость в липидах
- градиент концентрации
Ограничения – очень низкая растворимость в воде (такие молекулы не
образуют общей фазы с водой вне мембраны)

16. ВЫВОДЫ:

1. Диффузии в липидах легко подвергаются
жирорастворимые неполярные вещества,
трудно – гидрофильные вещества и ионы
2. Жирорастворимые неполярные вещества
хорошо проходят через ГЭБ и плаценту
3. В почках они подвергаются обратной
реабсорбции в кровь

17. Степень ионизации (классификация ЛС)

ЛС (электролиты – слабые кислоты или основания),
которые могут быть электрически заряженными или
незаряженными в зависимости от рН окружающей
среды !!!
ЛС электрически незаряженные вне зависимости от
рН среды
ЛС с постоянным зарядом вне зависимости от рН
среды

18. Движение через мембраны веществ с переменной ионизацией в биосредах

Слабые кислоты :
Слабые основания:
НА А- + Н+
ВН+ В + Н+
В кислой среде увеличивается ионизация оснований, а в щелочной
среде – ионизация кислых соединений.
Также надо учитывать показатель рКа –отрицательный логарифм
константы ионизации (численно = рН, при котором
ионизированна 50% молекул соединения)
Уравнение Гендерсона-Гассельбаха:
протонированной формы
pKa - pH = log -----------------------------------непротонированной формы

19. Например:

Для ацетилсалициловой кислоты pKa =3,5.
Можно предположить, что при рН 4,5 ацетилсалициловая кта будет мало диссоциировать, однако подставив
значения в формулу мы получаем следующее
Следовательно, при рН 4,5 ацетилсалициловая к-та почти
полностью диссоциирована

20.

Зависимость степени ионизации от разности
pKa – pH для кислот и оснований
% ионизации
дефицит протонов
(щелочн. РН, киш-к)
Избыток протонов
(кислая РН, жел.)
кислота
50%
основание
-2
-1
0
+1
+2
pKa – pH

21. рКа лекарственных веществ

Лекарственное вещество
рКа
Слабые кислоты
Ампициллин
Ацетилсалициловая кислота
Парацетамол
Фенитоин
Фенобарбитал
Фуросемид
2,5
3,5
9,5
8,3
7,4
3,9
Слабые основания
Атропин
Диазепам
Кодеин
Хлордиазепоксид
Хлорпромазин
Эфедрин
9,7
3,3
8,2
4,6
9,3
9,6

22.

Облегченная диффузия (мембраны 2-го типа)
Осуществляется транспортными системами по градиенту концентрации, без
затрат энергии
Холин, вит. В12, рибофлавин, тиамин,
некоторые четвертичные катионы с маленькой м.м. в нейронах
Активный транспорт (мембраны 3-го типа:)
Осуществляется специальными транспортными системами с затратой энергии
- Na+, К+ , Fe, Ca, глюкоза, галактоза, аминокислоты в ЖКТ
- всасывание и выведение ионизированных веществ в почечных
канальцах
- накопление йода щитовидной железой
- перенос анионов в кишечном эпителии
- противоопухолевые препараты (6-меркаптопурин, 5-фторурацил,
циторабин)
Пиноцитоз - транспорт макромолекул:
белков, жирных кислот, жирорастворимых витаминов (А, Д, Е, К)

23.

Основные факторы, влияющие на
перенос веществ в организме.
1. Свойства вещества: - растворимость в Н2О\ липидах
- ионизация
- молекулярная масса
- взаимодействие с биополимерами
2. Градиент концентрации
3. Скорость кровотока (скорость перфузии органов)
4. Площадь поверхности переноса (легкие> кишечник > желудок)
5. С повышением рН всасывание оснований увеличивается, а кислот
снижается. При независимой от рН ионизации (тубокурарин) скорость
всасывания при изменении рН не изменяется
6. Влияние рН на экскрецию в почках обратно

24.

ПУТИ ВВЕДЕНИЯ ЛС В ОРГАНИЗМ
Для системного действия существуют способы введения:
Энтеральный:
Парентреральный:
- оральный
- в/в, п/к, в/м, в/а
- сублингвальный
- ингаляционный
- ректальный
- субарахноидальный
- через зонд
- трансдермальный
- внутрикостный

25.

ПУТИ ВВЕДЕНИЯ ЛС В ОРГАНИЗМ
Для местного действия существуют способы введения:
• накожный (эпикутанный)
• на слизистые оболочки (полость рта, пазух, носа,
горла, бронхов, желудка, мочевого пузыря, влагалища,
прямой кишки и т.п.)
• в полости (брюшная, плевральная,суставная)
• в ткани (инфильтрационная анестезия)
• внутрикожно (терминальная анестезия)

26. Энтеральный путь введения

А. Per os
Преимущества:
простота введения
большая поверхность всасывания
различие рН по ходу ЖКТ
относительная легкость управления терапией
Недостатки:
относительно медленная скорость наступления эффекта
деструкция веществ, пресистемная элиминация
зависимость от приема пищи
зависимость всасывания от других препаратов
(влияние на эвакуацию, рН, перистальтику, кровоток)
• местное раздражающее и повреждающее действие

27.

Энтеральный путь введения
Б. Сублингвальный способ
– минует портальную систему
– обеспечивает быстрое всасывание и
скорость наступления эффекта
В. Ректальный способ
– идет частично в обход пресистемной элиминации
(на 50% всасывается в системе нижней полой вены)
– раздражающее действие

28. Парентеральный способ введения

Преимущества:
• быстрота введения ( в/в – 13 секунд необходимо для доставки
до места действия, в/м – 5–10 минут)
• возможность применения средств, плохо переносимых ЖКТ
• доставка в обход пресистемной элиминации
• точность дозировки
• возможность применения в бессознательном состоянии,
при нарушении глотания, рвоте, диарее
Недостатки:
необходимость стерильных условий
требуется квалифицированный персонал
повреждение тканей, стенки сосудов
опасность эмболии
затруднителен для курсов хронических заболеваний

29.

ГЛАВНЫЕ СОСТАВЛЯЮЩИЕ
ФАРМАКОКИНЕТИКИ
Всасывание
Распределение
биодоступность
выведение
(метаболизм)
объем распределения
Cl, Kel, t½

30.

Биодоступность – количество
неизмененного вещества, попавшего в
общий кровоток, в процентном
отношении к введенному количеству.
AUC per os
F = ---------------- х 100%
AUC в/в

31.

Биодоступность (F) - определяет полноту и
скорость поступления вещества в организм
(кровоток) при внесистемных способах введения.
C
конц.
Cmax
1 в/в
AUC per os
2 per os
F = ----------------
<1
AUC в/в
C
действ.
.
3 per os
t время

32.

Два вещества считаются
биоэквивалентными если они
обладают одинаковой
биодоступностью, одинаковым
пиком действия, характером и
величиной фармакологического
эффекта.

33.

Составляющие биодоступности:
скорость всасывания (Cmax, Tmax, Cmax/AUC)
полнота всасывания
пресистемная элиминация
При парентеральных способах введения - F = 100%
Препараты с F > 70% относятся к средствам с высокой
биодоступностью
F < 30% - ?

34. Лекарственные формы и скорость абсорбции

ЛФ для энтерального применения
растворы
суспензии
капсулы
таблетки
табл.в обол.
табл.с контрол. высвобождением

35. Распределение ЛС в организме

Универсальная особенность – неравномерность распределения
Отсеки распределения:
1. Внеклеточное пространство (плазма, межкл. жидкость)
2. Клетки (цитоплазма, мембраны органелл)
3. Жировая ткань
4. Костная ткань
Лиганды:
- рецепторы
- белки крови (альбумины, гликопротеиды)
- белки тканей
- полисахариды межуточной ткани
- нуклеопротеиды

36.

Детерминанты распределения
ЛС в организме:
• Свойства вещества
• Структура барьеров
• Кровоток
• Взаимодействие с лигандами

37.

Объем распределения (Vd) – кажущееся
водное пространство, которое должен занять
препарат при концентрации, равной концентрации его
в плазме.
Единицы измерения: л(мл) или л/кг
Метод определения Vd:
Пример: Определить объем распределения антипирина, если
при его внутривенном введении в дозе 1г (D) в плазме крови
создалась концентрация(Co) 25 мкг/мл.
D

Vd = ------ = ---------- = 40л
Co
25 мкг/мл

38.

Вода тела (60% массы)
в организме распределяется следующим образом:
V(л)
% веса тела
Внеклеточная жидкость
13-16
18-22
Интерстициальная жидкость
10-13
14-18
Плазма
3
4
Трансклеточная Н2О
(секреты)
0.7-2
1-3
Общая Н2о тела
40-46
55-65

39.

Варианты объёма распределения
доза
Vd = D/C = VH2O (Vd I)
доза
Vd = D/C < VH2O (Vd II)
доза
Vd = D/C > VH2O (Vd III)

40.

Варианты объема распределения:
1-й вариант:
Vd = V H2O (пример с антипирином) означает, что препарат
равномерно распределяется в водных отсеках.
Клиническое значение:
• дозирование препарата должно осуществляться с учетом
массы тела
• в случае передозировки препарата объективным
диагностическим критерием служит определение его
содержания в плазме крови
• гемодиализ при интоксикациях – эффективная мера
• на доклиническом этапе нет смысла проводить
исследования по его накоплению в различных органах и
тканях

41.

Варианты объема распределения:
2-й вариант:
Vd < VH2O – секвестрация в плазме и межклеточной
жидкости
Клиническое значение:
дозирование препарата осуществляется
относительно «идеальной массы тела» без учета
излишков веса
интоксикации препаратами с очень маленьким
объемом распределения редки.

42.

Варианты объема распределения:
3-й вариант:
Vd > VH2O – секвестрация в тканях ( депонирование, в
частности)
Клиническое значение:
• дозирование препарата осуществляется с учетом массы
тела
• в случае интоксикации определение его концентрации в
плазме крови не является объективным критерием
• гемодиализ неэффективен
• препараты способны к материальной кумуляции
• доклинические исследования должны включать
эксперименты по «поиску» мест депонирования препарата

43. Факторы, влияющие на Vd

1.На скорость распределения:
- проницаемость мембран
- скорость кровотока
центральная камера: кровь и хорошо кровоснабжаемые
органы(почки, мозг, легкие, надпоч., печень, сердце, селезенка,
ЩЖ)
периферическая камера: мышцы, слизистые обол.,кожа,
жировая, костная ткани, волосы, ногти
2. На степень распределения:
- липофильность/гидрофильность
- степень ионизации
- степень связывания с белками крови
- внутриклеточное связывание

44. Элиминация ЛС

Элиминация =
биотрансформация+экскреция
Основные показатели элиминации:
Cl - клиренс
Kel - константа элиминации
t½ - период полувыведения (полуэлиминации)

45.

Основные показатели элиминации
Клиренс - отношение скорости элиминации (всеми
доступными путями) к концентрации вещества в
биологических жидкостях (плазме)
V элимин.
к-во/ время
объем
Cl = ---------------= -------------------------- = ------------------- = мл/час (л/час)
концентр.
к-во/объем
время
Клиренс - константа, индивидуальная для каждого вещества
Клиренс – объем распределения, освобождающийся от вещества за
единицу времени.
Клиренс – главный параметр для управления режимом дозирования
Клиренс аддитивен: Clобщ. = Clпоч. + Clпеч. + CL др.

46. Основные показатели элиминации (продолжение)

Константа скорости элиминации вещества (Кel)доля вещества, элиминирующая в единицу времени
Cl
мл
доля
Кel = —— =------------ = -------Vd
мин ·мл
мин
Период полувыведения (t½ ) – время, за которое
концентрация препарата снизилась вдвое
Ln2 0,693
0,7
0,7
0,7хVd
Кel = ----- = ------- = -----;



t½ = -----;
Кel
t½ = -------Cl

47. Клиническое значение t½

Служит для определения интервала
дозирования препаратов
Можно прогнозировать время наступления
эффекта при назначении ПД (поддерживающих доз) препарата
Служит ориентиром для установления
времени прекращения действия и
выведения препарата из организма

48.

Почечный клиренс ЛС
Механизмы:
• фильтрация ( м.м.< 65000)
• активная секреция в проксимальных канальцах
• реабсорбция
Фильтрация – основной механизм выведения
фильтруются не связанные с белками формы ЛС.
фильтрационной способности почек и кровотока
Зависит от
Лимитирующий фактор – размер молекул (м.м. не более 65000)
Скорость фильтрации оценивают по клиренсу креатинина (норма –
120 мл/мин)
Гемодиализ «воспроизводит» процесс гломерулярной фильтрации

49. Почечный клиренс (продолжение)

Секреция
осуществляется в проксимальных тубулах с участием
переносчиков
энергозависима ( активный процесс) против градиента
концентрации
эффективна для ионизированных соединений
конкуренция за переносчики между ЛС
угнетается ингибиторами энергетического обмена
лимитируеися возможностями транспортных систем
об участии канальциевой секреции судят по влиянию
пробеницида на ф/кинетику исследуемого средства
Реабсорбция
осуществляется в дистальных канальцах
реабсорбируются неполярные липофильные вещества
важное значение играет рН мочи

50.

Печеночный клиренс
Включает два процесса:
А. биотрансформация (метаболизм ) , химические превращения
Б. выделение нетрансформированных веществ в желчь
А. Биотрансформация (Метаболизм)
Цель:превращение неполярных ( чужеродных) веществ в полярные
2 фазы метаболизма:
1-я фаза
(метаболическая трансформация)
• окисления
• восстановления
• алкилирования и деалкилирования
• гидролиза
• дезалкилирование
эпоксидация
Участник –цитохром системы Р446 -455
2-я фаза
(синтетическая; конъюгац ия )
- реакции синтеза
- требуют энергии
- химические процессы:
глюкоронидация, сульфатация, конъюгирование
глютатиона, ацетилирование, метилирование

51. Роль метаболических процессов

Увеличивается гидрофильность ЛВ
Снижается фармакологическая
активность
Снижается эффективность ЛВ
Исключение: пролекарства (prodrugs)

52. Печеночный клиренс (продолжение)

Б.Секреция ЛС в желчь
Механизмы транспорта
- простая диффузия
- активный транспорт (в меньшей степени)
Факторы, влияющие на экскрецию ЛС в желчь:
- высокая м.м. (> 250000 )
- состояние функции печени и ЖВП
- связь с биополимерами печеночной клетки
- скорость печеночного кровотока
Секретируются: кислоты, основания, неионогенные вещества
Энтерогепатическая циркуляция

53. Основные сценарии элиминации ЛС (итог):

1.
2.
3.
Гидрофильные соединения выводятся почками в
неизмененном виде
Липофильные полярные соединения – выводятся с
желчью в кишечник. Могут подвергаться
энтерогепатической циркуляции
Липофильные неполярные соединения –
реабсорбируются в почках, поступают в кровоток
и подвергаются печеночному метаболизму,
приобретая гидрофильные свойства, чтобы
выделиться почками

54.

Ситуации, изменяющие клиренс ЛС в
организме:
Взаимодействие ЛС
конкуренция за секреторные механизмы
конкуренция за метаболические процессы
неспецифическая индукция метаболических процессов
ингибирование систем метаболизма ЛС
конкуренция за связь с белками
Болезни
печени
почек
ЖКТ
эндокринных органов ( приводят к снижению Vd, Cl)
3. Индивидуальные особенности (генетические,
природные).

55.

Фармакокинетические модели
доза
водные
отсеки
элиминация
1. Однокамерная
модель
• Двукамерная (2-частевая)
модель
секвестрация
в ткани

56.

Принципы дозирования
Переменные:
1. Разовая доза – количество вещества, вводимое в организм
за один прием
2. Способ введения – адекватен целям
3. Интервал введения
4. Время достижения стационарной концентрации
5. Время полной элиминации после прекращения введения
Основные методы введения ЛС:
постоянный внутривенный с контролем скорости введения
прерывистый ( оральный, подкожный, внутримышечный, в/в)
Цели введения:
достижение стационарной концентрации вещества в организме
и поддержание ее необходимый период.

57.

Непрерывное в/в введение
Стационарная концентрация (Css) достигается тогда, когда
скорость введения препарата равна скорости выведения.
Css
D/ΔT
= -------Cl
D - доза
ΔT – скорость введения
Cl - клиренс
Цель непрерывного введения:
• купирование острых неотложных состояний
• поддержание эффекта в течение определенного времени

58.

Прерывистое введение
С
С min tox
С max
Диапазон
тер. конц.
Css
С min
1
2
3
4
5 Число t 1/2

59.

60.

Прерывистое введение
Подходы для управления Css :
Css прямо пропорциональна дозе и обратно пропорциональна
интервалу Т между введениями.
F·D
Css = ---------Cl · T
F – биодоступность
T – интервал между дозами ( время)
D – доза, вводимая за интервал времени
Cl - клиренс
Css – средняя стационарная концентрация.

61.

Различают 2 вида доз:
Вводная ( нагрузочная) – доза, которая одномоментно обеспечивает уровень Css
LD ( вводная доза) = Css· Vd/ F
! Нагрузочная доза нужна для достижение объема
распределения в действующей концентрации
Поддерживающая – доза, необходимая для
поддержания действующей концентрации в
интервалы времени между введениями
ПД (поддерживающая) = Css· Cl · T/ F
!Она компенсирует потери клиренса за интервал между
введениями

62. Выводы:

1. Точка стационарности достигается на 4 – 5 t 1/2
2. Время достижения Css и время элиминации равны
3. Время достижения Css зависит от дозы
Клиническое значение выводов:
- прогнозируемость времени наступления эффекта
-
-
пропуск одной дозы приводит к снижению концентрации на
50%, а для ее достижения понадобится 3 – 4 t ½
прогнозируемость сроков выведения препарата из организма
возможность увеличения безопасности

63. Режим дозирования ЛС – доза вещества, вводимая за интервал времени

Факторы, влияющие на РД:
Фармакокинетика ЛС ( F, t1/2, Cl)
Активность\токсичность ЛС (терапевтический
индекс, побочные эффекты, взаимосвязь доза-эффект)
Клинические факторы (состояние больного,
возраст, масса тела, сопутствующие заболевания,
условия лечения, длительность лечения)
Другие факторы (путь введения, лекарственная
форма, переносимость, цена и т.д.)

64. Период полувыведения и дозирование ЛС

ЛС с t½ менее 30 мин
- ЛС с малой терапевтической широтой – постоянное
инфузионное введение
- ЛС со средней и большой терапевтической широтой

можно использовать большие интервалы
введения,соответственно назначая большие дозы
препарата (бензилпенициллина калиевая и натриевая
соли)
- можно назначать однократно с целью купирования
приступов

65.

• ЛС с t½ более 30 минут и менее 8 ч
•определяются широтой ТД и удобством приема:
ЛС со средней и большой широтой ТД – используются
интервалы введения, равные 1 - 3 t½
ЛС с малой широтой ТД дозируются с интервалом введения
1 t½, либо чаще, возможно инфузионно
• ЛС с t½ более 24 часов
- назначаются 1 раз в сутки
- удобство для пациента
- использование нагрузочных доз чревато появлением
побочных эффектов
• ЛС с контролируемым высвобождением
- обеспечивают постоянную концентрацию в крови
- обеспечивают постоянную скорость поступления
English     Русский Rules