Основы стандартизации, сертификации и метрологии
Стандартизация
Нормативные документы (средства стандартизации)
Классификация нормативных документов
Стандарт? Уровни стандартов Виды стандартов
Стандарты
Национальный стандарт
Классификация стандартов
Технические документы
Технические условия
Технологические документы
Технические регламенты
Технические регламенты принимаются в целях:
Объекты технического регулирования
Принятые технические регламенты
Государственный контроль за соблюдением требований ТР
Объекты государственного контроля
Формы государственного контроля
Эталон. Определение Виды эталонов Передача размера
Классификация вторичных эталонов
Схема передачи размера единицы физических величин
Поверка Калибровка Виды поверки Межповерочный интервал
ФЗ «Об обеспечении единства измерений»
Нормативно-правовые основы метрологии
ПОДТВЕРЖДЕНИЕ СООТВЕТСВИЯ
Подтверждение соответствия
ФОРМЫ ОЦЕНКИ СООТВЕТСТВИЯ
Цели сертификации
Субъекты подтверждения соответствия
Форма подтверждения соответствия
Объекты подтверждения соответствия
Порядок проведения сертификации
Документы, удостоверяющие соответствие
РЕЗУЛЬТАТЫ ОЦЕНКИ СООТВЕТСТВИЯ НЕОБХОДИМЫ
ОСНОВНЫЕ ПОНЯТИЯ
Информация в сертификате соответствия
Информация в декларации о соответствии
Знак соответствия национальным стандартам
ЕДИНЫЙ ЗНАК ОБРАЩЕНИЯ ПРОДУКЦИИ НА РЫНКЕ ГОСУДАРСТВ - ЧЛЕНОВ ЕАЭС
Системы сертификации
Функции органа по сертификации
Функции испытательной лаборатории
Современная концепция технического регулирования
Качество
Стандарт ISO 9000
Семь простых инструментов контроля качеством
Согласно К. Исикаве, в семь простых методов входят:
Новые инструменты управления качеством
Новейшие инструменты управления качеством
К самым новейшим инструментам управления качеством относятся:
Показатель качества продукции
Единичные показатели качества продукции
Методы определения численных значений показателей качества
3.90M
Category: lawlaw

Основы стандартизации, сертификации и метрологии

1. Основы стандартизации, сертификации и метрологии

2.

Определение «стандартизация»
Классификация нормативных
документов?

3. Стандартизация

Стандартизация - деятельность по разработке (ведению),
утверждению, изменению (актуализации), отмене, опубликованию и
применению документов по стандартизации и иная деятельность,
направленная на достижение упорядоченности в отношении объектов
стандартизации Федеральный закон от 29.06.2015 N 162-ФЗ (ред. от
30.12.2020) "О стандартизации в Российской Федерации"
Слово имеет английское происхождение и обозначает норму (образец,
эталон, модель), принимаемую для сопоставления.
Результат деятельности – документ «стандарт».

4. Нормативные документы (средства стандартизации)

Нормативный документ – это документ, устанавливающий
правила, общие принципы или характеристики,
касающиеся различных видов деятельности или их
результатов (продукция или услуги).
В соответствии с руководством ИСО к нормативным
документам относятся:
• стандарты,
• своды правил,
• регламенты,
• документы технических условий.

5. Классификация нормативных документов

Нормативные
документы
Документы по
стандартизации
Стандарты
Технические
документы
Технические
условия
Технологические
документы
Технические
регламенты
Технологические
инструкции
Правила (нормы)
стандартизации
Сборники
рецептур
Рекомендации по
стандартизации
Техникотехнологические
карты
Своды правил
Технологические
карты
Классификаторы
технико-экономической
информации

6. Стандарт? Уровни стандартов Виды стандартов

7. Стандарты

Стандарт – это документ, в котором в целях
добровольного многократного использования
устанавливаются характеристики продукции,
правила осуществления и характеристики процессов
производства, эксплуатации, хранения, перевозки,
реализации и утилизации, выполнения работ или
оказания услуг.
Стандарт также может содержать требования к
терминологии, символике, упаковке, маркировке или
этикеткам и правилам их нанесения.

8. Национальный стандарт

-
документ по стандартизации, который разработан участником или
участниками работ по стандартизации, в отношении которого
проведена экспертиза в техническом комитете по стандартизации или
проектном техническом комитете по стандартизации и в котором для
всеобщего применения устанавливаются общие характеристики
объекта стандартизации, а также правила и общие принципы в
отношении объекта стандартизации
Федеральный закон от 29.06.2015 N 162-ФЗ (ред. от 30.12.2020) "О
стандартизации в Российской Федерации"

9. Классификация стандартов

Стандарты
Уровень принятия
Вид (объект и аспект)
Стандарты организаций - СТО
На продукцию
Национальные РФ – ГОСТ Р
На услуги
Межгосударственные - ГОСТ
На процессы
Международные – ИСО, МЭК
На методы испытаний,
измерений
Европейского союза - ЕN
На термины и определения
Организационнометодические

10. Технические документы

Технические условия – это технический документ, в котором изготовитель
устанавливает требования к качеству, безопасности и сроку годности
конкретной продукции, необходимые и достаточные для
идентификации продукта, контроля его качества и безопасности при
хранении, транспортировании.
Разрабатываются организацией, если
• нет соответствующего национального или межгосударственного
стандарта,
• при наличии национального стандарта необходимо уточнить или
дополнить требования к выпускаемому пищевому продукту
ТУ разрабатывается в соответствии с ГОСТ Р 51740-2016 «Технические
условия на пищевые продукты. Общие требования к разработке и
оформлению».

11. Технические условия

- вид стандарта организации, утвержденный
изготовителем продукции (далее изготовитель) или исполнителем работы,
услуги (далее - исполнитель).
Федеральный закон от 29.06.2015 N 162-ФЗ (ред. от 30.12.2020) "О
стандартизации в Российской Федерации"

12. Технологические документы


Технологическая инструкция – документ, разрабатываемый в комплекте
с ТУ, который устанавливает требования к процессам изготовления,
хранения, транспортирования сырья, полуфабрикатов и готовых (блюд)
изделий или доставке.
Технологическая карта – документ, содержащий рецептуру и описание
технологического процесса изготовления продукции, оформления и
подачи блюда (изделия).
Технико-технологическая карта – документ, разрабатываемый на
новую продукцию и устанавливающий требования к качеству сырья,
рецептуру продукции, требования к технологическому процессу
изготовления, к оформлению, реализации и хранения, показатели
качества и безопасности, а также пищевую ценность продукции
общественного питания
Сборники рецептур – технологические нормативы, включающие
рецептуру, технологию приготовления, нормы потерь и отходов при
переработке сырья.

13.

Технические регламенты
Цели принятия

14. Технические регламенты

Это документ, который принят
• международным договором Российской Федерации,
ратифицированным в порядке, установленном законодательством
Российской Федерации,
• или межправительственным соглашением, заключенным в порядке,
установленном законодательством Российской Федерации,
• или федеральным законом,
• или указом Президента Российской Федерации,
• или постановлением Правительства Российской Федерации,
• или нормативным правовым актом федерального органа
исполнительной власти по техническому регулированию
устанавливает
• обязательные для применения и исполнения требования к объектам
технического регулирования

15. Технические регламенты принимаются в целях:

• защиты жизни или здоровья граждан, имущества
физических или юридических лиц, государственного
или муниципального имущества;
• охраны окружающей среды, жизни или здоровья
животных и растений;
• предупреждения действий, вводящих в заблуждение
приобретателей, в том числе потребителей;
• обеспечения энергетической эффективности и
ресурсосбережения.

16. Объекты технического регулирования

• продукция, выраженная в материальновещественной форме ( в том числе здания,
сооружения, строения)
• связанные с требованиями безопасности к
продукции процессы её проектирования (включая
изыскания), производства, строительства,
монтажа, наладки, эксплуатации, хранения,
перевозки, реализации и утилизации

17. Принятые технические регламенты

• № 88 - ФЗ «ТР на молоко и молочную продукцию»
• № 90 – ФЗ «ТР на масложировую продукцию»
• № 178 - ФЗ «ТР на соковую продукцию из фруктов и
овощей»
• № 123-ФЗ «ТР о требованиях пожарной безопасности»
• № 384-ФЗ «О безопасности зданий и сооружений»

18. Государственный контроль за соблюдением требований ТР

проверка выполнения юридическим лицом или индивидуальным
предпринимателем требований ТР к объектам контроля
и принятие мер по результатам проверки.
Органы государственного контроля:
• Межрегиональные территориальные управления Федерального
Агентства по ТР и инспекции госнадзора
• органы государственного контроля (надзора) в сфере обеспечения
санитарно-эпидемиологического благополучия населения, защиты
прав потребителей, в сфере ветеринарии

19. Объекты государственного контроля

• продукция и связанные с требованиями к ней
процессы проектирования (включая изыскания),
производства, строительства, монтажа, наладки,
эксплуатации, хранения, перевозки, реализации и
утилизации;
• продукция на стадии обращения

20. Формы государственного контроля

• Плановые проверки на основании распоряжений (приказов) органов
государственного контроля
не более чем один раз в два года. В отношении субъекта малого
предпринимательства - не ранее, чем через три года с момента его
государственной регистрации.
• Внеплановые проверки в случаях:
- получения информации о возникновении аварийных ситуаций, об
изменениях или о нарушениях технологических процессов
- возникновения угрозы здоровью и жизни граждан, загрязнения
окружающей среды, повреждения имущества
- обращения граждан, юридических лиц и индивидуальных
предпринимателей с жалобами на нарушения их прав и законных
интересов

21. Эталон. Определение Виды эталонов Передача размера

22.

Виды эталонов (по РМГ 29-2013*)
МЕЖДУНАРОДНЫЙ

эталон,
принятый
по
международному соглашению в качестве международной
основы для согласования с ним размеров единиц,
воспроизводимых и хранимых национальными эталонами;
ПЕРВИЧНЫЕ эталоны - воспроизводят единицу какойлибо величины с наивысшей точностью.
Представляют собой уникальные средства измерений.
Например, для связи единиц времени, частоты и длины длина волны стабилизированных лазеров;
ГОСУДАРСТВЕННЫЙ (национальный) – ПЕРВИЧНЫЙ
или специальный эталон, официально утвержденный в
качестве исходного для страны.
*Рекомендации по межгосударственной стандартизации РМГ 29-2013 «ГСИ.
Метрология. Основные термины и определения»
22

23. Классификация вторичных эталонов

ВТОРИЧНЫЕ (специальные) эталоны,
•воспроизводят единицу величины в особых условиях,
•заменяют при этих условиях первичный эталон.
Классификация вторичных эталонов
Вторичные
эталоны
Эталон
- копия
Эталон
- свидетель
Эталон
- сравнения
Рабочий
эталон
23

24.

1. ЭТАЛОН - КОПИЯ - предназначен для передачи
размеров единиц величины рабочим эталонам, (он не
всегда является физической копией государственного
первичного эталона);
2. ЭТАЛОН-СВИДЕТЕЛЬ - предназначен для проверки
сохранности государственного эталона и для замены его
в случае порчи или утраты;
3. ЭТАЛОН - СРАВНЕНИЯ - используется для сличения
эталонов, которые по тем или иным причинам НЕ
могут быть непосредственно сличаемы друг с другом
4. РАБОЧИЙ ЭТАЛОН - воспроизводит единицу какойлибо величины от вторичных эталонов и служит для
передачи размера эталону более низкого ряда. При
необходимости подразделяются на разряды – 1-й, 2-й,
3-й, и т.д.
24

25.

За рабочим эталоном СЛЕДУЮТ:
ОБРАЗЦОВЫЕ СРЕДСТВА ИЗМЕРЕНИЯ представляют собой
• меру,
• измерительный прибор,
• измерительный преобразователь
и служат для проверки по ним других средств измерений
и утверждены в качестве образцовых;
РАБОЧИЕ СРЕДСТВА ИЗМЕРЕНИЙ —
предназначены непосредственно для измерений любых
видов, (не связанных с передачей размеров единиц
каких-либо величин).
25

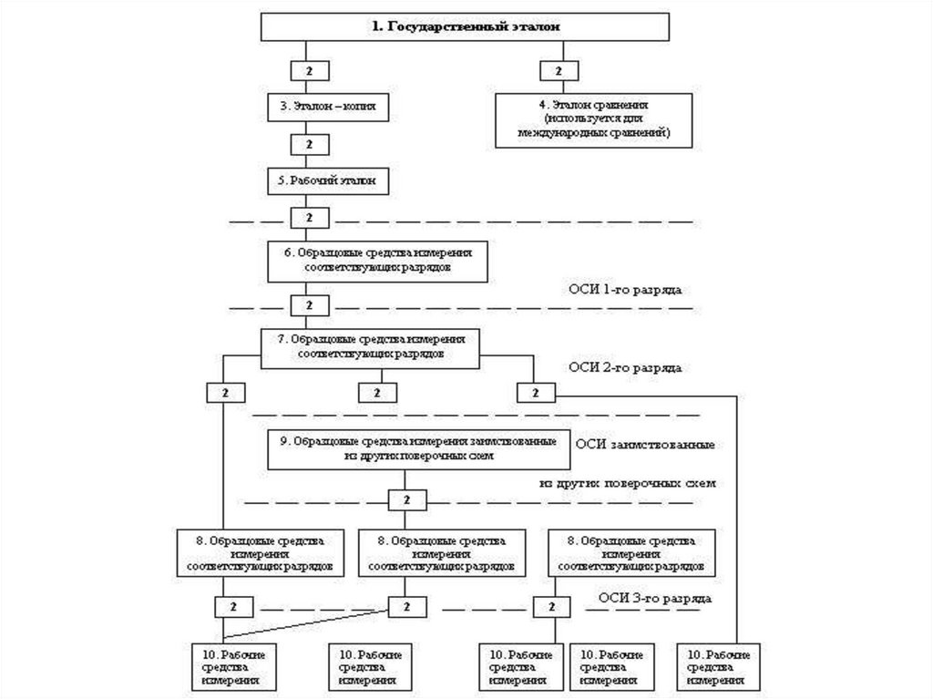
26. Схема передачи размера единицы физических величин

Государственный первичный эталон единицы ФВ
Вторичные эталоны
Эталоны
сравнения
1-й
разряд
Рабочие
эталоны
2-й
разряд
3-й
разряд
4-й
разряд
26

27.

Межгосударственные
сличения
Государст
венный
эталон
Погреш
ность Δ
Рабочий
Рабочее
эталон
средство Рабочий
1-го разряда
измерения эталон
2-го
разряда
27

28. Поверка Калибровка Виды поверки Межповерочный интервал

29.

Поверка
Обязательная операция, проводимая уполномоченным
органом ЗАКЛЮЧАЮЩАЯСЯ
в установлении пригодности средств измерения (СИ) к
применению
НА ОСНОВАНИИ
•экспериментально
определенных
метрологических
характеристик и
•контроля их соответствия предъявленным требованиям.
Виды поверки
(РМГ 29-2013):
• Первичная
• Периодическая
• Внеочередная
• Инспекционная
• Комплексная
• Поэлементная
• Выборочная
29

30.

Передача размера единиц
ПЕРЕДАЧА РАЗМЕРА ЕДИНИЦ – ПРИВЕДЕНИЕ
• размера единицы, ХРАНИМОЙ поверяемым СИ (средством
измерения), к
• размеру единицы, воспроизводимой или хранимой
ЭТАЛОНОМ. ОСУЩЕСТВЛЯЕТСЯ при поверке или
калибровке.
Размер единицы ПЕРЕДАЕТСЯ ОТ более точных К менее
точным СИ (средствам измерений).
Обеспечение ПРАВИЛЬНОЙ
передачи размера единиц
физических величин (ФВ) во всех
звеньях метрологической цепи
осуществляется посредством
ПОВЕРОЧНЫХ СХЕМ.

31.

Поверочная схема
ПОВЕРОЧНАЯ СХЕМА – это нормативный документ,
который устанавливает соподчинение средств измерений,
участвующих в передаче размера единицы (от эталона к
рабочим средством измерения (СИ)).
В нем:
УКАЗАНЫ методы и погрешности,
Он:
УТВЕРЖДЕН в установленном порядке
(ГОСТ
8.061-80
«Поверочные
схемы.
Содержание и построение).
31

32.

ПОВЕРОЧНЫЕ СХЕМЫ делятся на:
ГОСУДАРСТВЕННАЯ ПОВЕРОЧНАЯ СХЕМА
распространяется на все средства измерения (СИ)
данной физической величины (ФВ).
Разрабатывается в виде государственного
стандарта, состоящего из:
• ЧЕРТЕЖА поверочной схемы и
• ТЕКСТОВОЙ ЧАСТИ (пояснения к чертежу).
ЛОКАЛЬНАЯ ПОВЕРОЧНАЯ СХЕМА
распространяется на СИ данной ФВ,
применяемые в данном
•регионе,
•отрасли,
•ведомстве или
•отдельном предприятии.
Оформляются в виде чертежа.
32

33.

Графическое изображение поверочных
схем
Эталон ФВ
Эталон ФВ
Методы
поверки
Объект
поверки (СИ)
Эталон ФВ
Методы
поверки
Объект
Поверки 1(СИ)
Методы
Поверки 1
Методы
Поверки 2
Объект
Поверки 1
(СИ)
Объект
Поверки 2
(СИ)
Объект
Поверки 2 (СИ)

34.

35.

Стандартный образец (СО)
ОБРАЗЕЦ вещества или материала с установленными
значениями (в результате метрологической аттестации одной
или более величин), характеризующими:
свойство,
этого вещества или материала (ГОСТ 8.315-2019 «ГСИ.
Стандартные образцы состава и свойств веществ и
состав,
материалов. Основные положения»).
структуру
СО является средством измерений, в виде вещества или
материала.
Стандартный образец (СО)
СО состава
СО свойств
35

36.

СО СОСТАВА – стандартный
образец с установленными
значениями величин,
характеризующими
содержание определенных
компонентов веществ.
СО СВОЙСТВ - стандартный
образец с установленными
значениями величин,
характеризующими
•физические,
•химические,
свойства
•биологические
•и другие.
веществ
36

37.

Стандартные образцы
межгосударственные
государственные
отраслевые
предприятий
37

38.

Метрологическое обеспечение
38

39.

Организационные, научные и
методические основы
метрологического обеспечения
Метрологическое обеспечение (МО) – представляет собой
установление и использование научных и организационных
ОСНОВ, а также ряда технических средств, норм и правил,
необходимых для соблюдения ПРИНЦИПА единства и
требуемой точности измерений.
1. Понятие метрологического
обеспечения.
2. Четыре основы
метрологического обеспечения.
3. Задачи метрологического
обеспечения.

40.

Четыре основы метрологического
обеспечения
Организация и проведение всех мероприятий МО является
прерогативой метрологических служб.
В ОСНОВЕ метрологического обеспечения лежат четыре базы:
Научная
Норматив
ная
Техничес
кая
Структура метрологического
;
обеспечения измерений
Организа
ционная

41.

НОРМАТИВНАЯ ОСНОВА
МЕТРОЛОГИЧЕСКОГО ОБЕСПЕЧЕНИЯ
В Российской Федерации создана и действует
ГОСУДАРСТВЕННАЯ СИСТЕМА ОБЕСПЕЧЕНИЯ
ЕДИНСТВА ИЗМЕРЕНИЙ (ГСИ).
Представляет собой КОМПЛЕКС нормативных документов
межрегионального и межотраслевого уровней.
УСТАНАВЛИВАЮТ:
•правила,
для достижения и поддержания единства
•нормы,
измерений (при требуемой точности)
•требования
УТВЕРЖДЕНЫ Федеральным агентством по техническому
регулированию и метрологии.
Ряд положений ГСИ установлен в ГОСТ Р 8.000-2015 «ГСИ.
Основные положения»

42.

Объекты ГСИ:
Единицы физических величин
Государственные эталоны и поверочные схемы
Методы и средства поверки средств измерений
Номенклатура и способы нормирования метрологических
характеристик средств измерений
Нормы точности измерений
Способы выражения и формы представления результатов и
показателей точности измерений
Методики выполнения измерений
Методики оценки ДОСТОВЕРНОСТИ и формы представления
ДАННЫХ о свойствах веществ и материалов
Требования к стандартным образцам свойств веществ и
материалов
Термины и определения в области метрологии

43.

ТЕХНИЧЕСКАЯ ОСНОВА
Комплекс государственных систем:
Государственные
эталоны
ЕДИНИЦ
физических
(114 государственных и более 250 вторичных эталонов);
величин
ПЕРЕДАЧА размеров единиц физических величин от эталонов к рабочим
средствам измерений;
Разработка, постановка на производство и выпуск в обращение средств
измерений;
Государственные испытания средств измерений;
Государственные поверки и калибровки средств измерений;
Стандартные образцы состава и свойств веществ и материалов;
СТАНДАРТНЫЕ справочные данные о физических константах и
свойствах веществ и материалов.

44.

ОРГАНИЗАЦИОННАЯ ОСНОВА
Ей является метрологическая служба Российской Федерации.
Состоит из:
Государственной
метрологической
службы
(ГСМ),
возглавляемой Федеральным агентством по техническому
регулированию метрологии (Росстандарт),
Метрологических служб государственных органов управления
Российской Федерации,
Юридических лиц, ОБРАЗУЮЩИХ сеть учреждений и
организаций (покрывающую всю страну).
В работе метрологическая служба Российской Федерации
базируется на основных положениях законодательной
метрологии

45.

Государственная метрологическая служба (ГМС)
•несет ответственность за обеспечение метрологических
измерений в России на межотраслевом уровне,
•проводит мероприятия (контрольные и надзорные) в области
метрологии.
Основная деятельность органов ГМС направлена на обеспечение
ЕДИНСТВА ИЗМЕРЕНИЙ в стране.
Она включает:
создание эталонов (государственных и вторичных);
разработку систем передачи размеров единиц физических
величин рабочим средствам измерения;
государственный надзор за:
-состоянием,
-применением,
средств измерений
-производством,
-ремонтом,
метрологическую экспертизу документации и продукции;
метрологическое руководство юридических лиц.

46.

Понятие «ЕДИНСТВО ИЗМЕРЕНИЙ» охватывает
ряд важнейших задач метрологии:
Унификация единиц физических величин,
Разработка систем воспроизведения величин,
Передачу их размеров рабочим средствам измерений с
установленной точностью,
и другие вопросы.
Единство измерений должно обеспечиваться при любой
точности, необходимой в практической метрологии.
Для обеспечения единства измерений необходимо выполнение
следующих условий:
Применение ТОЛЬКО
узаконенных
соответствующими
правилами
единиц измерений
УСТАНОВЛЕНИЕ
допустимых погрешностей
измерений и пределов, за
которые они НЕ должны
выходить

47.

В СФЕРАХ, предусмотренных Федеральным законом от
26.06.2008г. №102-ФЗ «Об обеспечении единства измерений»
создание метрологической службы ОБЯЗАТЕЛЬНО:
Осуществление деятельности в области здравоохранения
Осуществление деятельности в области охраны окружающей
среды
Выполнение работ по обеспечению безопасных условий и охраны
труда
Осуществление торговли и товарообменных операций,
выполнение работ по расфасовке товаров
Проведение банковских и таможенных операций, а также
налогообложение
Оказание услуг почтовой связи
Проведение официальных спортивных соревнований,
обеспечение подготовки спортсменов высокого класса

48.

Выполнение работ по оценке соответствия драгоценных камней
Выполнение поручений суда, органов прокуратуры и
государственных органов исполнительной власти
Осуществление производственного контроля за соблюдением
установленных законодательством Российской Федерации
требований промышленной безопасности к эксплуатации
опасного производственного объекта
Выполнение государственных учетных операций
Осуществление государственного контроля (надзора)
Метрологическая служба государственного органа управления
должна иметь в своем составе следующие компоненты:
1. Главный
метролог в
центральном
аппарате
2. Головные и базовые
организации в
отраслях и
подотраслях
3. Метрологическая
служба
предприятия,
организации

49. ФЗ «Об обеспечении единства измерений»

50. Нормативно-правовые основы метрологии

Закон от 26.06.2008 г. №102ФЗ «Об обеспечении
единства измерений»
50

51.

Федеральный закон от 26.06.2008 г.
№102-ФЗ «Об обеспечении единства
измерений»
ОСНОВНЫМИ ЦЕЛЯМИ закона являются:
1) Установление правовых основ ОБЕСПЕЧЕНИЯ единства
измерений в Российской Федерации;
2) Защита прав и законных интересов граждан, общества и
государства от отрицательных последствий недостоверных
результатов измерений;
3) Обеспечение потребности граждан, общества и государства в
получении объективных, достоверных и сопоставимых
результатов измерений, используемых в целях защиты жизни и
здоровья граждан, охраны окружающей среды, животного и
растительного мира, обеспечения обороны и безопасности
государства, в том числе экономической безопасности;
4) Содействие развитию экономики Российской Федерации
и
51
научно-техническому прогрессу.

52.

Закон закрепляет ряд основных понятий
метрологии
1) АТТЕСТАЦИЯ МЕТОДИК (методов) измерений исследование и подтверждение соответствия методик
(методов) измерений установленным метрологическим
требованиям к измерениям;
2) ВВОД В ЭКСПЛУАТАЦИЮ СРЕДСТВА ИЗМЕРЕНИЙ документально оформленная в установленном порядке
готовность средства измерений к использованию по
назначению.

53.

Государственное регулирование
в области обеспечения единства
измерений осуществляется в следующих формах:
1) утверждение типа стандартных образцов или типа
средств измерений;
2) поверка средств измерений;
3) метрологическая экспертиза;
4) федеральный государственный метрологический
контроль (надзор)
5) аттестация методик (методов) измерений;
6) аккредитация юридических лиц и индивидуальных
предпринимателей на выполнение работ и (или) оказание
услуг в области обеспечения единства измерений.

54.

5) ГОСУДАРСТВЕННЫЙ ЭТАЛОН ЕДИНИЦЫ ВЕЛИЧИНЫ эталон единицы величины, находящийся в федеральной
собственности;
6) ЕДИНИЦА ВЕЛИЧИНЫ - фиксированное значение
величины, которое принято за единицу данной величины и
применяется для количественного выражения однородных с
ней величин;
7) ЕДИНСТВО ИЗМЕРЕНИЙ - состояние измерений, при
котором их результаты выражены в допущенных к применению
в Российской Федерации единицах величин, а показатели
точности измерений не выходят за установленные границы;
8) ИЗМЕРЕНИЕ - совокупность операций, выполняемых для
определения количественного значения величины;
9) испытания стандартных образцов или средств измерений в
целях утверждения типа - работы по определению
метрологических и технических характеристик однотипных
стандартных образцов или средств измерений;

55.

10) КАЛИБРОВКА СРЕДСТВ ИЗМЕРЕНИЙ - совокупность
операций, выполняемых в целях определения действительных
значений метрологических характеристик средств измерений;
11) МЕТОДИКА (МЕТОД) ИЗМЕРЕНИЙ - совокупность
конкретно описанных операций, выполнение которых
обеспечивает
получение
результатов
измерений
с
установленными показателями точности;
12) МЕТРОЛОГИЧЕСКАЯ СЛУЖБА - юридическое лицо,
подразделение
юридического
лица
или
объединение
юридических лиц, либо работник (работники) юридического
лица,
либо
индивидуальный
предприниматель,
либо
подведомственная
организация
федерального
органа
исполнительной власти, его подразделение или должностное
лицо, выполняющие работы и (или) оказывающие услуги по
обеспечению единства измерений и действующие на основании
положения о метрологической службе;

56.

13) МЕТРОЛОГИЧЕСКАЯ ЭКСПЕРТИЗА - анализ и оценка
правильности установления и соблюдения метрологических
требований применительно к объекту, подвергаемому
экспертизе. Метрологическая экспертиза проводится в
обязательном (обязательная метрологическая экспертиза) или
добровольном порядке;
14) МЕТРОЛОГИЧЕСКИЕ ТРЕБОВАНИЯ - требования к
влияющим на результат и показатели точности измерений
характеристикам (параметрам) измерений, эталонов единиц
величин, стандартных образцов, средств измерений, а также к
условиям, при которых эти характеристики (параметры)
должны быть обеспечены;
15) ОБЯЗАТЕЛЬНЫЕ МЕТРОЛОГИЧЕСКИЕ ТРЕБОВАНИЯ метрологические требования, установленные нормативными
правовыми актами Российской Федерации и обязательные для
соблюдения на территории Российской Федерации;

57.

16) ПЕРЕДАЧА ЕДИНИЦЫ ВЕЛИЧИНЫ - приведение
единицы величины, хранимой эталоном единицы величины
или средством измерений, к единице величины,
воспроизводимой или хранимой эталоном данной единицы
величины или стандартным образцом, имеющим более высокие
показатели точности;
17) ПОВЕРКА СРЕДСТВ ИЗМЕРЕНИЙ (далее также - поверка)
- совокупность операций, выполняемых в целях подтверждения
соответствия средств измерений метрологическим
требованиям;
18) ПРОСЛЕЖИВАЕМОСТЬ - свойство эталона единицы
величины, средства измерений или результата измерений,
заключающееся
в
документально
подтвержденном
установлении их связи с государственным первичным эталоном
или национальным первичным эталоном иностранного
государства соответствующей единицы величины посредством
сличения эталонов единиц величин, поверки, калибровки
средств измерений;

58.

19) ПРЯМОЕ ИЗМЕРЕНИЕ - измерение, при котором искомое
значение величины получают непосредственно от средства
измерений;
20) СЛИЧЕНИЕ ЭТАЛОНОВ ЕДИНИЦ ВЕЛИЧИН совокупность операций, устанавливающих соотношение между
единицами величин, воспроизводимых эталонами единиц
величин одного уровня точности и в одинаковых условиях;
21) СРЕДСТВО ИЗМЕРЕНИЙ - техническое средство,
предназначенное для измерений;
22) СТАНДАРТНЫЙ ОБРАЗЕЦ - образец вещества (материала)
с установленными по результатам испытаний значениями
одной и более величин, характеризующих состав или свойство
этого вещества (материала);
23) ТЕХНИЧЕСКИЕ СИСТЕМЫ И УСТРОЙСТВА С
ИЗМЕРИТЕЛЬНЫМИ ФУНКЦИЯМИ - технические системы и
устройства, которые наряду с их основными функциями
выполняют измерительные функции;

59.

24)
ТЕХНИЧЕСКИЕ
ТРЕБОВАНИЯ
К
СРЕДСТВАМ
ИЗМЕРЕНИЙ - требования, которые определяют особенности
конструкции средств измерений (без ограничения их
технического совершенствования) в целях сохранения их
метрологических характеристик в процессе эксплуатации
средств измерений, достижения достоверности результата
измерений, предотвращения несанкционированных настройки
и вмешательства, а также требования, обеспечивающие
безопасность и электромагнитную совместимость средств
измерений;
25) ТИП СРЕДСТВ ИЗМЕРЕНИЙ - совокупность средств
измерений, предназначенных для измерений одних и тех же
величин, выраженных в одних и тех же единицах величин,
основанных на одном и том же принципе действия, имеющих
одинаковую конструкцию и изготовленных по одной и той же
технической документации;

60.

26) ТИП СТАНДАРТНЫХ ОБРАЗЦОВ - совокупность
стандартных образцов одного и того же назначения,
изготавливаемых из одного и того же вещества (материала) по
одной и той же технической документации;
27) УТВЕРЖДЕНИЕ ТИПА СТАНДАРТНЫХ ОБРАЗЦОВ ИЛИ
ТИПА СРЕДСТВ ИЗМЕРЕНИЙ - документально оформленное
в установленном порядке решение о признании соответствия
типа стандартных образцов или типа средств измерений
метрологическим
и
техническим
требованиям
(характеристикам) на основании результатов испытаний
стандартных образцов или средств измерений в целях
утверждения типа;
28) ШКАЛА ВЕЛИЧИНЫ (шкала измерений) - упорядоченный
набор значений величины;
29) ЭТАЛОН ЕДИНИЦЫ ВЕЛИЧИНЫ - техническое средство,
предназначенное для воспроизведения, хранения и передачи
единицы величины.

61.

Реализация положений закона
Для реализации:
•положений закона «Об обеспечении единства измерений»,
•постановлений Правительства России
разрабатываются и принимаются:
подзаконные акты,
нормативные документы,
документы, устанавливающие правила, общие принципы
или характеристики, касающиеся различных видов
деятельности или их результатов.
К нормативным документам по метрологии,
действующим на территории России, относятся различные
категории и виды СТАНДАРТОВ.
Большое число стандартов, принимаемых у нас в стране
и за ее пределами, заставляет приводить некоторые из них в
соответствие друг другу, ГАРМОНИЗИРОВАТЬ.

62.

ГАРМОНИЗАЦИЯ СТАНДАРТА — это приведение его
содержания в соответствие с другим стандартом (как
правило,
международным)
для
обеспечения
взаимозаменяемости продукции (услуг), взаимного
понимания результатов испытаний и информации,
содержащейся в стандартах.
ГАРМОНИЗИРОВАННЫМИ
СТАНДАРТАМИ
называются стандарты, принятые различными
занимающимися
стандартизацией
органами,
распространяющиеся на одни и те же объекты
стандартизации
и
обеспечивающие
взаимозаменяемость продукции, процессов и услуг и
взаимное понимание результатов испытаний или
информации, представляемой в соответствии с этими
стандартами.
62

63.

Результат измерения, погрешность.
МЕТРОЛОГИЧЕСКИЕ СВОЙСТВА средств измерения (СИ) свойства, влияющие на:
• результат измерений и
•его погрешность.
МЕТРОЛОГИЧЕСКАЯ ХАРАКТЕРИСТИКА – количественная
характеристика показателей метрологических свойств СИ.
Метрологические свойства СИ можно разделить на 2 группы:
По области применения СИ
По качеству измерения
Определяются
Определяются:
метрологическими
•точностью*,
измерений
характеристиками:
•сходимостью,
•диапазон измерений и
• воспроизводимостью
•порог чувствительности.
*Наиболее широко используется в метрологической практике.
Точность измерений СИ определяется их ПОГРЕШНОСТЬЮ.

64.

Погрешность
РАЗНОСТЬ между показаниями средства измерения (СИ) и
истинным
(действительным)
значением
измеряемой
физической величины.
Погрешность

Ошибка
Возникает по объективным Связана с субъективными
обстоятельствам, устранить ее обстоятельствами. После
невозможно, можно проверки результатов ее
уменьшить. устраняют.
Погрешности СИ могут быть классифицированы:
Способу выражения - абсолютные, относительные;
Характеру проявления - систематические, случайные;
Условиям применения - основные, дополнительные.
Наибольшее распространение получили абсолютные и
относительные погрешности.

65.

Государственная метрологическая
служба России – ГМС
ГСВЧ – времени и частот;
ГССО – стандартных образцов состава и
свойств веществ и материалов;
ГСССД – стандартных справочных данных
о физических константах и свойствах
веществ и материалов
МС – метрологические службы*
*Создаются в министерствах, организациях, на предприятиях,
в учреждениях, являющихся юридическими лицами для
выполнения работ по ОБЕСПЕЧЕНИЮ единства и требуемой
точности ИЗМЕРЕНИЙ, осуществления метрологического
контроля и надзора.

66.

МС созданы в Минздраве, Минатоме,
Минприроде, Миноборонпроме и др., РАО ЕЭС
России, РАО «Газпром», НК ЮКОС, НК
«Лукойл».

67. ПОДТВЕРЖДЕНИЕ СООТВЕТСВИЯ

67

68. Подтверждение соответствия

Подтверждение соответствия - документальное
удостоверение соответствия продукции или иных объектов,
процессов производства, эксплуатации, хранения,
перевозки, реализации и утилизации, выполнения работ
или оказания услуг требованиям.
Может осуществляться двумя способами:
• Заявление поставщика о соответствии продукции требованиям
нормативных документов (письменная гарантия – декларация о
соответствии);
• Сертификация – процедура, посредством которой третья сторона дает
письменную гарантию (сертификат соответствия), что продукция,
процесс или услуга соответствует требованиям ТР, положениям
стандартов или условиям договоров.

69. ФОРМЫ ОЦЕНКИ СООТВЕТСТВИЯ

69
Сертификация
Декларирование
Иные формы
Прием и ввод
в эксплуатацию
(строительство)
Регистрация
Испытание
Госконтроль
(надзор)
Аккредитация
Подтверждение
соответствия
ФОРМЫ ОЦЕНКИ СООТВЕТСТВИЯ

70. Цели сертификации

• удостоверение соответствия продукции, процессов
производства, эксплуатации, хранения, перевозки, реализации и
утилизации, работ, услуг или иных объектов техническим
регламентам, стандартам, условиям договоров;
• содействие приобретателям в компетентном выборе
продукции, работ, услуг;
• повышение конкурентоспособности продукции, работ, услуг на
российском и международном рынках;
• создание условий для обеспечения свободного перемещения
товаров по территории РФ, а также для осуществления
международного экономического, научно-технического
сотрудничества и международной торговли

71. Субъекты подтверждения соответствия

• Первая сторона – изготовители продукции,
исполнители услуг, заказчики-продавцы (продавцы
товара).
• Вторая сторона – потребители продукции или услуг
(продавцы как получатели товара).
• Третья сторона – независимая сторона, которая
проводит сертификацию или участвует в
подтверждении соответствия (органы по
сертификации и испытательные лаборатории).

72. Форма подтверждения соответствия

- определенный порядок документального
удостоверения соответствия
• продукции или иных объектов,
• процессов производства, эксплуатации, хранения,
перевозки, реализации и утилизации,
• выполнения работ или оказания услуг
требованиям ТР, положениям стандартов или условиям
договоров.

73.

73
ДЕКЛАРИРОВАНИЕ
СООТВЕТСТВИЯ
ОБЯЗАТЕЛЬНАЯ
СЕРТИФИКАЦИЯ
ДОБРОВОЛЬНАЯ СЕРТИФИКАЦИЯ
ДЕКЛАРАЦИЯ
О
СООТВЕТСТВИИ
СЕРТИФИКАТ
СООТВЕТСТВИЯ
СЕРТИФИКАТ
СООТВЕТСТВИЯ

74. Объекты подтверждения соответствия

Объекты
Продукция
Услуги
Системы качества
Производство
Персонал

75. Порядок проведения сертификации

• подача и рассмотрение заявки на сертификацию с прилагаемыми
документами
• принятие решения по заявке, выбор схемы сертификации
• отбор, идентификация образцов и их испытания
• анализ состояния производства или сертификация систем качества
• анализ полученных результатов и принятие решения о
возможности выдачи сертификата соответствия
• выдача сертификата
• осуществление инспекционного контроля за сертифицированной
продукцией
• корректирующие мероприятия при нарушении соответствия
продукции установленным требованиям и неправильного
применения знака соответствия

76. Документы, удостоверяющие соответствие

• декларация о соответствии - документ,
удостоверяющий соответствие выпускаемой в обращение
продукции требованиям технических регламентов;
• сертификат соответствия - документ,
удостоверяющий соответствие объекта требованиям ТР,
положениям стандартов или условиям договоров;

77. РЕЗУЛЬТАТЫ ОЦЕНКИ СООТВЕТСТВИЯ НЕОБХОДИМЫ

Для выхода товара на рынок
Для обеспечения уверенности
в безопасности товаров (работ,
услуг….)
Для повышения имиджа
конкурентоспособности
объекта
и

78. ОСНОВНЫЕ ПОНЯТИЯ

Декларирование

форма
соответствия,
выполняемая
стороной
оценки
первой
Приемка и ввод в эксплуатацию –
форма оценки соответствия,
выполняемая второй стороной
Сертификация соответствия – форма
оценки соответствия, выполняемая
третьей стороной

79. Информация в сертификате соответствия


наименование и местонахождение заявителя и изготовителя продукции,
органа по сертификации, выдавшего сертификат
информация об объекте сертификации, позволяющая идентифицировать
этот объект
наименование ТР, на соответствие требованиям которого проводилась
сертификация
• информация о проведенных исследованиях и измерениях;
информацию о документах, представленных заявителем в орган по
сертификации в качестве доказательств соответствия
• срок действия сертификата соответствия
• информацию об использовании заявителем национальных
стандартов

80. Информация в декларации о соответствии

• наименование и местонахождение заявителя и изготовителя
• информация об объекте подтверждения соответствия, позволяющую
идентифицировать этот объект
• наименование ТР; указание на схему декларирования соответствия
• заявление заявителя о безопасности продукции при ее использовании в
соответствии с целевым назначением;
• сведения о проведенных испытаниях, сертификате системы менеджмента
качества, а также документах, послуживших основанием для
подтверждения соответствия продукции требованиям ТР
• срок действия декларации о соответствии (определяется техническим
регламентом).

81. Знак соответствия национальным стандартам

знак обращения на рынке - обозначение, служащее для
информирования приобретателей, в том числе потребителей, о
соответствии выпускаемой в обращение продукции требованиям
технических регламентов
знак соответствия - обозначение, служащее для
информирования приобретателей, в том числе потребителей, о
соответствии объекта сертификации требованиям системы
добровольной сертификации

82. ЕДИНЫЙ ЗНАК ОБРАЩЕНИЯ ПРОДУКЦИИ НА РЫНКЕ ГОСУДАРСТВ - ЧЛЕНОВ ЕАЭС

ЕДИНЫЙ ЗНАК ОБРАЩЕНИЯ ПРОДУКЦИИ
НА РЫНКЕ ГОСУДАРСТВ - ЧЛЕНОВ ЕАЭС
82

83. Системы сертификации

Система сертификации (по Закону о Техническом
регулировании –
совокупность правил выполнения работ по сертификации, ее
участников и правил функционирования системы
сертификации в целом.
Система включает:
• Участников работ;
• Нормативную базу (правила, стандарта на методы
испытаний);
• Положение об управлении системой;
• Правила проведения сертификации.
Координирует работу в области сертификации –
Федеральное агентство по ТР и метрологии.

84. Функции органа по сертификации


привлекает на договорной основе для проведения исследований и
измерений аккредитованные испытательные лаборатории;
осуществляет контроль за объектами сертификации
ведет реестр выданных сертификатов
информирует соответствующие органы государственного контроля о
продукции, поступившей на сертификацию, но не прошедшей ее
приостанавливает или прекращает действие выданного им сертификата
соответствия
обеспечивает предоставление заявителям информации о порядке
проведения обязательной сертификации
устанавливает стоимость работ по сертификации.

85. Функции испытательной лаборатории

• проводит исследования и измерения продукции при
осуществлении обязательной сертификации, в пределах
своей области аккредитации на условиях договоров с
органами по сертификации.
• оформляет результаты исследований и измерений
соответствующими протоколами;
• обязана обеспечить достоверность результатов
исследований

86. Современная концепция технического регулирования

С целью приведения национального технического
законодательства в соответствие с международным в 2002 году
был принят Федеральный закон «О техническом
регулировании», введен в действие с 1 июля 2003 года, который
регулирует отношения, возникающие при:
• разработке, принятии, применении и исполнении обязательных
требований к продукции, процессам производства, эксплуатации,
хранения, перевозки, реализации и утилизации;
• разработке, принятии, применении и исполнении на
добровольной основе требований к продукции, процессам
производства, эксплуатации, хранения, перевозки, реализации и
утилизации, выполнению работ или оказанию услуг;
• оценке соответствия.

87.

КАЧЕСТВО?

88. Качество

степень соответствия совокупности
присущих характеристик объекта
требованиям
ISO 9000:2015 «Системы менеджмента
качества. Основные положения и словарь»

89. Стандарт ISO 9000

Главная целевая установка систем
качества, построенных на основе
стандартов ИСО серии 9000, –
обеспечение качества продукции,
требуемого заказчиком,
и предоставление доказательств в
способности предприятия сделать это.

90.

ISO 9000:2015 (ГОСТ Р ИСО 9000-2015) "Система менеджмента
качества. Основные положения и словарь" включает
основополагающие понятия и принципы менеджмента качества, а также
определяет термины, связанные с системами менеджмента качества (далее
СМК). Данный стандарт рассматривает семь принципов менеджмента, на
которых основаны разработка, внедрение, функционирование и улучшение
СМК.
Стандарт ISO 9001:2015 (ГОСТ Р ИСО 9001-2015) "Системы
менеджмента качества. Требования" содержит требования, выполняя
которые организация сможет разработать документированную СМК для
эффективной и результативной реализации своих многочисленных функций.
В ходе построения СМК нет необходимости отменять то, что уже существует
в организации. Положения и требования стандартов ИСО серии 9000 могут
быть использованы для создания целостной системы менеджмента качества
на основе имеющейся в организации базы знаний.
В стандарте ISO 9004:2018 (ГОСТ Р ИСО 9004-2019) "Менеджмент
качества. Качество организации. Руководство по достижению
устойчивого успеха организации" приведено руководство по повышению
способности организации достигать устойчивого успеха. Это руководство
согласуется с принципами менеджмента качества, приведенными в ИСО
9000:2015.

91.

ПРИНЦИПЫ
МЕНЕДЖМЕНТА КАЧЕСТВА

92.

Принципы менеджмента
качества по ISO 9000:2015

93. Семь простых инструментов контроля качеством

94.

95. Согласно К. Исикаве, в семь простых методов входят:

Семь простых инструментов
контроля качества
Согласно К. Исикаве, в семь простых методов
входят:
1) контрольный листок;
2) диаграмма Парето;
3) диаграмма причина – результат;
4) гистограмма;
5) диаграмма разброса;
6) расслоение данных;
7) контрольная карта.

96.

Новые
инструменты
управления
качеством

97. Новые инструменты управления качеством

1. Мозговая атака (штурм, осада) и атака разносом.
2. Анализ поля сил, действующих «за» и «против» выполняемого
процесса улучшения.
3. Диаграмма сродства (affinity diagram)
4. Диаграмма (график) связей (interrelationship diagram)
5. Древовидная диаграмма, или дерево решений (tree diagram)
6. Матричная диаграмма, или таблица качества (matrix diagram or
quality table)
7. Стрелочная диаграмма (arrow diagram)
8. Поточная диаграмма процесса (flow chart)
9. Диаграмма процесса осуществления программы (process
decision program chart - PDPC).
10. Матрица приоритетов (анализ матричных данных) (matrix data
analysis).

98.

98

99. Новейшие инструменты управления качеством

100. К самым новейшим инструментам управления качеством относятся:

– развертывание функции качества (QFD-анализ);
– бенчмаркинг;
– анализ форм и последствий отказов (FMEAанализ);
– анализ деятельности подразделений;
– система «Нуль дефектов»;
– система «Точно вовремя»;
– функционально-стоимостный анализ
и другие

101. Показатель качества продукции

101

102. Единичные показатели качества продукции

102

103. Методы определения численных значений показателей качества

103
English     Русский Rules