Государственное бюджетное профессиональное образовательное учреждение города Москвы «Московский колледж архитектуры и
Государственное бюджетное профессиональное образовательное учреждение города Москвы «Московский колледж архитектуры и
853.00K
Category: mathematicsmathematics

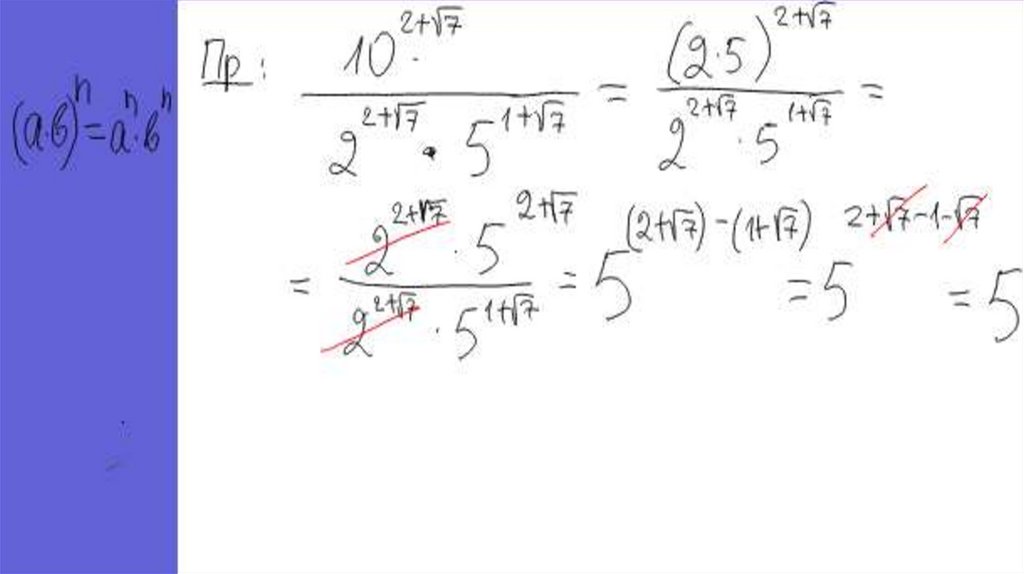
Использование степеней с произвольным показателем при упрощении выражений, вычисление степеней через корни

1. Государственное бюджетное профессиональное образовательное учреждение города Москвы «Московский колледж архитектуры и

градостроительства»
Тема - 6: Использование степеней с произвольным
показателем при упрощении выражений, вычисление
степеней через корни, приведение к одному основанию,
решение простейших уравнений.

2.

3.

4.

5.

6.

7.

8.

9.

10.

11.

Домашнее
задание

12.

Домашнее задание

13.

Используемая литература:
1).
Никольский С.М., Потапов М.К., Решетников Н.Н. и др. Математика:
алгебра и начала математического анализа, геометрия. Алгебра и начала
математического анализа 10 класс: учеб. для общеобразовательных
организаций: базовый и углубленный уровни. – М.: Изд. Просвещение,
2017.
2). А.Г. Мордкович Алгебра и начала математического анализа.
10-11 классы. В 2ч. Ч.1. Учебник для учащихся общеобразовательных
учреждений (базовый уровень). – М.: Изд. Мнемозина, 2017.
3). Атанасян Л.С., Бутузов В.Ф., Кадомцев С.Б. и др. Математика:
алгебра и начала математического анализа, геометрия. Геометрия.
10-11 классы: учеб. для общеобразовательных организаций: базовый
и углубленный уровни. – М.: Изд. Просвещение, 2017.

14. Государственное бюджетное профессиональное образовательное учреждение города Москвы «Московский колледж архитектуры и

градостроительства»
Спасибо
за внимание
English     Русский Rules