ОБРАТНАЯ СВЯЗЬ В УСИЛИТЕЛЬНЫХ ТРАКТАХ
416.00K
Category: electronicselectronics

Обратная связь в усилительных трактах

1. ОБРАТНАЯ СВЯЗЬ В УСИЛИТЕЛЬНЫХ ТРАКТАХ

2.

Классификация обратных связей.
По характеру передачи сигнала с выхода на вход:
- внутренняя ОС;
- внешняя ОС.
В зависимости от того, возрастает или
уменьшается сигнал на входе усилителя:
- положительная (ПОС);
- отрицательная (ООС).
В зависимости от того, каким образом подается
сигнал на вход усилителя с цепи ОС и в цепь ОС с
выхода усилителя, различают:
- последовательную ОС по напряжению;
- последовательную ОС по току;
- параллельную ОС по напряжению;
- параллельную ОС по току.

3.

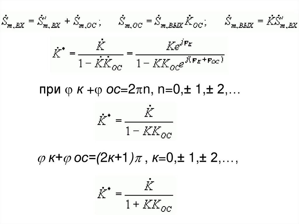
4.

при j к +j ос=2pn, n=0,± 1,± 2,…
.
j к+j ос=(2к+1)p , к=0,± 1,± 2,…,

5.

Обратная связь по напряжению (а), обратная связь по току (б)
Смешанная по выходу ОС

6.

Смешанная по входу обратная связь
Последовательная обратная связь (а);
параллельная обратная связь (б).
Многопетлевая обратная связь

7.

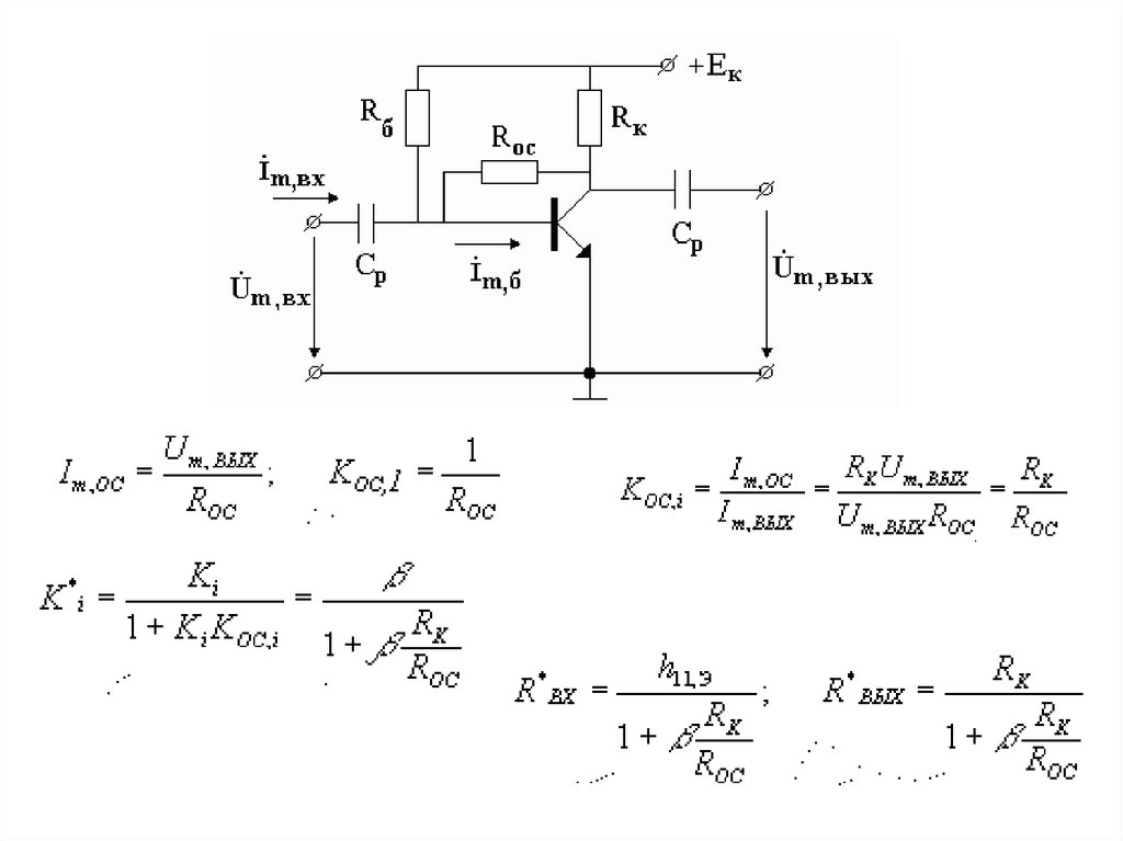
Последовательная ООС по напряжению
RГ ,R2,ос<<Rвх , Rн ,R1,ос>>Rвых

8.

9.

10.

Последовательная обратная связь по току
RГ , Rвых,ос<<Rвх , Rн >Rвых , Rвх,ос <<Rвых

11.

,

12.

13.

Параллельная ООС по напряжению

14.

15.

Параллельная обратная связь по току

16.

17.

Стабилизирующее действие
отрицательной обратной связи

18.

Устойчивость усилителей
с обратной связью

19.

Влияние отрицательной обратной связи
на частотные и фазовые
характеристики усилителя
jj 1
Ke
1
-j φ2
Кос =
jj 1
jj 2 =
е
1 Ke ос e
ос
ju
ju
ju
u
U1

Uвх
u

ju
Uвх
Uвх u
u
Uвх
Uос
Uос -ju
U1
- ju
U1
Uос
- ju
U1

20.

21.

Влияние обратной связи
на нелинейные искажения и помехи

U
1 ос К
1
Г

22.

Стабилизация коэффициента передачи

23.

Ослабление нелинейных искажений
Частотные характеристики усилителя с ООС
English     Русский Rules