УСИЛИТЕЛИ ЭЛЕКТРИЧЕСКИХ СИГНАЛОВ andreev_stu@mail.ru https://cloud.mail.ru/public/5MsZ/xJy3PKUmg
УСИЛИТЕЛЬНЫЕ КАСКАДЫ НА БИПОЛЯРНЫХ ТРАНЗИСТОРАХ
ВЫБОР РАБОЧЕЙ ТОЧКИ
СТАБИЛИЗАЦИЯ РАБОЧЕЙ ТОЧКИ
Усилители с емкостной связью на транзисторах. Схема с общим эмиттером в области средних частот
Эквивалентная схема транзистора на высоких частотах
Усилитель с 0Э в области высоких частот
Усилитель по схеме ОБ
Эмиттерный повторитель
МНОГОКАСКАДНЫЕ УСИЛИТЕЛИ
3.12M
Category: electronicselectronics

Усилители электрических сигналов

1.

2.

12 ноября 1899 года «Генерал-адмирал Апраксин» выскочил на камни у
южной оконечности острова Гогланд.

3.

24 января в 9 часов утра спасатели получили телеграмму от
начальника Главного морского штаба вице-адмирала Ф.К. Авелана: «9
ч. у. Гогланд. Из Петербурга командиру ледокола «Ермак». Около
Лавенсари оторвало льдину с пятьюдесятью рыбаками. Окажите
немедленно содействие спасению этих людей. Сто восемьдесят
шесть, Авелан». «Ермак» отправился на поиски, которые увенчались
успехом уже на следующий день. Так, благодаря радио, 27 человек
были спасены от верной гибели.
О спасении рыбаков узнал Главный командир Кронштадтского порта
адмирал С.О.Макаров. Замечательный моряк, ученыйисследователь и флотоводец, он был передовым человеком своего
времени. Макаров высоко ценил Попова, его знания, и прекрасно
понимал все значение радиофикации флота. После спасения
рыбаков Макаров послал Попову телеграмму. В ней говорилось: «От
имени всех кронштадтских моряков сердечно приветствую Вас с
блестящим успехом Вашего изобретения. Открытие беспроволочного
телеграфного сообщения от Котки до Гогланда на расстоянии 43
верст есть крупнейшая научная победа».

4. УСИЛИТЕЛИ ЭЛЕКТРИЧЕСКИХ СИГНАЛОВ andreev_stu@mail.ru https://cloud.mail.ru/public/5MsZ/xJy3PKUmg

УСИЛИТЕЛИ
ЭЛЕКТРИЧЕСКИХ СИГНАЛОВ
andreev_stu@mail.ru
https://cloud.mail.ru/public/5MsZ/
xJy3PKUmg

5.

Классификация усилителей.
По характеру усилительных сигналов
а) гармонические (только синусоидальные).
б) импульсные (только импульсный сигнал).
в) постоянного тока (для частот близких к нулю герц).
г) радиотехнические (переменного тока).
д) низкочастотные (НЧ) от 10 до 100 тысяч Гц..
е) промежуточно-частные от 465 кГЦ до 10,7 МГц.
ж) высокочастотные (ВЧ) для радиочастот с частотой от 1000 кГц и выше.
з) широкополосные (применяются в измерительной технике и
осциллографах). Они усиливают в широкой полосе частот от 0 до
нескольких МГц
и) избирательные или селективные(усиливают сигнал в узком диапазоне
частот)
В зависимости от типа преобразования сигнала
а) прямого усиления (в них сигнал усиливается без преобразования по
частоте)
б) усилители с преобразованием частоты.

6.

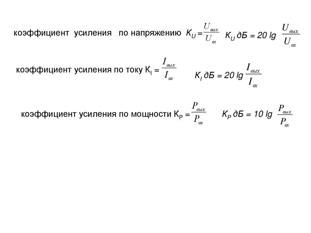
коэффициент усиления по напряжению КU =
U вых
U вых
U вх КU дБ = 20 lg U
вх
I вых
коэффициент усиления по току КI =
I вх
I вых
КI дБ = 20 lg
I вх
Pвых
коэффициент усиления по мощности КP =
Pвх
КP дБ = 10 lg
Pвых
Pвх

7.

D = 20 lg
U вых макс
U
вых мин
.

8. УСИЛИТЕЛЬНЫЕ КАСКАДЫ НА БИПОЛЯРНЫХ ТРАНЗИСТОРАХ





Еб
Ек

9. ВЫБОР РАБОЧЕЙ ТОЧКИ

Е
Е
R1

R1
C

C
Uвх
Uвых
Uвх
R2
Iк = Iб + Iко(1 + )
Uвых

10. СТАБИЛИЗАЦИЯ РАБОЧЕЙ ТОЧКИ

Ек
Ек

R1


Uвых
C
Uвх
Uвх
R2

Uвых
С
Сэ
мин 1 Rэ R1 || R2 5Rвх э 5 макс
I к / Т

U кб U ок U бэ U ок

I бо
I бо

11. Усилители с емкостной связью на транзисторах. Схема с общим эмиттером в области средних частот


R1

E


C2
Uвх
C1


I

R
Uвх




R2

Сэ
R
R1 R2
R1 R2

RН RК
RН RК

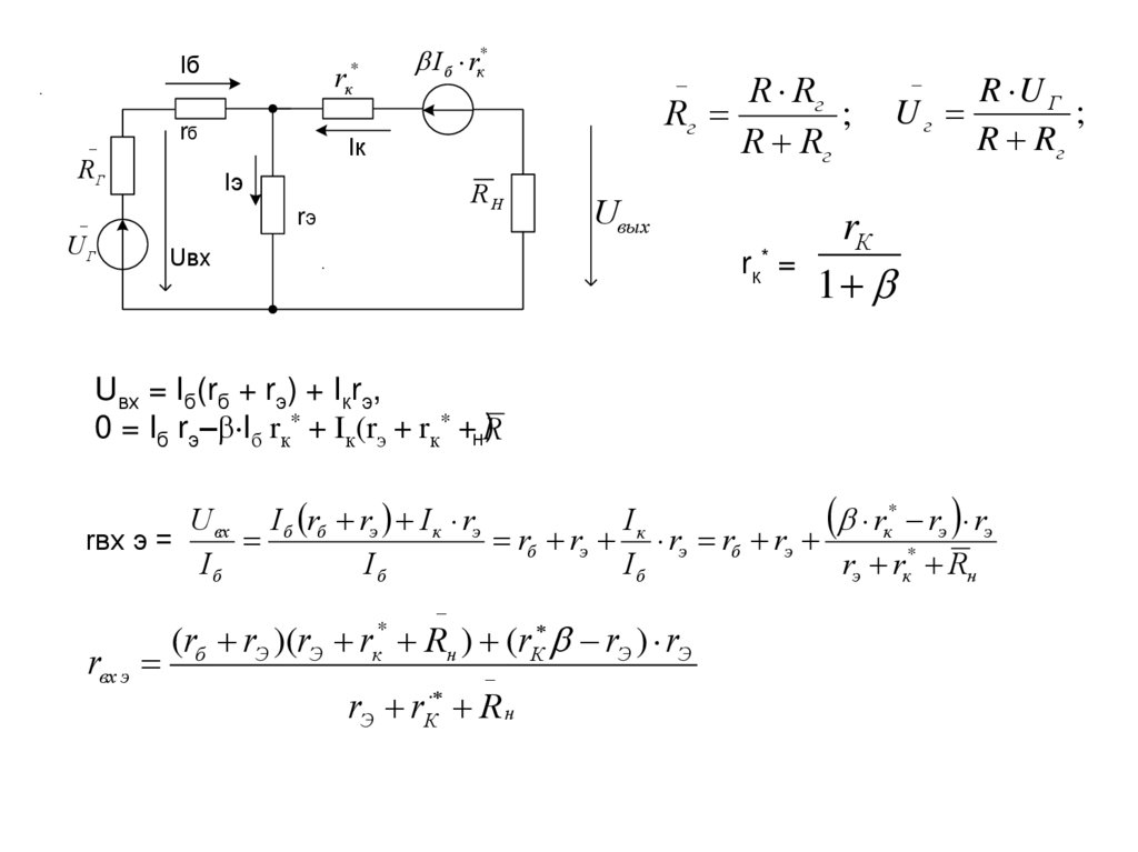
12.


r


I б rк*
*
к





R Rг

;
R Rг
Uвых
Uвх
rк* =

R U Г
;
R Rг

1
Uвх = Iб(rб + rэ) + Iкrэ,
)
0 = Iб rэ– Iб rк* + Iк(rэ + rк* +нR
U вх I б rб rэ I к rэ
rк* rэ rэ

rвх э =
rб rэ rэ rб rэ



rэ rк* Rн
rвх э
(rб rЭ )(rЭ r Rн ) (rК rЭ ) rЭ
*
к
К
rЭ r R н

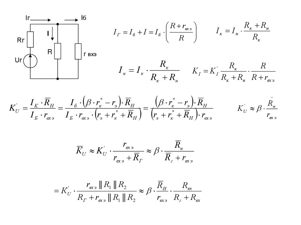
13.




I
R
Rк Rн
Iк Iн

r вхэ

KU'
R rвх э
I Г I б I I б
R
Iн Iк

Rк Rн
K I K I'
r rэ RН
I r rэ RН
I K RН
б
I Б rвх э I Б rвх э rэ rк* RН rэ r RН rвх э
*
к
КU K
'
U
К
'
U
*
к
*
к
rвх э
rвх э R Г
rвх э || R1 || R2
RГ rвх э || R1 || R2

Rг rвх э
Rвх

rвх э Rг Rвх

R
Rк Rн R rвх э
K U'

rвх э

14.

Усилитель с ОЭ в области низких частот
Iвх
C1

1
I вх U г
Rг Rвх 1 / j C1

R
r вх
I б I вх

,
Uг(t)=Um sin t.
I вх
h j
Im 1
R
R rвх
1
I вх I m
1 1 / j C1 ( Rг Rвх )
Im
1
1
1
j C1 ( Rг Rвх )
h j
Um
Rг Rвх
1 (1 / н1 ) 2
1
C1 arctg
н1

15.

К
К макс
.
К
Кмакс
Мн
К макс
Н
С2

2
1
M н
1
Н 1



С1

1
Н ( Rг Rвх ) М Н2 1
Uб Uэ
Rвх


hСэ
1
I бm

'
K макс
U вых


Rг rвх э
1

Z Rэ ||
j CЭ 1 j Cэ Rэ

16.

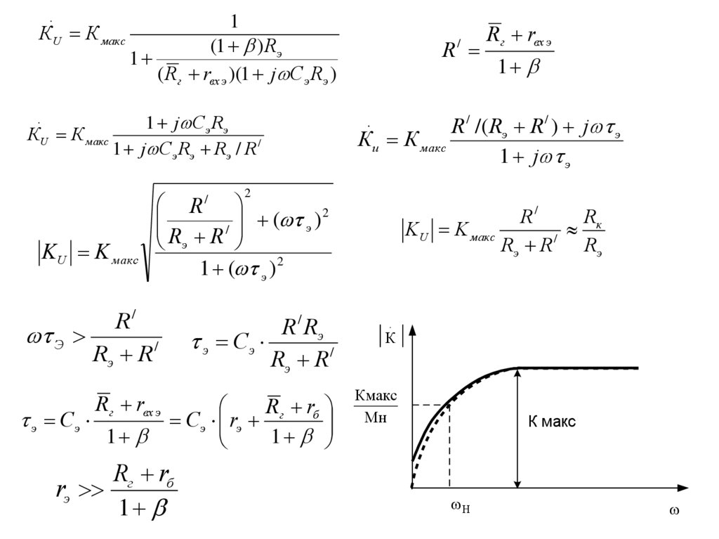
.
КU К макс
1
(1 ) Rэ
1
( Rг rвх э )(1 j C э Rэ )
1 j Cэ Rэ
КU К макс
1 j Cэ Rэ Rэ / R /
.
R / Rэ
э Сэ
Rэ R /
Rг rвх э
R r
Сэ rэ г б
1
1
Rг rб

1
1
R / /( Rэ R / ) j э
Кu К макс
1 j э
2
R/
Э
Rэ R /
э Сэ
Rг rвх э
.
R
2
(
)
э
/
R
R
э
1 ( э ) 2
/
KU K макс
R
/
R/

KU K макс
/
Rэ R

.
К
Кмакс
Мн
К макс
Н

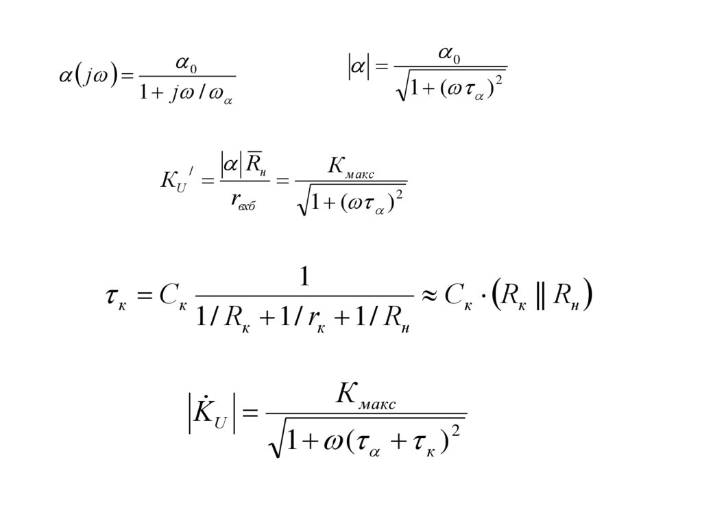
17. Эквивалентная схема транзистора на высоких частотах

Б
Скб
Б/

К

Скб
I2
SUэб
Сбэ
rэ'
Сбэ
rэ'
SUэб
I1
Э
Э
'
.
rэ'
1
I1
U бэ I1 rэ ||
j Cкб Сэб
1 j rвхэ (Скб Сэб )
.
.
.
I
j .2
.
,
S U эб
.
0
1 j rэ' (Скб Сбэ )
I1
I1
1
rэ' (Сэб Скб )
КЗ

18.

( j )
0,01 0,1
1
100
Т
0
/
1
rэ' (С эб С Кб )
Cбэ
j (Сбэ Скб )
Y
1 j rб (Сбэ Скб )
.
1
rб (Сбэ Скб )
0
Скб
'
2 fT rэ

19. Усилитель с 0Э в области высоких частот

j
0
1 j /
K U
0 Rн
rвхэ 1 ( / ) 2
0
1 ( / ) 2
К макс
1 ( / ) 2
M в 1 ( / ) 2 1 ( ) 2
-E

R1
С3
Ссв2
Cсв1
Uвх
С4
R2
С1
С2

Сэ

20.

U вых
К макс
KU

1 ( в ) 2
в = [rэ’||(Rг + rб)] [C2 + C3(1 + К)].
M в 1 ( в ) 2

21. Усилитель по схеме ОБ

Uвх = Iэ(rэ+rб)–Iкrб=Iэrэ+(Iэ–Iк)rб,
0 = Iэ(rб– rк)+Iк(rк+ Rн –rб)
-E
R1
Rk
C2
Iэ( rк – rб)= Iк(rк + R–н rб)
C1
Uвх
К /I

R2





Uвхб


Сб
Iэrк
КU
/


КI

rб rк

I э rб rк Rн



/
КI

Rэ RГ Rк Rн
U вых
I R
I R

к н Э Н
U вх
I э rвх б
I Э rвх б
rвх б
U вых
1
/
KU
К U
R
R

1 г г
Rэ rвх б

22.

0
j
1 j /
КU
/

rвхб
0
1 ( ) 2
К макс
1 ( ) 2
1
к Ск
Ск Rк || Rн
1 / Rк 1 / rк 1 / Rн
K U
К макс
1 ( к )
2

23. Эмиттерный повторитель

E
rвх к rвх к
R1
Uвх
C1
rвх к rб 1 rк* || Rн
С2

R2

U
(1 )(rК || RН ) I б
KU вых
RГ rвх к I б

1
RГ rб
1
*
1 rк || RН
1
KU ок
1 rб / rК
rК || Rэ
R
K I ок (1 ) *
rк || Rэ Rн R rвх к
U вх
rб ( 1) rк* || rэ RЭ || RН

Rвых ок rэ
RГ rб
1

24. МНОГОКАСКАДНЫЕ УСИЛИТЕЛИ

Можно выделить следующие виды связи между
отдельными усилительными устройствами:
- гальваническую (непосредственную),
- емкостную (с помощью RС-цепей),
- трансформаторную или
автотрансформаторную,
- с помощью частотно-зависимых цепей
- оптронную

25.

dK ос
d ос

K ос
К (1 ос К ) ос
dК / К
К ос
1.
dК ос / К ос
К=Кос(1+ ocК)
Мв = Мв1 Мв2… Мвn
Мн1 = Мн2 = n М Н
xв=Fвn/Fв
1
xв 2 n 1

26.

n
1
2
3
4
5
6
xn
1
0,64
0,51
0,435
0.39
0,35

1
хн=Fнn/Fн
f f 1
1
2 n 1

n
M 1
2
В

27.

Усилители
Обозначение
Высокой частоты
Промежуточной частоты
Низкой частоты
УВ
УР
УН
Импульсных сигналов
Широкополосные
Повторители
УИ
УК
УЕ
Считывания и воспроизведения
УЛ
Индикации
Постоянного тока
УМ
УТ
Операционные
Дифференциальные
Прочие
УД
УС
УП
English     Русский Rules