1.07M
Category:
mathematics
Similar presentations:
Постановка задачи численного интегрирования
Задачи. Состав задачи
Текстовые задачи. Задачи на движение
Задачи на замену (Задачи на предположение)
Задачи
Задачи
Задачи
Задачи
Задачи
Задачи
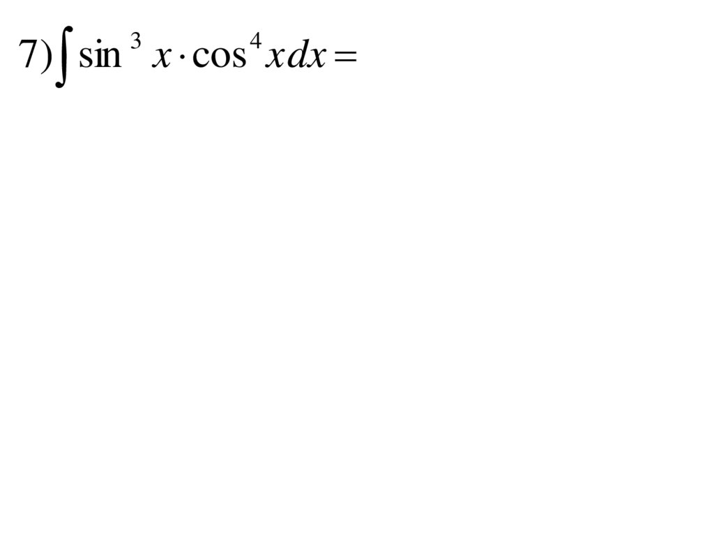
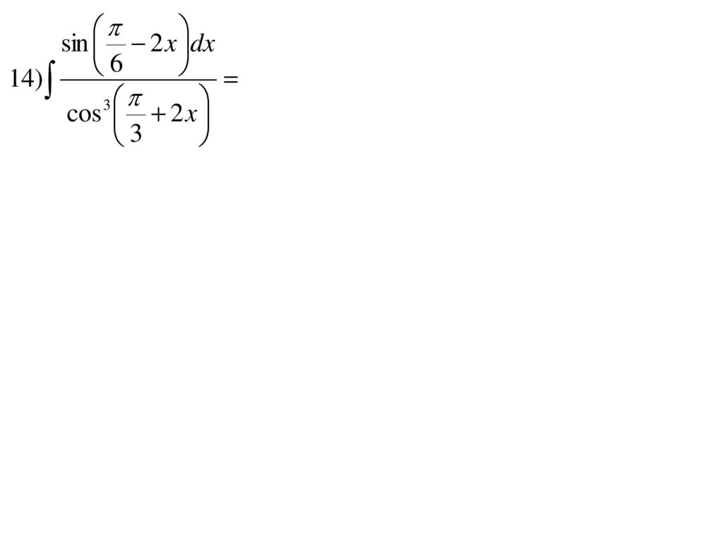
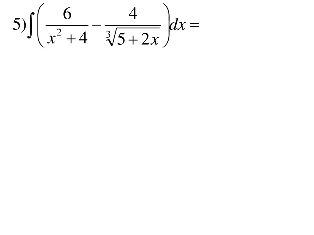
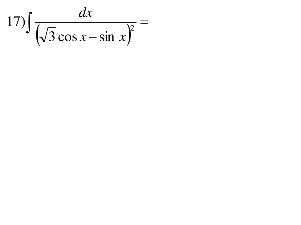
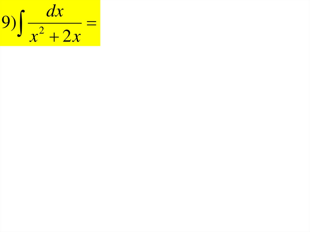
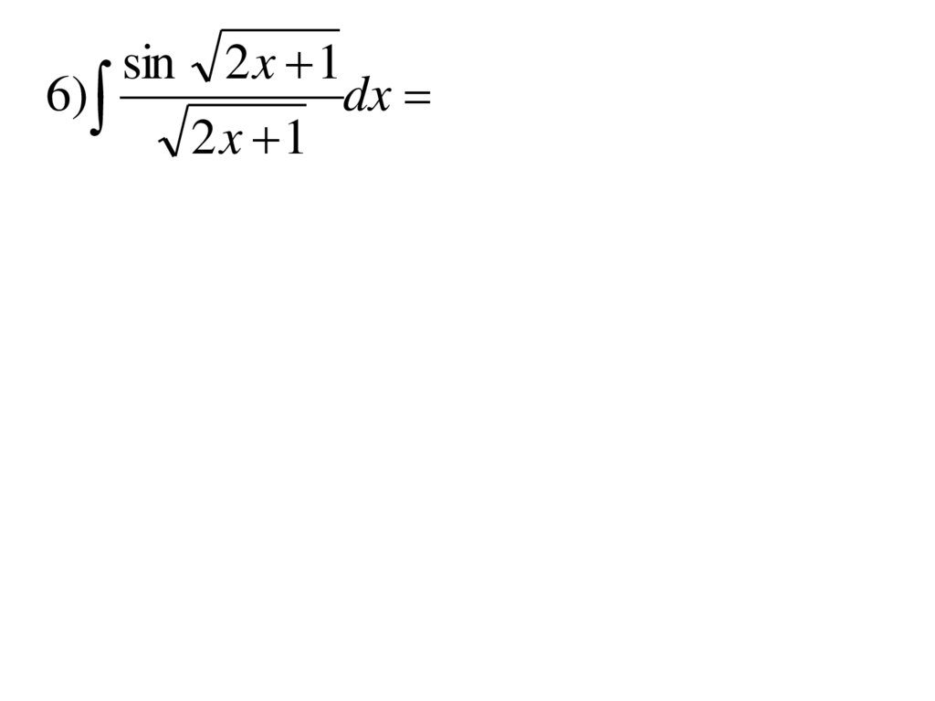
Техника интегрирования. Задачи
1.
න
English
Русский
Rules