1.47M
Category: programmingprogramming

Процесс регистрации пользователя в мобильном банкинге

1.

Процесс регистрации
пользователя в мобильном
банкинге
Internal Home Credit Bank Kazakhstan

2.

Процесс регистрации пользователя разделен на
3 процесса :
1.StartRegistration
1. Опционально в процессе есть функционал получения цифровых
документов(ЦД), если удачно получили, то у пользователя в шаге 2
запрашиваем только селфи, без удостоверения личности
2.Verification Check
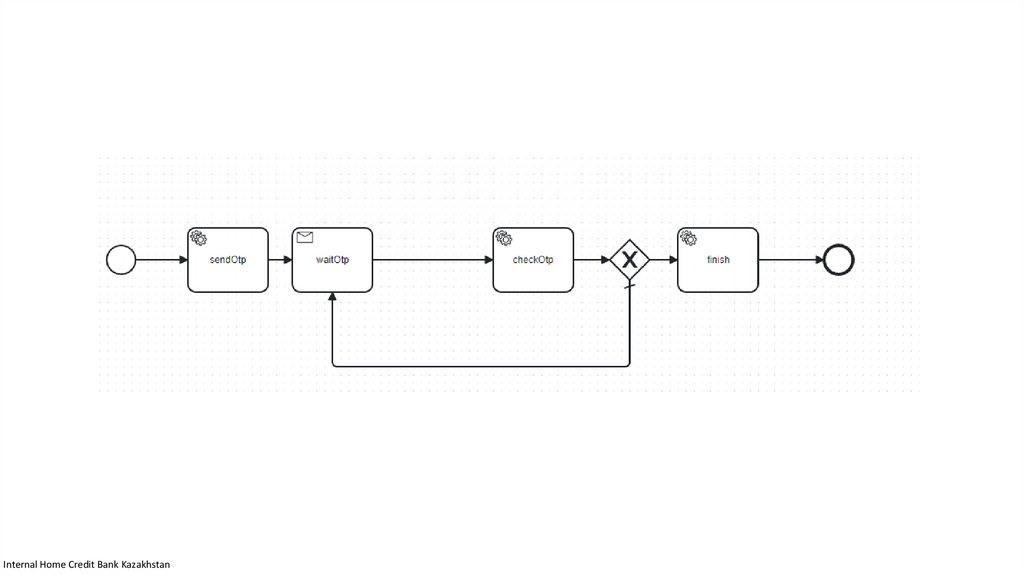
1. Проверка 4 значного ОТР(One time password) кода, который отправляется
в виде SMS сообщения
2. Прохождение фото верификации в Innovatrics
3.Complete Registration
1. CreatePasscode(PINCODE)
Internal Home Credit Bank Kazakhstan

3.

StartRegistration
• Мутация находится в registration-mcs
• Принимает два параметра
1.Номер телефона
2.ИИН(Индивидуальный идентификационный номер)
• Процесс инициируется запуск BPMN процесса
StartRegistrationProcess.bpmn , где выполняется основная логика
Internal Home Credit Bank Kazakhstan

4.

Internal Home Credit Bank Kazakhstan

5.

Internal Home Credit Bank Kazakhstan

6.

Internal Home Credit Bank Kazakhstan

7.

BPMN процесс startRegistration.bpmn
Internal Home Credit Bank Kazakhstan

8.

Пример запроса checkIIN
Internal Home Credit Bank Kazakhstan

9.

Internal Home Credit Bank Kazakhstan

10.

Ответ от startRegistration
• Чтобы понять стартовали мы регистрацию или нет, мы должны
посмотреть на следующие поля
• processId – если он начинается с registration + ## + uuid
• state – need_full_certification
Internal Home Credit Bank Kazakhstan

11.

Обработка ошибок
Internal Home Credit Bank Kazakhstan

12.

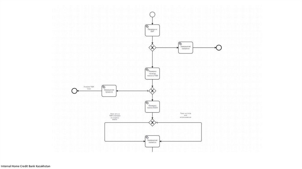
Процесс запроса ЦД (Цифровые
документы)
• Мутация находится в registration-mcs
• Проверяем с помощью мутации checkDigitalDocsToken у
пользователя на наличие токена который нужен для получения
ЦД, если переменная needCheckEgovOtp вернул true, то ему
нужно отобразить экран ввода пин кода из 6 цифр, для создания
токена и отправить на его номер смс сообщение
Internal Home Credit Bank Kazakhstan

13.

Процесс инициирует запуск BPMN процесса CheckDigitalTokenProcess.bpmn , где
выполняется основная логика
Internal Home Credit Bank Kazakhstan

14.

Ответ от checkDigitalDocsToken
{
"data": {
"checkDigitalDocsToken": {
"needCheckEgovOtp": true,
"skipTimeoutSeconds": 120,
"resendTimeoutSecond": 30
}
}
}
Internal Home Credit Bank Kazakhstan

15.

Internal Home Credit Bank Kazakhstan

16.

checkEgovOtp
• Если шаг 1 вернул нам true, то с помощью мутации checkEgovOtp,
фронт отправляет код для проверки его валидности. У
пользователя есть 7 попыток для правильного ввода, в случае
если все попытки были потрачены...
• Мутация находится в registration-mcs
• Процесс инициирует запуск BPMN процесса
CheckDigitalOtpProcess.bpmn , где выполняется основная логика
Internal Home Credit Bank Kazakhstan

17.

Internal Home Credit Bank Kazakhstan

18.

Internal Home Credit Bank Kazakhstan

19.

• 2.1 Есть логика переотправки СМС сообщения с помощью
мутации resendEgovOtp
• Мутация находится в registration-mcs
Internal Home Credit Bank Kazakhstan

20.

Запрос ЦД
• Вне зависимости от шага 2, пытаемся получить документы
пользователя с ЦД, с токеном который генерится в шаге 1, для этого
используется мутация requestDigitalDocs - Тут мы подтягиваем
цифровые документы пользователя, если поле verificationType
вернулся onlySelife то это означет что мы успешно получили ЦД и
можем запрашивать у пользователя только селфи, если selfieAndDocs
то это не удалось получить цифровые документы, и пользователу
помимо селфи нужно будет фотографировать УДВ
• Процесс инициирует запуск BPMN процесса
GetDigitalDocsProcess.bpmn , где выполняется основная логика
Internal Home Credit Bank Kazakhstan

21.

Internal Home Credit Bank Kazakhstan

22.

Проверить запрос к ЦД
select * from verification_digital_docs
order by 1 desc
Internal Home Credit Bank Kazakhstan

23.

Verification Check
• Мутация находится в verification-services-mcs
• Для проверки 4 значого ОТР кода, используется мутация checkOtp
Internal Home Credit Bank Kazakhstan

24.

Internal Home Credit Bank Kazakhstan

25.

Проверки Innovatrics
• Мутация находится в verification-services-mcs
• Для запуска проверки Innovatrics мы должны загрузить
фотографии, это делается с помощью сервиса
• capp/v1/openapi/verification/appendMultiPartFile[POST], если мы
получили ЦД, то загружаем только 1 фотографию с type =
PHOTO_PERSON(Селфи) , если не получили цд то загруажем 3
фотографии type = ID_CARD1(Лицевая сторона УДВ),
ID_CARD2(Оборотная сторона УДВ) , PHOTO_PERSON(Селфи)
Internal Home Credit Bank Kazakhstan

26.

Загрузка фото в инноватрикс
Internal Home Credit Bank Kazakhstan

27.

Проверить фотки которые мы загрузили
select * from verification_files
where process_id = 'registration##bbc186d6b974-40b9-93ec-877920d14ed4'
order by 1 desc
Internal Home Credit Bank Kazakhstan

28.

Как только мы загрузили фотографии, можем
использовать мутацию checkResult для запуска процесса
Innovatrics
Процесс инициирует запуск BPMN процесса photoVerificationProcess.bpmn , где
выполняется основная логика
Internal Home Credit Bank Kazakhstan

29.

Internal Home Credit Bank Kazakhstan

30.

CompleteRegistration
• Мутация находится в registration-mcs
• Если мы на предыдущем шаге получили в поле state =
SUCCES_VERIF , то мы успешно прошли фотоверификацию и
можем завершить процесс регистрации, для этого нужно вызвать
мутацию completeRegistration, который создает учетные записи в
PIF (Система которая отвечает за пользовательские данные
внутри банка) и Keycloak-e(Авторизационный сервер)
Internal Home Credit Bank Kazakhstan

31.

• Процесс инициирует запуск BPMN процесса
CompleteRegistrationProcess.bpmn , где выполняется основная
логика
Internal Home Credit Bank Kazakhstan

32.

Internal Home Credit Bank Kazakhstan

33.

Internal Home Credit Bank Kazakhstan

34.

P.S. Общий порядок вызовов должен быть
таким
1.CheckUser
2.StartRegistration
3.checkDigitalDocsToken
4.checkEgovOtp (Опциональный если 3 шаг вернул true)
5.resendEgovOtp (Опциональный если хотим переотправить 6 значный отп код)
6.requestDigitalDocs
7.checkOtp
8.appendMultiPartFile
9.checkResult
10.CompleteRegistration
11.CreatePasscode(Для создания пин-код пароля)
Internal Home Credit Bank Kazakhstan
English     Русский Rules