Проверка гипотез о равенстве дисперсий для нескольких выборок. Критерии Бартлетта и Кохрена
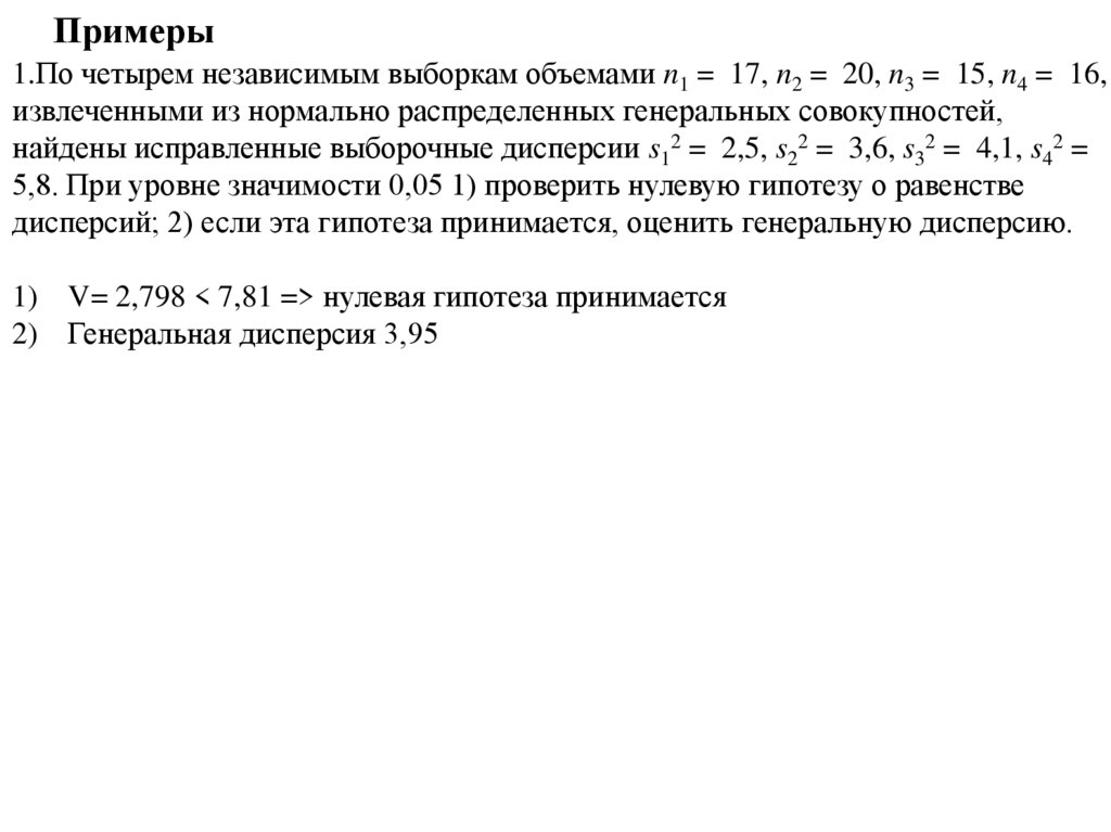
Примеры
Примеры
Примеры
Регрессионный и корреляционный анализ
Пример
Коэффициент частной корреляции
Парный регрессионный анализ.
Основные причины наличия случайной составляющей в модели парной регрессии.
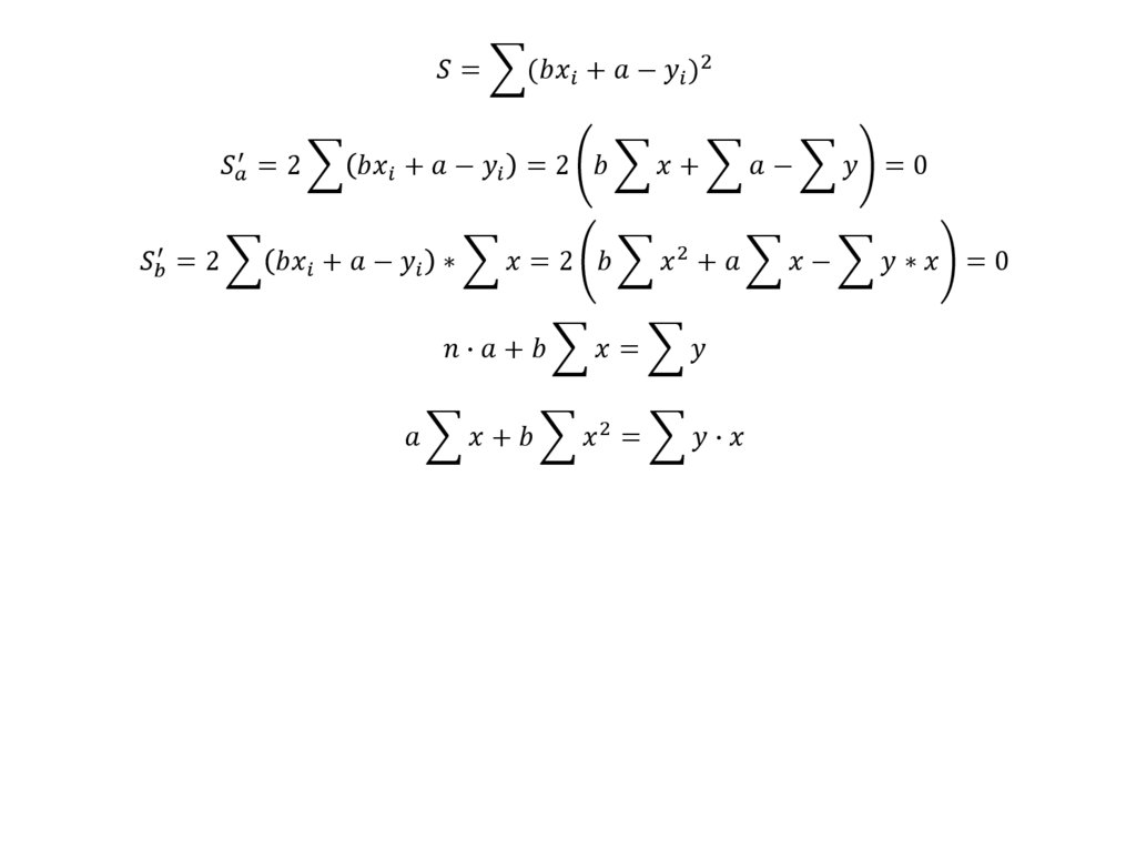
Метод наименьших квадратов
Система уравнений для определения коэффициентов в уравнении парной регрессии
2.20M
Category: mathematicsmathematics

Проверка гипотез о равенстве дисперсий для нескольких выборок. Критерии Бартлетта и Кохрена

1.

Таблица значений распределения χ2

2.

Таблица значений F-распределения

3.

4.

5.

6.

Таблица значений коэффициентов корреляции Пирсона

7. Проверка гипотез о равенстве дисперсий для нескольких выборок. Критерии Бартлетта и Кохрена

Пусть генеральные совокупности Х1, Х2, …, ХМ
распределены нормально. Из этих совокупностей извлечены
независимые выборки объемов
English     Русский Rules