3.25M
Category: literatureliterature

Научно-технический журнал "ТехНа"

1.

2013 ДЕКАБРЬ №1
Научно-технический журнал
Туполев Андрей Николаевич
советский авиаконструктор

2.

Журнал «ТехНа» создан в рамках творческого проекта победителя гранта «Наш
новый учитель -2013» для активизации творческого потенциала учащихся на уроках
физики, популяризации технических профессий, связи школы и вуза.
Название журнала произошло из двух направлений учебной деятельности
ТЕХНИКИ и НАУКИ. В журнале приведены методические рекомендации, творческие
проекты детей, описание проводимых мероприятий.
Журнал является методическим пособием для учителей, так и познавательным
пособием для учащихся.
РЕДАКТОР НАУЧНО-ТЕХНИЧЕСКОГО ЖУРНАЛА «ТехНа»
ХАБИБУЛЛИН ИЛЬМИР ИЛЬДАРОВИЧ – учитель физики и информатики
МБОУ «СОШ №28» НМР РТ, аспирант КНИТУ-КАИ.

3.

АНДРЕЙ НИКОЛАЕВИЧ ТУПОЛЕВ
Туполев Андрей Николаевич один из крупнейших авиационных конструкторов
XX
века, родился 10 ноября 1888 года под г. Кимры.
Окончил Тверскую гимназию, Московское высшее техническое училище. За свою
деятельность удостоен титулов: академик АН СССР (1953), генерал-полковник-инженер
(1968), трижды Герой Социалистического Труда (1945, 1957, 1972), Герой Труда РСФСР
(1926).
Ученик и соратник “отца русской авиации” Н. Е. Жуковского А.Н. Туполев
участвовал в работах первого советского авиационного бюро. С 1909 г. член
воздухоплавательного кружка.
Вместе с Жуковским был организатором ЦАГИ. В 1916-18 годах конструировал
первые аэродинамические трубы в училище. С 1922 года являлся председателем Комиссии
по постройке цельнометаллических самолётов при ЦАГИ. С этого времени начало
действовать опытное КБ, возглавляемое им.
А.Н.Туполев - организатор производства советского алюминиевого сплава –
кольчугалюминия и полуфабрикатов из него.
Под руководством Туполева спроектировано свыше 100 типов самолётов, 70 из
которых строились серийно, 78 мировых рекордов установлено на его самолётах, выполнено
около 30 выдающихся перелётов.
Туполев
воспитал
плеяду
видных
авиационных
конструкторов
и
учёных,
возглавивших самолётные ОКБ.
1923г. - Туполев создал свой первый самолёт смешанной конструкции АНТ-1
1924г. – первый цельнометаллический самолёт АНТ-2
1925г. – первый цельнометаллический боевой самолёт
АНТ-3, строившийся
серийно. 18 июня 1937 года В. П. Чкалов совершил беспосадочный перелёт из СССР в США
на самолёте АНТ-25
В 1937-41 гг. Туполев был необоснованно репрессирован. Находясь в заключении,
работал в ЦКБ НКВД. Здесь им был создан фронтовой бомбардировщик Ту-2. В этом
самолёте воплотились последние достижения науки и авиатехники.
Туполев практиковал создание самолётов из отдельных узлов и блоков. Это
значительно повысило выпуск машин в стране.
Боевые самолеты Туполева составляли основу парка бомбардировочной авиации. Их
экипажи воевали все четыре года войны: СБ и ТБ-3 приняли на себя первый удар, а
Ту-2 и ТБ-7, созданные в 1942 году, в финале войны бомбили Берлин.

4.

В боях Великой Отечественной войны участвовали:
ТБ-1 (АНТ-4), ТБ-3 (АНТ-6), Р-6 (АНТ-7), ПС-9 (АНТ-9), ПС-35 (АНТ-35), МТБ-2
(АНТ-44) самолёт-лодка
После окончания Второй Мировой войны коллектив ОКБ продолжал упорно
трудиться над созданием новой боевой авиационной техники для отечественных ВВС, создав
целую серию первоклассных боевых самолетов:
Ту-4 – это первый наш авиационный носитель атомного оружия;
Ту-16 – пришедший на смену, один из лучших в мире среди боевых тяжелых
послевоенных дозвуковых реактивных самолетов - бомбардировщик и ракетоносец;
Ту-22 – сверхзвуковой разведчик и ракетоносец;
Ту-128 – сверхзвуковой ракетоносец, барражирующий истребитель-перехватчик;
Ту-95 – межконтинентальный стратегический бомбардировщик и ракетоносец.
В 1956-57 гг. в КБ было создано новое подразделение, задачей которого была
разработка беспилотных летательных аппаратов (ЛА). Были разработаны: крылатые ракеты
"121", "123", ЗУР "131"; беспилотные разведчики Ту-123 "Ястреб". Велись работы по
планирующему гиперзвуковому аппарату "130" и ракетоплану "136" ("Звезда").
С 1955 велись работы по бомбардировщикам с ядерной силовой установкой (ЯСУ).
После полетов летающей лаборатории Ту-95 ЛАЛ намечалось создание экспериментального
самолета Ту-119 с ЯСУ и сверхзвуковых бомбардировщиков "120".
Традиции давать нашим ВВС самую современную и передовую технику, заложенные
А.Н.Туполевым и его коллегами в 20- 60-е годы прошлого столетия, развивались и
развиваются его приемниками и продолжателями, составляющими коллектив ОАО
"Туполев".
В настоящее время основу нашей дальней стратегической авиации составляют :
Ту-160 и Ту-22М3 – многорежимные ракетоносцы-бомбардировщики;
Ту-95МС – дозвуковые межконтинентальные ракетоносцы ;
Ту-142М3 активно используются в авиации ВМФ;
Ту-243 "Рейс-Д" – беспилотные тактические разведчики.
На базе бомбардировщика Ту-16 в 1955 был создан первый советский реактивный
пассажирский
самолёт
Ту-104.
За
ним
последовали
первый
турбовинтовой
межконтинентальный самолёт Ту-114, ближние и средние магистральные самолёты Ту-110,
Ту-124, Ту-134, Ту-154, а также сверхзвуковой пассажирский самолёт Ту-144.
Самолёты Ту-154 и Ту-134 были самыми массовыми пассажирскими самолётами в
СССР.

5.

ОГЛАВЛЕНИЕ
ПРОФЕССИОГРАММА “Инженер”.
«НАУКА: конкурсы, конференции и олимпиады»:
Конкурс «Ученые будущего» в МГУ.
Подготовка к Всероссийской олимпиаде по астрономии на базе лагеря
«Костер» совместно с КГУ.
Олимпиада школьников «Наследники Левши» по физике в КНИТУ-КАИ.
Олимпиадные задания (школьных, муниципальных, дистанционных и
всероссийских) олимпиад по физики, астрономии, информатики.
«Обзор мероприятий»:
«КРОССВОРД».
ГРУППОВЫЕ ЗАНЯТИЯ.
РАСЧЕТ МАССЫ СТУЛА.
МЕРОПРИЯТИЕ ПОСВЯЩЕННОЕ К 125-ЛЕТИЮ А.Н. ТУПОЛЕВА.
ОСЕННИЕ КАНИКУЛЫ В ЛАГЕРЕ «КОСТЕР».
ДВИЖЕНИЕ КВН НА УРОКАХ ФИЗИКИ.
Статья «Школота» Хабибуллина И.И.

6.

7.

8.

9.

Учебные заведения, обучающие данной профессии:
1. Казанский (Приволжский) федеральный университет
Web-сайт: www.ksu.ru
2. Казанский национальный исследовательский технический университет
им. А.Н.Туполева-КАИ
Web-сайт: www.kai.ru
3. Казанский государственный архитектурно-строительный университет
4. Казанский национальный исследовательский технологический
университет
5. Казанский государственный энергетический университет , [1,2].

10.

«НАУКА: ОЛИМПИАДЫ, КОНФЕРЕНЦИИ, СЕМИНАРЫ»
Конкурс «Ученые будущего» в МГУ
Конкурс «Ученые будущего» проводится корпорацией
Intel и Московским государственным университетом имени М.В.Ломоносова.
Участвуют школьники 9-11 классов из республик СНГ.
В октябре 2013 года свою работу отправил Бадретдинов Арслан ученик 10
класса. Тема работы: «Исследование влияния теплопередачи светодиода на
технику при зимних условиях».
Данная публикация посвящена решению проблемы замедление или
выключения работы сотового телефона при минусовой температуре. Светодиоды
30 % мощности преобразуют в свет, а 70 % мощности в тепло. Существенно
нагревая подложки, для мощных светодиодных прожекторов используют
специальные
алюминиевые
радиаторы.
В
свою
очередь,
также
можно
использовать выделяемое светодиодом тепло на нагрев и отопление сотового
телефона, в частности батареи для бесперебойной работы техники при минусовой
температуре.
Какие наиболее проблемные места у мобильного телефона в зимних
условиях? Самое проблемное место – аккумулятор. Химические процессы
которые идут в батарее замедляются на морозе, емкость батареи в целом падает и
напряжение на контактах понижается – время работы от одной зарядки
уменьшается, падение напряжения может привести к отключению телефона. Для
большинства аккумуляторов нахождение на холоде несет временное ухудшение –
при возвращении в теплоемкость и все параметры восстанавливаются. Но есть
отрицательные примеры для полимерных батарей. Они более чувствительны к
холоду и могут быстро терять емкость, причем терять ее совсем. [3]
Это касается не только батарей к мобильникам! В любой батарее или
гальваническом элементе при низких температурах замедляется процесс
химических
реакций,
в
результате
которых
и
происходит
образование
электрических зарядов! Порог достижения окончания таких реакций наступает
быстрее! Практика показала - стоит только батарею впоследствии подогреть - она
еще послужит! [4]
Проблема отвода нежелательного тепла становится в последнее время
одной из центральных проблем разработчиков высоко мощных светильников на
основе LED-технологий. Тепло, выделяющееся при работе генерирующих свет

11.

кристаллов, необходимо постоянно отводить в окружающее пространство. В
противном случае он перегревается, что резко сокращает ресурс работы кристалла
(одно из главных конкурентных преимуществ LED-технологий), приводит к его
термическому пробою.
Анализ трех составляющих тепла, выделяемого LED-кристаллом (тепловое
излучение, конвекция, теплопроводность), показывает, что основное тепло (>
90%) передается на его металлическую подложку (фрагмент корпуса лампы) за
счет теплопроводности. Лишь 5% тепла уходят в виде теплового (инфракрасного)
излучения. [5]
Полагаясь на эти факты, предполагаем негативный эффект нагрева диодов
перенаправить в полоңителҗный эффект для борьбы с выключением техники на
холоде передавая тепло от светодиода теплопроводностью корпусу и батареи
сотового телефона. Включая диодную подсветку или диодный фонарь на
телефоне при минусовой погоде.
Опытный образец телефон Nokia 1100 с фонариком
Производим замену лампочку фонарика на светодиод. Производим опыты при
минусовой температуре. Подключаем термопары к опытному образцу для замера
теплоты, которую выделяет диод для обогрева и стабильной работы телефона при
минусовой температуре.

12.

Олимпиада школьников «Наследники Левши» по физике в КНИТУКАИ
Казанский национальный исследовательский технический университет им.
А.Н. Туполева-КАИ (КНИТУ-КАИ) ежегодно проводит для учащихся 8, 9, 10 и 11
классов олимпиаду по физике «Наследники Левши» Тульского государственного
университета. С 2010 года олимпиада школьников «Наследники Левши» по
физике входит в Перечень олимпиад школьников, формируемый ежегодно
Министерством образования и науки России, что подтверждает высокий уровень
олимпиады, а также позволяет её победителям и призёрам получать льготы при
поступлении в вузы страны.
17 ноября 2013 года на базе Нижнекамского института информационных
технологий и телекоммуникаций (филиала) КНИТУ-КАИ прошла олимпиада
«Наследники Левши», в которой приняла участие Зеленяк Мария, ученица 8
класса. Предлагаем вашему вниманию задания:

13.

Олимпиадные задания
Задание по астрономии
1. Нарисуйте созвездие Большой Медведицы. Что вы можете рассказать о
нем?
Большая Медведица — третье по площади созвездие на небе, семь
ярких звёзд которого (Дубхе, Алиот, Мерак, Мегрец, Фекда, Мицар,
Бенетнаш) образуют известный Большой Ковш. Если через две крайние
звезды, образующие стенку ковша, Мерак и Дубхе, провести прямую, то
она пройдет через Полярную звезду (самая яркая звезда в созвездии Малой
Медведицы). Средняя звезда в ручке ковша называется Мицар. Это
двойная звезда, человек с хорошим зрением может увидеть рядом с ней
другую звезду - Алькор. В созвездии Большой Медведицы находится
несколько ярких галактик - М81, М82, М101, планетарная туманность М97.
Созвездие граничит с другими созвездиями (укажем только яркие):
Волопас, Дракон, Гончие Псы, Лев. Существуют разные мифы, связанные с
этим созвездием.

14.

Задания по физике
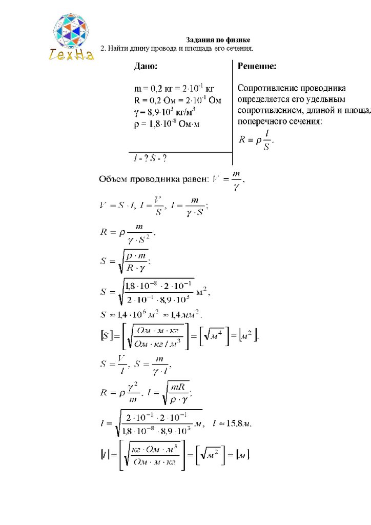
2. Найти длину провода и площадь его сечения.

15.

3. Ослик, пройдя по мосту
3
8
его длины, оглянувшись, увидел
движущийся у мосту автомобиль. Если ослик повернет назад, то встретит
автомобиль в начале моста, а если побежит вперед, то встретит автомобиль в
конце моста. С какой скоростью бежал испуганный ослик, если скорость
автомобиля v?

16.

4. Определите, до какой минимальной
температуры надо
нагреть
стальной шарик, чтобы он, будучи положен на лед, полностью в него
погрузился. Температура льда 0 ◦с, удельная теплоемкость стали С, плотность
стали ρ0, плотность льда ρ, удельная теплота льда λ.

17.

«
»:
Ы
Ы
Щ
Ы
Щ
9

».
.
.

18.

Ы
.
,
.

19.

Ы
.
«
».
,

20.

21.

«
Ы
Ы
.
10
»

22.

Ы
Э
Ы
program styl;
var
p, p1 , a, b, c, a1, b1, c1:integer;
M, V , V1: real;
begin
write ('a= '); readln(a);
write ('b= '); readln(b);
write ('c= '); readln(c);
V := a * b * c;
writeln('О ъ
= ' ,V);
write ('a1= '); readln(a1);
write ('b1= '); readln(b1);
write ('c1= '); readln(c1);
V1 := a1 * b1 * c1 ;
writeln('О ъ
и= ' , V1);
write ('p
='); readln(p);
write ('p
и = '); readln(p1);
M := p * V + p1 * V1 ;
аriteln (' М
: ' , M);
end.
Ы
9
PASCAL

23.

Щ
29
125-
2013
,
. .
,
125
.
,
. .
,
.
,
.

24.


8
Щ

25.

Ы
«
,
К
Ч
-
.
А
А
»
,
я
10
.
,
?
?
я
.
.
М
-
»
«
К
-
-
?
«
,
»

,
.
20
я
4
,
?
,
?
10
?
2013
.
,
я
я?
.
,
,

26.

-
.
.
Э
.
К
В
-
,
,
щ
,
,
,
,
.
,
,
,
.
?
?
.
.
,
.
,

27.

14
2013
«
».
«
.
I
»
«
».
9
2013-2014
:
8-

28.

МНЕНИЕ О СОВРЕМЕННЫХ ШКОЛЬНИКАХ
Школота — оскорбительное наименование лиц школьного возраста и им подобных
персонажей, имеющих низкий уровень интеллектуального развития.
Как правило,
школьники проводят свое время на сайтах типа ВКонтакте и подобных им. Многие
занимаются всякой ерундой, пользы информационному пространству не приносят.
Напротив, любят оскорблять других и писать глупости. Обычно неграмотные. Но есть
школьники, которые приносят пользу обществу.
По
мнению Афиногенова,
понятие
«школота»
можно
назвать
психическим
состоянием личности («можно быть школотой и в 40 лет, но при этом не быть таковой в 10»).
По моему мнению, школота, это те люди, которые не имеют цели в жизни или не
имеют реализации своих идей в обществе, в школе.
Педагогам необходимо, вести разговор со школьниками, узнавать их интересы и
давать возможность проявлять их в школьной жизни.
Родители ставят в рамки своих детей, думая, что он не может учиться лучше, не
может заниматься спортом, приносить пользу обществу. Ставят предел ребенку в 15 летнем
возрасте, проявляя недоверие ребенку, что он получил «отличную оценку», хотя до этого
учился на «удовлетворительно». Тем самым, ставят под сомнение психологическую картину
ребенка об изменениях в жизни.
Также на формирование «школоты» оказывает влияние само общество, например
класс. Не давая вылезти из троек, двоек учеников, которые учились на тройки. Говоря: «Ведь
ты тройшник!!!».
Тем самым у ребенка закладывается, что он не может выучить, не может решить, а
способен только списать. Раз он способен только списать, зачем ему не баловаться на уроке,
почему он не может поиграть в телефон или вести активную жизнь в соц. сетях под ником
«Ученый», где он может быть кем угодно, ведь рамок никто не ставит.
По-моему мнению, школота - это дети, не досмотренные родителями, не сумевшие
поставить цель жизни, так как взрослые подставили предел развития на них, так рано, что
они не сумели определиться в жизни. Зачем, почему, надо ли?
Хабибуллин И.И.

29.

Cписок литературы:
1. Романова Е. 99 популярных профессий. Психологический анализ и
профессиограммы. 2-е изд. СПб.: Питер, 2003.-464 с.: ил.
2. http://mon.tatarstan.ru/rus/vuz.htm
3. http://forum.allnokia.ru/viewtopic.php?t=55604
4. http://www.bolshoyvopros.ru/questions/287891-pochemu-na-holodebatareja-mobilnogo-telefona-bystree-razrjazhaetsja.html
5. Время электроники \ Применение теплорассеивающих пластмасс для
охлаждения LED-кристаллов \ Александр Криваткин, Юрий Сакуненко

30.

Слова П. Германа
Музыка Ю. Хайта
Мы рождены, чтоб сказку сделать былью,
Преодолеть пространство и простор.
Нам разум дал стальные руки-крылья,
А вместо сердца пламенный мотор.
Припев:
Всё выше, выше и выше,
Стремим мы полёт наших птиц,
И в каждом пропеллере дышит
Спокойствие наших границ.
Бросая ввысь свой аппарат послушный
Или творя невиданный полёт,
Мы сознаём, как крепнет флот воздушный,
Наш первый в мире пролетарский флот.
Припев.
Наш острый взгляд пронзает каждый атом,
Наш каждый нерв решимостью одет.
И верьте нам: на всякий ультиматум
Воздушный флот сумеет дать ответ.
Припев.
1922
Творческое сообщество учащихся «ТехНа»
www.texna.ucoz
English     Русский Rules