917.23K
Category:
mathematics
Similar presentations:
Methods of proof
Gauss method
Method of undetermined coefficients
Practical application of the method of Kona-Shema. Pseudopotentials method
Solution methods for bilevel optimization
The use of methods for common fractions
Solution methods for bilevel optimization
Methodical Problems of Comparative Studies
Random module methods. Test
Random module methods. Test
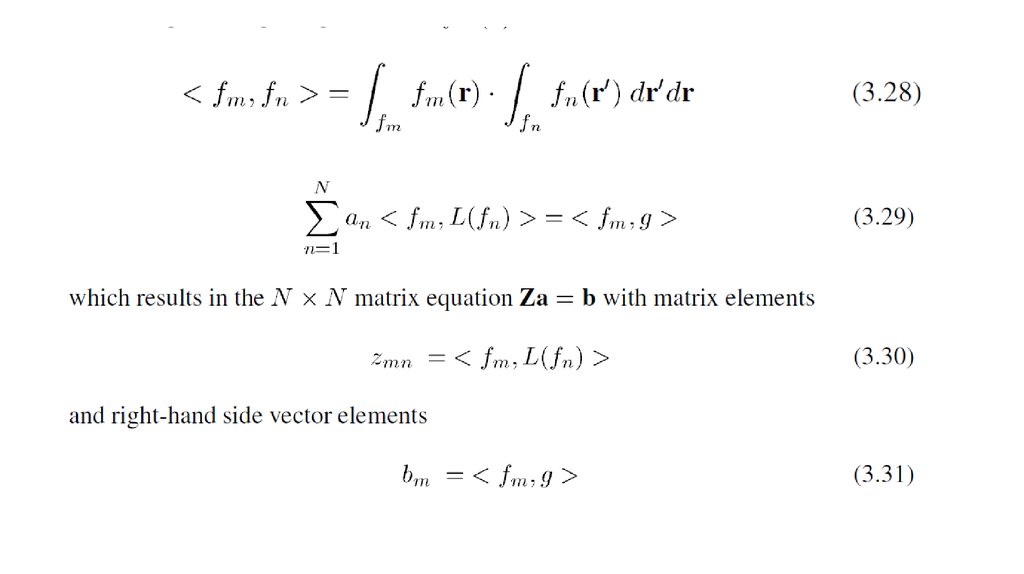
Method of moments for thin wires
1.
Method of moments for thin wires
English
Русский
Rules